Progress in the Field of Cyclophosphazenes: Preparation, Properties, and Applications
Abstract
:1. Introduction
1.1. Recent Advancements in Cyclophosphazenes
1.2. Coordination Chemistry of Cyclotriphosphazene Derivatives
1.3. Cyclotriphosphazene Derivatives as Anticorrosive POLYMERIC Materials
1.3.1. Basics and Socio-Economic Impacts of Corrosion
Steel Corrosion
1.3.2. Corrosion Protection and Cost
Corrosion Inhibitors
Organic Coatings
2. Functional Organic Groups in the Phosphazene Ring: Properties and Applications
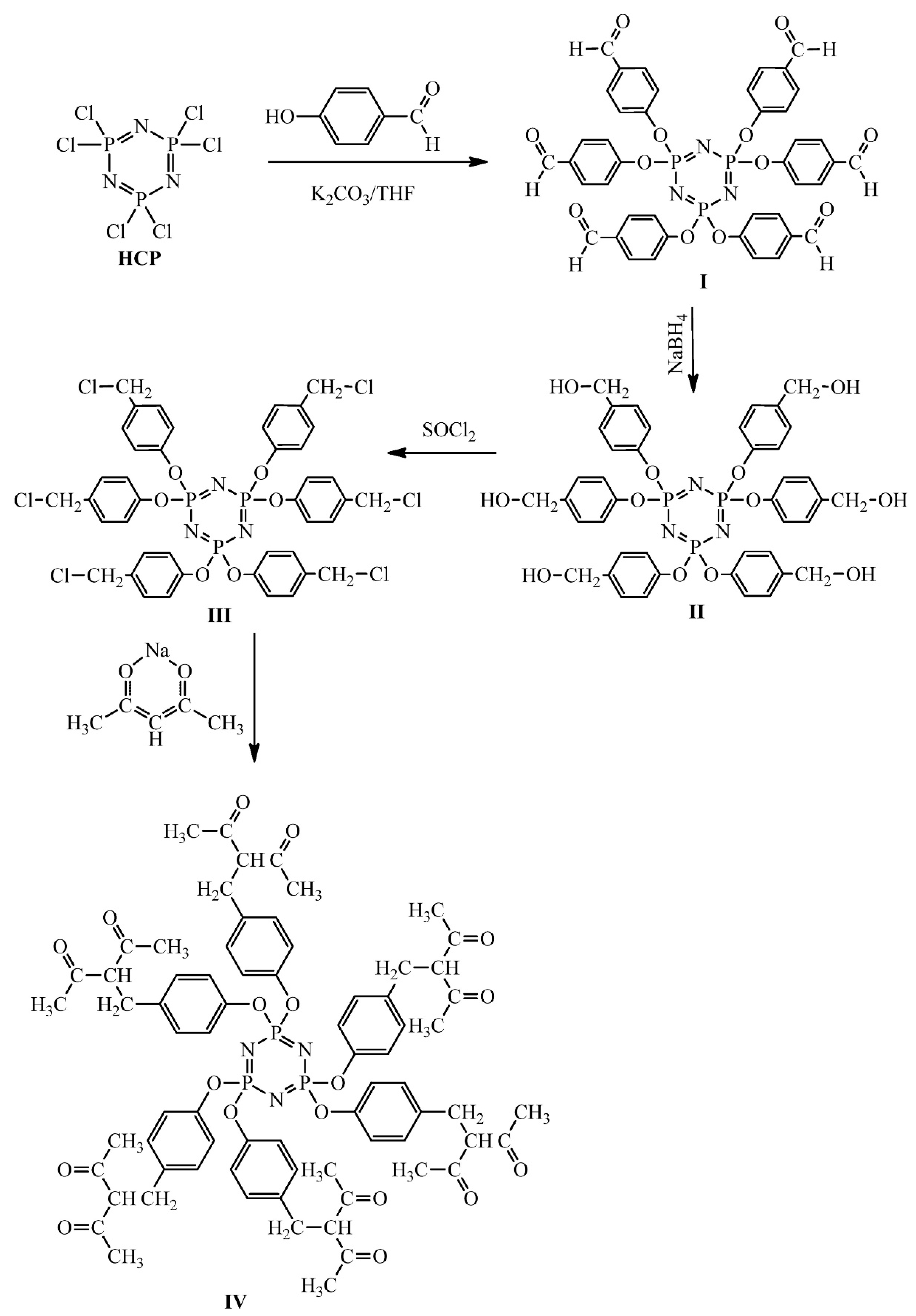
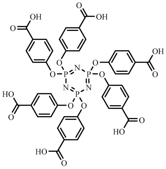
2.1. Phosphazenes Containing the Carboxyl Group
2.2. Phosphazenes Containing the Amino Group
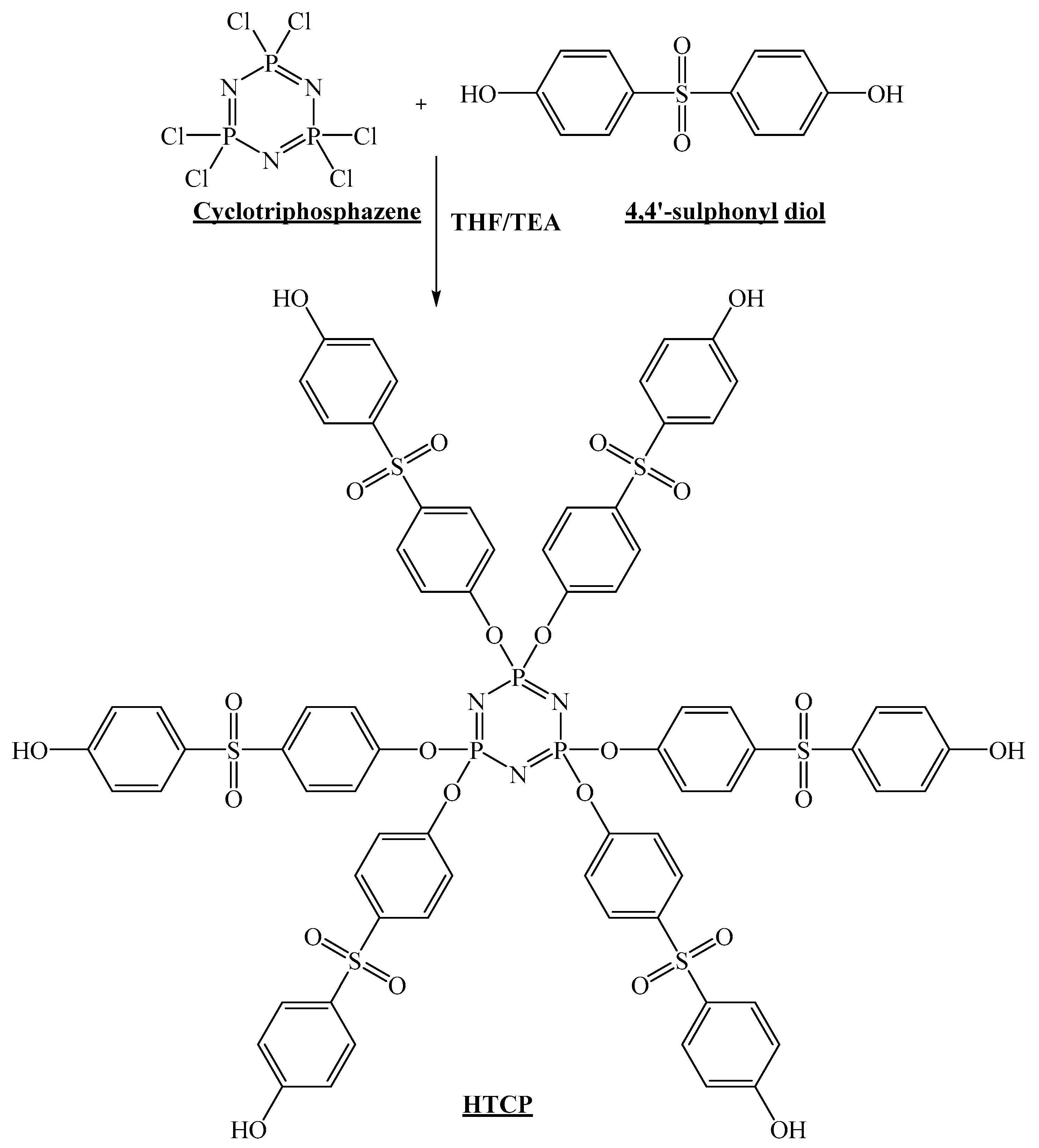
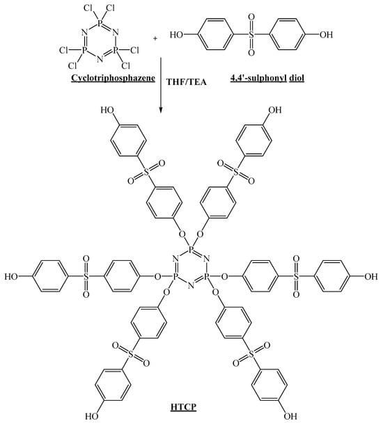
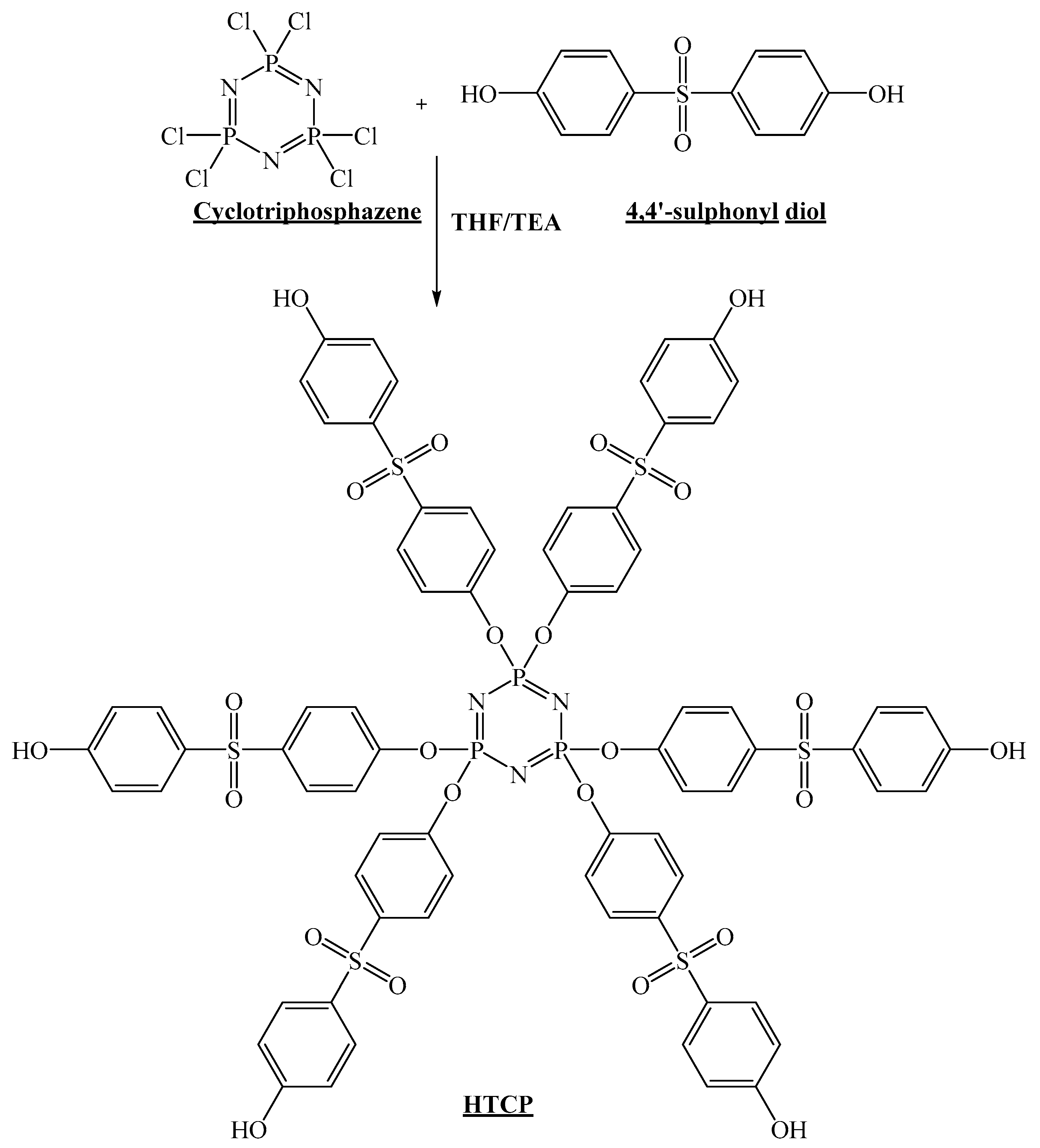
2.3. Phosphazenes Containing the Hydroxyl Group
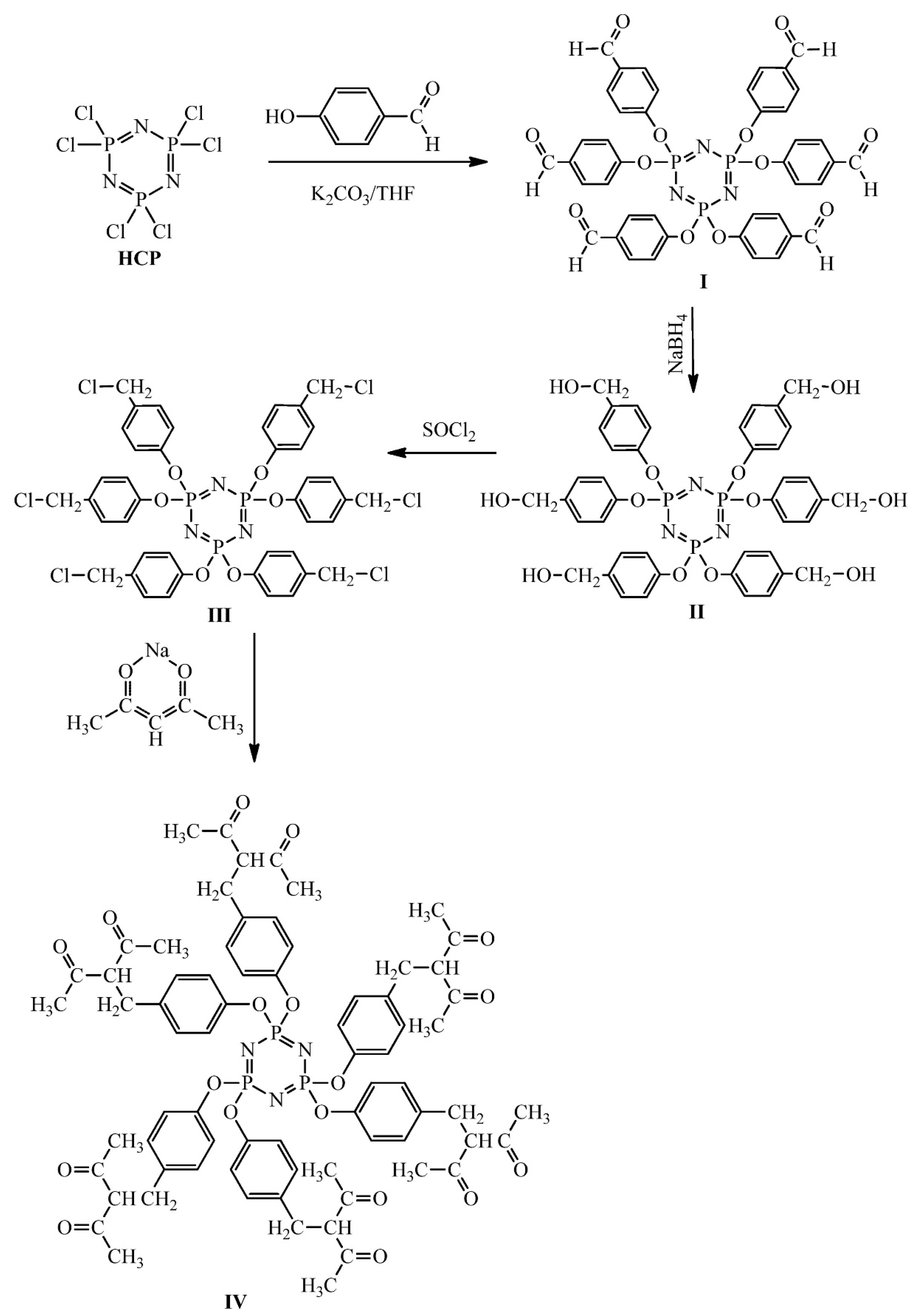
2.4. Phosphazenes Containing the Epoxide Group
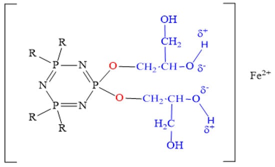
2.5. Phosphazenes Containing Extractant
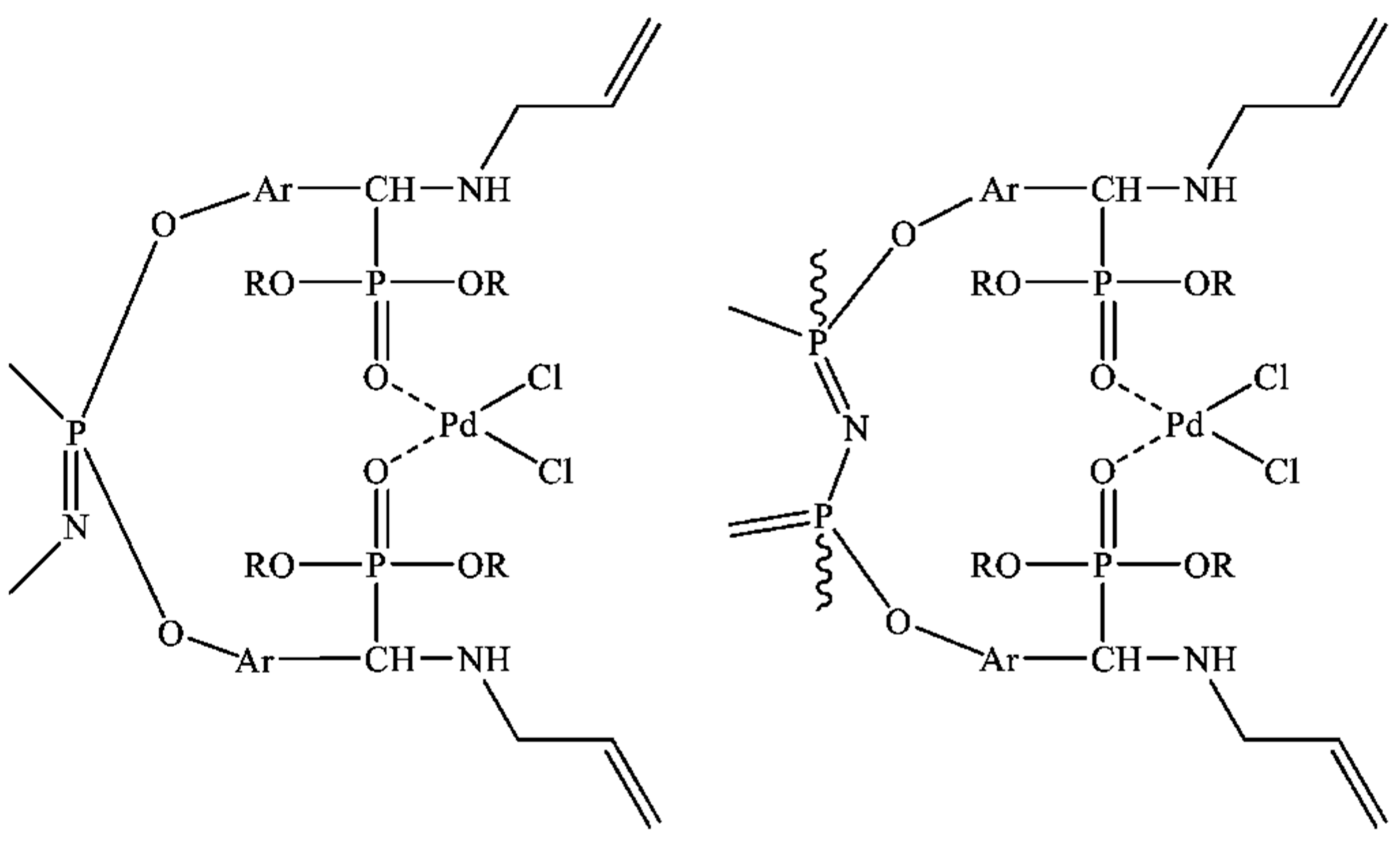
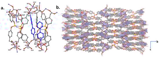
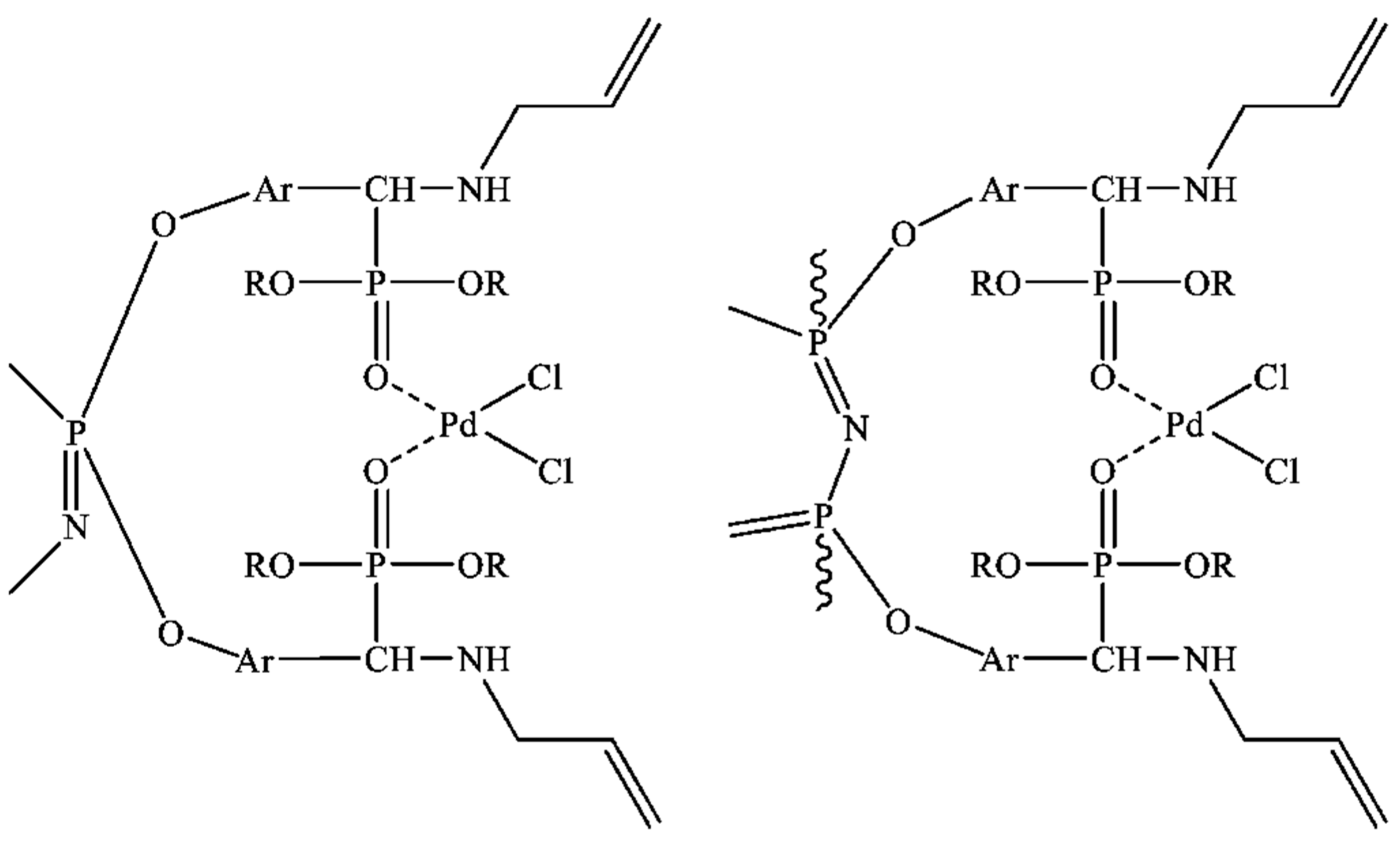
2.6. Phosphazenes Containing Metal Complexes
2.7. Cyclotriphosphazene Derivatives as Anticorrosive Polymeric Materials
Mechanism of Action of Cyclotriphosphazene-Based Corrosion Inhibitors
3. Research Gaps Identified
4. Conclusions
- -
- The evolution of synthetic methodologies underscores the versatility of cyclophosphazenes, showcasing advancements in tailored design and enhanced control over their structural features;
- -
- The comprehensive examination of their distinctive properties, including thermal stability attributes, further accentuates their appeal in various applications;
- -
- The exploration of cyclophosphazenes in different domains, from materials science to medicinal applications, highlights the expanding scope and potential impact of these compounds;
- -
- As evidenced by the breadth of research discussed, cyclophosphazenes continue to captivate the scientific community, offering promising avenues for innovation and practical utilization;
- -
- Focus on the most recent developments in coordination chemistry centered around cyclotriphosphazene derivatives;
- -
- Substituted cyclotriphosphazene derivatives serve as advantageous synthons in coordination chemistry, highlighting their importance in this field;
- -
- The general information provided on cyclotriphosphazene derivatives as anticorrosive polymeric materials;
- -
- Overview of trends in the synthesis of cyclotriphosphazene derivatives and recent progress in this area;
- -
- Discussion of the anticorrosion performances of cyclotriphosphazene derivatives, emphasizing their potential as protective materials;
- -
- Mention of heteroatoms such as O, N, and P, including the aromatic part, contributing to the availability of cyclotriphosphazene derivatives as effective protective materials;
- -
- Recognition of polymeric materials derived from cyclotriphosphazenes for their superior surface adsorption and corrosion prevention properties;
- -
- The assertion that polymeric materials based on cyclotriphosphazenes exhibit higher anticorrosive properties compared to other organic corrosion inhibitors;
- -
- Explanation of how the excellent physical adsorption capacities of polymeric materials derived from cyclotriphosphazenes protect metals from corrosive environments.
5. Future Prospects
Author Contributions
Funding
Institutional Review Board Statement
Data Availability Statement
Conflicts of Interest
References
- Nikovskii, I.; Chistyakov, E.; Tupikov, A. Phosphazene-containing ligands and complexes on their base. Russ. J. Gen. Chem. 2018, 88, 474–494. [Google Scholar] [CrossRef]
- You, M.; Li, W.; Pan, Y.; Fei, P.; Wang, H.; Zhang, W.; Zhi, L.; Meng, J. Preparation and characterization of antibacterial polyamine-based cyclophosphazene nanofiltration membranes. J. Membr. Sci. 2019, 592, 117371. [Google Scholar]
- Wang, H.; Lan, J.-L.; Yuan, H.; Luo, S.; Huang, Y.; Yu, Y.; Cai, Q.; Yang, X. Chemical grafting-derived N, P co-doped hollow microporous carbon spheres for high-performance sodium-ion battery anodes. Appl. Surf. Sci. 2020, 518, 146221. [Google Scholar] [CrossRef]
- Terekhov, I.; Chistyakov, E.; Filatov, S.; Deev, I.; Kurshev, E.; Lonskii, S. Factors Influencing the Fire-Resistance of Epoxy Compositions Modified with Epoxy-Containing Phosphazenes. Inorg. Mater. Appl. Res. 2019, 10, 1429–1435. [Google Scholar] [CrossRef]
- Terekhov, I.V.; Filatov, S.N.; Chistyakov, E.M.; Borisov, R.S.; Kireev, V.V. Synthesis of oligomeric epoxycyclotriphosphazenes and their properties as reactive flame-retardants for epoxy resins. Phosphorus Sulfur Silicon Relat. Elem. 2017, 192, 544–554. [Google Scholar] [CrossRef]
- Galai, M.; El Gouri, M.; Dagdag, O.; El Kacimi, Y.; Elharfi, A.; Touhami, M.E. New hexa propylene glycol cyclotiphosphazene as efficient organic inhibitor of carbon steel corrosion in hydrochloric acid medium. J. Mater. Environ. Sci. 2016, 7, 1562–1575. [Google Scholar]
- Steiner, A.; Zacchini, S.; Richards, P.I. From neutral iminophosphoranes to multianionic phosphazenates. The coordination chemistry of imino–aza-P (V) ligands. Coord. Chem. Rev. 2002, 227, 193–216. [Google Scholar] [CrossRef]
- Siwy, M.; Sȩk, D.; Kaczmarczyk, B.; Jaroszewicz, I.; Nasulewicz, A.; Pelczyñska, M.; Nevozhay, D.; Opolski, A. Synthesis and in vitro antileukemic activity of some new 1, 3-(oxytetraethylenoxy) cyclotriphosphazene derivatives. J. Med. Chem. 2006, 49, 806–810. [Google Scholar] [CrossRef]
- Yudaev, P.; Butorova, I.; Chuev, V.; Posokhova, V.; Klyukin, B.; Chistyakov, E. Wound Gel with Antimicrobial Effects Based on Polyvinyl Alcohol and Functional Aryloxycyclotriphosphazene. Polymers 2023, 15, 2831. [Google Scholar] [CrossRef]
- Yıldırım, T.; Bilgin, K.; Çiftçi, G.Y.; Eçik, E.T.; Şenkuytu, E.; Uludağ, Y.; Tomak, L.; Kılıç, A. Synthesis, cytotoxicity and apoptosis of cyclotriphosphazene compounds as anti-cancer agents. Eur. J. Med. Chem. 2012, 52, 213–220. [Google Scholar] [CrossRef]
- Gleria, M.; De Jaeger, R. Phosphazenes: A Worldwide Insight; Nova Publishers: Hauppauge, NY, USA, 2004. [Google Scholar]
- Andrianov, A.K. Polyphosphazenes for Biomedical Applications; John Wiley & Sons: Hoboken, NJ, USA, 2009. [Google Scholar]
- Jiang, L.; Yuan, X.; Zeng, G.; Chen, X.; Wu, Z.; Liang, J.; Zhang, J.; Wang, H.; Wang, H. Phosphorus-and sulfur-codoped g-C3N4: Facile preparation, mechanism insight, and application as efficient photocatalyst for tetracycline and methyl orange degradation under visible light irradiation. ACS Sustain. Chem. Eng. 2017, 5, 5831–5841. [Google Scholar] [CrossRef]
- Zhou, Y.; Zhang, L.; Liu, J.; Fan, X.; Wang, B.; Wang, M.; Ren, W.; Wang, J.; Li, M.; Shi, J. Brand new P-doped gC 3 N 4: Enhanced photocatalytic activity for H 2 evolution and Rhodamine B degradation under visible light. J. Mater. Chem. A 2015, 3, 3862–3867. [Google Scholar] [CrossRef]
- Liu, P.; Wang, L.; Yang, Y.; Qu, Y.; Ming, L.-J. Recent advances of cyclotriphosphazene derivatives as fluorescent dyes. Dye. Pigment. 2021, 188, 109214. [Google Scholar] [CrossRef]
- Göller, R.; Vors, J.-P.; Caminade, A.-M.; Majoral, J.-P. Phosphorus dendrimers as new tools to deliver active substances. Tetrahedron Lett. 2001, 42, 3587–3590. [Google Scholar] [CrossRef]
- Caminade, A.-M.; Majoral, J.-P. Bifunctional phosphorus dendrimers and their properties. Molecules 2016, 21, 538. [Google Scholar] [CrossRef] [PubMed]
- Yudaev, P.; Konstantinova, A.; Volkov, V.; Chistyakov, E. Hexakis-2-(β-carboxyethenylphenoxy) cyclotriphosphazene: Synthesis, Properties, Modeling Structure. Molecules 2023, 28, 6571. [Google Scholar] [CrossRef] [PubMed]
- Chistyakov, E.M.; Terekhov, I.V.; Shapagin, A.V.; Filatov, S.N.; Chuev, V.P. Curing of Epoxy Resin DER-331 by Hexakis (4-acetamidophenoxy) cyclotriphosphazene and Properties of the Prepared Composition. Polymers 2019, 11, 1191. [Google Scholar] [CrossRef] [PubMed]
- Chistyakov, E.; Tupikov, A.; Buzin, M.; Borisov, R.; Kireev, V. Preparation of films based on β-diketophosphazene and different amines and study their properties. Mater. Chem. Phys. 2019, 223, 353–359. [Google Scholar] [CrossRef]
- Chistyakov, E.M.; Filatov, S.N.; Yudaev, P.A.; Kireev, V.V. Synthesis, characterization and epoxidation of hexakis-4-(2-(4-((β-methallyl) oxy) phenyl) propan-2-yl) phenoxycyclotriphosphazene. Tetrahedron Lett. 2019, 60, 444–448. [Google Scholar] [CrossRef]
- Chistyakov, E.M.; Buzin, M.I.; Aksenov, S.M.; Tupikov, A.S.; Kireev, V.V. Thermal polycondensation of hexakis (p-acetylphenoxy)-cyclotriphosphazene. Mendeleev Commun. 2019, 29, 99–101. [Google Scholar] [CrossRef]
- Radmanesh, F.; Bargeman, G.; Benes, N.E. Cyclomatrix polyphosphazene organic solvent nanofiltration membranes. J. Membr. Sci. 2023, 668, 121215. [Google Scholar] [CrossRef]
- Wang, L.; Yang, Y.-X.; Shi, X.; Mignani, S.; Caminade, A.-M.; Majoral, J.-P. Cyclotriphosphazene core-based dendrimers for biomedical applications: An update on recent advances. J. Mater. Chem. B 2018, 6, 884–895. [Google Scholar] [CrossRef] [PubMed]
- Liu, W.; Zhu, J.; Liang, Y. Effect of bridged cyclotriphosphazenes as lubricants on the tribological properties of a steel-on-steel system. Wear 2005, 258, 725–729. [Google Scholar] [CrossRef]
- Konstantinova, A.; Yudaev, P.; Orlov, A.; Loban, O.; Lukashov, N.; Chistyakov, E. Aryloxyphosphazene-Modified and Graphite-Filled Epoxy Compositions with Reduced Flammability and Electrically Conductive Properties. J. Compos. Sci. 2023, 7, 417. [Google Scholar] [CrossRef]
- Davarcı, D.; Zorlu, Y. Group 12 metal coordination polymers built on a flexible hexakis (3-pyridyloxy) cyclotriphosphazene ligand: Effect of the central metal ions on the construction of coordination polymers. Polyhedron 2017, 127, 1–8. [Google Scholar] [CrossRef]
- Davarcı, D.; Tümay, S.O.; Şenkuytu, E.; Wörle, M.; Zorlu, Y. New one-dimensional mercury (II) coordination polymers built up from dispiro-dipyridyloxy-cyclotriphosphazene: Structural, thermal and UV–Vis absorption properties. Polyhedron 2019, 161, 104–110. [Google Scholar] [CrossRef]
- Uslu, A.; Özcan, E. Synthesis of water soluble cyclotriphosphazenes with thiazole-containing side groups: Amphiphilic and hydrolytic degradable. Polyhedron 2018, 148, 49–54. [Google Scholar] [CrossRef]
- Çetindere, S.; Tümay, S.O.; Şenocak, A.; Kılıç, A.; Durmuş, M.; Demirbaş, E.; Yeşilot, S. Novel pyrene-BODIPY dyes based on cyclotriphosphazene scaffolds: Synthesis, photophysical and spectroelectrochemical properties. Inorganica Chim. Acta 2019, 494, 132–140. [Google Scholar] [CrossRef]
- Davarcı, D. Design and construction of one-dimensional coordination polymers based on the dispiro-dipyridyloxy-cyclotriphosphazene ligand. Polyhedron 2018, 146, 99–107. [Google Scholar] [CrossRef]
- Chistyakov, E.; Panfilova, D.; Kireev, V. Carboxyl derivatives of phosphazenes. Russ. J. Gen. Chem. 2017, 87, 997–1006. [Google Scholar] [CrossRef]
- Gettleman, L.; Jaeger, D. Uses of Polyphosphazene in Dentistry. In Applicative Aspects of Poly(organophosphazenes); Nova Science Publishers, Inc.: Hauppauge, NY, USA, 2004; pp. 33–47. [Google Scholar]
- Andrianov, A.K.; Marin, A.; Chen, J. Synthesis, properties, and biological activity of poly [di (sodium carboxylatoethylphenoxy) phosphazene]. Biomacromolecules 2006, 7, 394–399. [Google Scholar] [CrossRef] [PubMed]
- Qian, Y.-C.; Chen, P.-C.; He, G.-J.; Huang, X.-J.; Xu, Z.-K. Preparation of polyphosphazene hydrogels for enzyme immobilization. Molecules 2014, 19, 9850–9863. [Google Scholar] [CrossRef] [PubMed]
- Jeevananthan, V.; Shanmugan, S. Halogen-free layered double hydroxide-cyclotriphosphazene carboxylate flame retardants: Effects of cyclotriphosphazene di, tetra and hexacarboxylate intercalation on layered double hydroxides against the combustible epoxy resin coated on wood substrates. RSC Adv. 2022, 12, 23322–23336. [Google Scholar] [CrossRef] [PubMed]
- Selin, V.; Albright, V.; Ankner, J.F.; Marin, A.; Andrianov, A.K.; Sukhishvili, S.A. Biocompatible nanocoatings of fluorinated polyphosphazenes through aqueous assembly. ACS Appl. Mater. Interfaces 2018, 10, 9756–9764. [Google Scholar] [CrossRef] [PubMed]
- Magiri, R.; Lai, K.; Huang, Y.; Mutwiri, G.; Wilson, H.L. Innate immune response profiles in pigs injected with vaccine adjuvants polydi (sodium carboxylatoethylphenoxy) phosphazene (PCEP) and Emulsigen. Vet. Immunol. Immunopathol. 2019, 209, 7–16. [Google Scholar] [CrossRef]
- Zhang, J.-P.; Zhang, Y.-B.; Lin, J.-B.; Chen, X.-M. Metal azolate frameworks: From crystal engineering to functional materials. Chem. Rev. 2012, 112, 1001–1033. [Google Scholar] [CrossRef]
- Lu, Z.; Wang, X.; Liu, Z.; Liao, F.; Gao, S.; Xiong, R.; Ma, H.; Zhang, D.; Zhu, D. Tuning the magnetic behavior via dehydration/hydration treatment of a new ferrimagnet with the composition of K0.2Mn1.4Cr(CN)6·6H2O. Inorg. Chem. 2006, 45, 999–1004. [Google Scholar] [CrossRef]
- Rowsell, J.L.; Yaghi, O.M. Effects of functionalization, catenation, and variation of the metal oxide and organic linking units on the low-pressure hydrogen adsorption properties of metal− organic frameworks. J. Am. Chem. Soc. 2006, 128, 1304–1315. [Google Scholar] [CrossRef]
- Repina, O.V.; Novikov, A.S.; Khoroshilova, O.V.; Kritchenkov, A.S.; Vasin, A.A.; Tskhovrebov, A.G. Lasagna-like supramolecular polymers derived from the PdII osazone complexes via C (sp2)–H···Hal hydrogen bonding. Inorganica Chim. Acta 2020, 502, 119378. [Google Scholar] [CrossRef]
- Deriabin, K.V.; Ignatova, N.A.; Kirichenko, S.O.; Novikov, A.S.; Islamova, R.M. Nickel (II)-pyridinedicarboxamide-co-polydimethylsiloxane complexes as elastic self-healing silicone materials with reversible coordination. Polymer 2021, 212, 123119. [Google Scholar] [CrossRef]
- Adonin, S.A.; Gorokh, I.D.; Samsonenko, D.G.; Novikov, A.S.; Korolkov, I.V.; Plyusnin, P.E.; Sokolov, M.N.; Fedin, V.P. Binuclear and polymeric bromobismuthate complexes: Crystal structures and thermal stability. Polyhedron 2019, 159, 318–322. [Google Scholar] [CrossRef]
- Artem’ev, A.V.; Doronina, E.P.; Rakhmanova, M.I.; Hei, X.; Stass, D.V.; Ol’ga, A.T.; Bagryanskaya, I.Y.; Samsonenko, D.G.; Novikov, A.S.; Nedolya, N.A. A family of CuI-based 1D polymers showing colorful short-lived TADF and phosphorescence induced by photo-and X-ray irradiation. Dalton Trans. 2023, 52, 4017–4027. [Google Scholar] [CrossRef] [PubMed]
- Chandrasekhar, V.; Pandian, B.M.; Azhakar, R. Synthesis, structure and metallation of spiro-N3P3 (O2C12H8)(OC5H4N-2)4: A heptacoordinate Co (II) in the molecular structure of N3P3 (O2C12H8)(OC5H4N-2)4·Co (NO3)2. Polyhedron 2008, 27, 255–262. [Google Scholar] [CrossRef]
- Ainscough, E.W.; Brodie, A.M.; Depree, C.V.; Jameson, G.B.; Otter, C.A. Polymer building blocks: Self-assembly of silver (I) cyclotriphosphazene cationic columns. Inorg. Chem. 2005, 44, 7325–7327. [Google Scholar] [CrossRef] [PubMed]
- Chandrasekhar, V.; Narayanan, R.S. Metalation studies of 3-and 4-pyridyloxycyclophosphazenes: Metallamacrocycles to coordination polymers. Dalton Trans. 2013, 42, 6619–6632. [Google Scholar] [CrossRef] [PubMed]
- Tskhovrebov, A.G.; Novikov, A.S.; Odintsova, O.V.; Mikhaylov, V.N.; Sorokoumov, V.N.; Serebryanskaya, T.V.; Starova, G.L. Supramolecular polymers derived from the PtII and PdII schiff base complexes via C (sp2)–H… Hal hydrogen bonding: Combined experimental and theoretical study. J. Organomet. Chem. 2019, 886, 71–75. [Google Scholar] [CrossRef]
- Adonin, S.A.; Bondarenko, M.A.; Novikov, A.S.; Abramov, P.A.; Plyusnin, P.E.; Sokolov, M.N.; Fedin, V.P. Halogen bonding-assisted assembly of bromoantimonate (v) and polybromide-bromoantimonate-based frameworks. CrystEngComm 2019, 21, 850–856. [Google Scholar] [CrossRef]
- Adonin, S.A.; Novikov, A.S.; Sokolov, M.N. Polymeric Lead (II) Iodoacetate: Pb···I and I···I Non-Covalent Interactions in the Solid State. Eur. J. Inorg. Chem. 2019, 2019, 4221–4223. [Google Scholar] [CrossRef]
- Adonin, S.A.; Bondarenko, M.A.; Novikov, A.S.; Abramov, P.A.; Plyusnin, P.E.; Sokolov, M.N.; Fedin, V.P. Antimony (V) Bromide and Polybromide Complexes with N-alkylated Quinolinium or Isoquinolinium Cations: Substituent-dependent Assembly of Polymeric Frameworks. Z. Für Anorg. Und Allg. Chem. 2019, 645, 1141–1145. [Google Scholar] [CrossRef]
- Deriabin, K.V.; Ignatova, N.A.; Kirichenko, S.O.; Novikov, A.S.; Kryukova, M.A.; Kukushkin, V.Y.; Islamova, R.M. Structural Features of Polymer Ligand Environments Dramatically Affect the Mechanical and Room-Temperature Self-Healing Properties of Cobalt (II)-Incorporating Polysiloxanes. Organometallics 2021, 40, 2750–2760. [Google Scholar] [CrossRef]
- Kulachenkov, N.; Barsukova, M.; Alekseevskiy, P.; Sapianik, A.A.; Sergeev, M.; Yankin, A.; Krasilin, A.A.; Bachinin, S.; Shipilovskikh, S.; Poturaev, P. Dimensionality mediated highly repeatable and fast transformation of coordination polymer single crystals for all-optical data processing. Nano Lett. 2022, 22, 6972–6981. [Google Scholar] [CrossRef] [PubMed]
- Kajiyama, K.; Iwanami, J.; Fukushima, Y.; Takahashi, Y.; Yuge, H. Syntheses and characterisation of novel N/O trispirocyclic cyclotriphosphazenes as ligands for endotopic metal-binding complexes. Inorg. Chem. Commun. 2017, 82, 52–56. [Google Scholar] [CrossRef]
- Chandrasekhar, V.; Nagendran, S. Phosphazenes as scaffolds for the construction of multi-site coordination ligands. Chem. Soc. Rev. 2001, 30, 193–203. [Google Scholar] [CrossRef]
- Çıralı, D.E.; Dayan, O.; Özdemir, N.; Hacıoglu, N. A new phosphazene derivative, spiro-N3P3 [(O2C12H8)2 (OC6H6N-3)2], and its Ru (II) complex: Syntheses, crystal structure, catalytic activity and antimicrobial activity studies. Polyhedron 2015, 88, 170–175. [Google Scholar] [CrossRef]
- Rivals, F.; Lawson, G.T.; Benson, M.A.; Richards, P.I.; Zacchini, S.; Steiner, A. Lithium complexes of tri-and hexaanionic cyclophosphazenates, the impact of metal coordination on the ring conformation. Inorganica Chim. Acta 2011, 372, 304–312. [Google Scholar] [CrossRef]
- Schrögel, P.; Hoping, M.; Kowalsky, W.; Hunze, A.; Wagenblast, G.; Lennartz, C.; Strohriegl, P. Phosphazene-based host materials for the use in blue phosphorescent organic light-emitting diodes. Chem. Mater. 2011, 23, 4947–4953. [Google Scholar] [CrossRef]
- Davarcı, D.; Gür, R.; Beşli, S.; Şenkuytu, E.; Zorlu, Y. Silver (I) coordination polymers assembled from flexible cyclotriphosphazene ligand: Structures, topologies and investigation of the counteranion effects. Acta Crystallogr. Sect. B Struct. Sci. Cryst. Eng. Mater. 2016, 72, 344–356. [Google Scholar] [CrossRef]
- Horvath, R.; Otter, C.A.; Gordon, K.C.; Brodie, A.M.; Ainscough, E.W. Excited states of Ru (II) and Re (I) bipyridyl complexes attached to cyclotriphosphazenes: A synthetic, spectroscopic, and computational study. Inorg. Chem. 2010, 49, 4073–4083. [Google Scholar] [CrossRef]
- Galuppo, C.; Tudisco, B.C.; de Oliveira Junior, A.G.; Barrionuevo, M.V.; Abbehausen, C.; Buffon, R. Synthesis and characterization of a palladium (0) complex with cyclophosphazene bearing two diphenylphosphine ligands and application in Suzuki-Miyaura cross-coupling. Inorganica Chim. Acta 2018, 482, 259–267. [Google Scholar]
- Aziz, M.A.A.A.; Hamzah, E.; Selamat, M. Performances of plant based corrosion inhibitors in controlling corrosion of mild steel in sodium chloride environment. Mater. Today Proc. 2022, 51, 1344–1349. [Google Scholar] [CrossRef]
- Wang, Q.; Wu, X.; Zheng, H.; Xiao, X.; Liu, L.; Zhang, Q.; Gao, P.; Yan, Z.; Sun, Y.; Li, Z. Insight into anti–corrosion behavior of Centipeda minima leaves extract as high–efficiency and eco–friendly inhibitor. Colloids Surf. A Physicochem. Eng. Asp. 2022, 640, 128458. [Google Scholar] [CrossRef]
- Ran, M.; Zheng, W.; Wang, H. Fabrication of superhydrophobic surfaces for corrosion protection: A review. Mater. Sci. Technol. 2019, 35, 313–326. [Google Scholar] [CrossRef]
- El Azzouzi, M.; Azzaoui, K.; Warad, I.; Hammouti, B.; Shityakov, S.; Sabbahi, R.; Saoiabi, S.; Youssoufi, M.; Akartasse, N.; Jodeh, S. Moroccan, Mauritania, and senegalese gum Arabic variants as green corrosion inhibitors for mild steel in HCl: Weight loss, electrochemical, AFM and XPS studies. J. Mol. Liq. 2022, 347, 118354. [Google Scholar] [CrossRef]
- Kobzar, Y.L.; Fatyeyeva, K. Ionic liquids as green and sustainable steel corrosion inhibitors: Recent developments. Chem. Eng. J. 2021, 425, 131480. [Google Scholar] [CrossRef]
- Wu, X.; Li, J.; Deng, C.; Yang, L.; Lv, J.; Fu, L. Novel carbon dots as effective corrosion inhibitor for N80 steel in 1 M HCl and CO2-saturated 3.5 wt% NaCl solutions. J. Mol. Struct. 2022, 1250, 131897. [Google Scholar] [CrossRef]
- Liu, X.; Sun, Y.; Lu, M.; Pan, X.; Wang, Z. Electrochemical and surface analytical studies of transition metal bipyridine dicarboxylic acid complexes as corrosion inhibitors for a mild steel in HCl solution. J. Adhes. Sci. Technol. 2022, 36, 567–583. [Google Scholar] [CrossRef]
- Liu, X.; Pan, X.; Lu, M.; Sun, Y.; Wang, Z.; Zheng, Y. Nicotinic acid derivatives as corrosion inhibitors for mild steel in hydrochloric acid solutions: An experimental and computational chemistry study. J. Adhes. Sci. Technol. 2021, 35, 63–80. [Google Scholar] [CrossRef]
- Hernández-Bravo, R.; Miranda, A.D.; Parra, J.G.; Alvaarado-Orozco, J.M.; Domínguez-Esquivel, J.M.; Mujica, V. Experimental and Theoretical Study on the Effectiveness of Ionic Liquids as Corrosion Inhibitors. Comput. Theor. Chem. 2022, 1210, 113640. [Google Scholar] [CrossRef]
- Cui, L.; Hang, M.; Huang, H.; Gao, X. Experimental study on multi-component corrosion inhibitor for steel bar in chloride environment. Constr. Build. Mater. 2021, 313, 125533. [Google Scholar] [CrossRef]
- Bahlakeh, G.; Ramezanzadeh, B.; Saeb, M.R.; Terryn, H.; Ghaffari, M. Corrosion protection properties and interfacial adhesion mechanism of an epoxy/polyamide coating applied on the steel surface decorated with cerium oxide nanofilm: Complementary experimental, molecular dynamics (MD) and first principle quantum mechanics (QM) simulation methods. Appl. Surf. Sci. 2017, 419, 650–669. [Google Scholar]
- Fekri, F.; Shahidi Zandi, M.; Foroughi, M.M. Polypyrrole coatings for corrosion protection of Al alloy2024: Influence of electrodeposition methods, solvents, and ZnO nanoparticle concentrations. Iran. Polym. J. 2019, 28, 577–585. [Google Scholar] [CrossRef]
- McMahon, M.E.; Santucci, R.J., Jr.; Glover, C.F.; Kannan, B.; Walsh, Z.R.; Scully, J.R. A review of modern assessment methods for metal and metal-oxide based primers for substrate corrosion protection. Front. Mater. 2019, 6, 190. [Google Scholar] [CrossRef]
- Branzoi, F.; Pahom, Z.; Nechifor, G. Corrosion protection of new composite polymer coating for carbon steel in sulfuric acid medium by electrochemical methods. J. Adhes. Sci. Technol. 2018, 32, 2364–2380. [Google Scholar] [CrossRef]
- Paul, P.K.; Yadav, M.; Obot, I. Investigation on corrosion protection behavior and adsorption of carbohydrazide-pyrazole compounds on mild steel in 15% HCl solution: Electrochemical and computational approach. J. Mol. Liq. 2020, 314, 113513. [Google Scholar] [CrossRef]
- Hsieh, Y.-P.; Hofmann, M.; Chang, K.-W.; Jhu, J.G.; Li, Y.-Y.; Chen, K.Y.; Yang, C.C.; Chang, W.-S.; Chen, L.-C. Complete corrosion inhibition through graphene defect passivation. ACS Nano 2014, 8, 443–448. [Google Scholar] [CrossRef] [PubMed]
- Zhang, D.; Wang, L.; Qian, H.; Li, X. Superhydrophobic surfaces for corrosion protection: A review of recent progresses and future directions. J. Coat. Technol. Res. 2016, 13, 11–29. [Google Scholar] [CrossRef]
- Verma, C.; Quraishi, M.; Rhee, K.Y. Aqueous Phase Polymeric Corrosion Inhibitors: Recent Advancements and Future Opportunities. J. Mol. Liq. 2021, 348, 118387. [Google Scholar] [CrossRef]
- Qiang, Y.; Guo, L.; Li, H.; Lan, X. Fabrication of environmentally friendly Losartan potassium film for corrosion inhibition of mild steel in HCl medium. Chem. Eng. J. 2021, 406, 126863. [Google Scholar] [CrossRef]
- Qiang, Y.; Li, H.; Lan, X. Self-assembling anchored film basing on two tetrazole derivatives for application to protect copper in sulfuric acid environment. J. Mater. Sci. Technol. 2020, 52, 63–71. [Google Scholar] [CrossRef]
- Tan, B.; Fu, A.; Guo, L.; Ran, Y.; Xiong, J.; Marzouki, R.; Li, W. Insight into anti-corrosion mechanism of Dalbergia odorifera leaves extract as a biodegradable inhibitor for X70 steel in sulfuric acid medium. Ind. Crops Prod. 2023, 194, 116106. [Google Scholar] [CrossRef]
- Tan, B.; Lan, W.; Zhang, S.; Deng, H.; Qiang, Y.; Fu, A.; Ran, Y.; Xiong, J.; Marzouki, R.; Li, W. Passiflora edulia Sims leaves Extract as renewable and degradable inhibitor for copper in sulfuric acid solution. Colloids Surf. A Physicochem. Eng. Asp. 2022, 645, 128892. [Google Scholar] [CrossRef]
- Hamadi, L.; Mansouri, S.; Oulmi, K.; Kareche, A. The use of amino acids as corrosion inhibitors for metals: A review. Egypt. J. Pet. 2018, 27, 1157–1165. [Google Scholar] [CrossRef]
- Pawar, H.S.; Wagh, A.S.; Lali, A.M. Triethylamine: A potential N-base surrogate for pyridine in Knoevenagel condensation of aromatic aldehydes and malonic acid. New J. Chem. 2016, 40, 4962–4968. [Google Scholar] [CrossRef]
- Rybyan, A.A.; Bilichenko, J.V.; Kireev, V.V.; Kolenchenko, A.A.; Chistyakov, E.M. Curing of DER-331 Epoxy Resin with Arylaminocyclotriphosphazenes Based on o-, m-, and p-methylanilines. Polymers 2022, 14, 5334. [Google Scholar] [CrossRef] [PubMed]
- Chistyakov, E.M.; Kolpinskaya, N.; Posokhova, V.; Chuev, V. Dental composition modified with aryloxyphosphazene containing carboxyl groups. Polymers 2020, 12, 1176. [Google Scholar] [CrossRef] [PubMed]
- Xu, G.-R.; Xu, M.-J.; Li, B. Synthesis and characterization of a novel epoxy resin based on cyclotriphosphazene and its thermal degradation and flammability performance. Polym. Degrad. Stab. 2014, 109, 240–248. [Google Scholar] [CrossRef]
- Dagdag, O.; El Gouri, M.; Safi, Z.S.; Wazzan, N.; Safi, S.K.; Jodeh, S.; Hamed, O.; Haldhar, R.; Verma, C.; Ebenso, E.E. Flame retardancy of an intumescent epoxy resin containing cyclotriphosphazene: Experimental, computational and statistical studies. Iran. Polym. J. 2021, 30, 1169–1179. [Google Scholar] [CrossRef]
- El Gouri, M.; El Bachiri, A.; Hegazi, S.E.; Rafik, M.; El Harfi, A. Thermal degradation of a reactive flame retardant based on cyclotriphosphazene and its blend with DGEBA epoxy resin. Polym. Degrad. Stab. 2009, 94, 2101–2106. [Google Scholar] [CrossRef]
- Yudaev, P.; Butorova, I.; Stepanov, G.; Chistyakov, E. Extraction of Palladium (II) with a Magnetic Sorbent Based on Polyvinyl Alcohol Gel, Metallic Iron, and an Environmentally Friendly Polydentate Phosphazene-Containing Extractant. Gels 2022, 8, 492. [Google Scholar] [CrossRef]
- Davarcı, D.; Beşli, S.; Yuksel, F. Reactions of cyclotriphosphazene with 1, 6-diaminohexane and 1, 8-diaminooctane: Mono-ansa, double-and triple-bridged derivatives. Polyhedron 2014, 68, 10–16. [Google Scholar] [CrossRef]
- Çiftçi, G.Y.; Şenkuytu, E.; Durmuş, M.; Yuksel, F.; Kılıç, A. Fluorenylidene bridged cyclotriphosphazenes:‘turn-off’fluorescence probe for Cu2+ and Fe3+ ions. Dalton Trans. 2013, 42, 14916–14926. [Google Scholar] [CrossRef] [PubMed]
- Ainscough, E.W.; Brodie, A.M.; Edwards, P.J.; Jameson, G.B.; Otter, C.A.; Kirk, S. Zinc, cadmium, and mercury complexes of a pyridyloxy-substituted cyclotriphosphazene: Syntheses, structures, and fluxional behavior. Inorg. Chem. 2012, 51, 10884–10892. [Google Scholar] [CrossRef] [PubMed]
- Maslennikova, V.V.; Filatov, S.N.; Orlov, A.V.; Surin, N.M.; Svidchenko, E.A.; Chistyakov, E.M. Luminescent Coatings Based on (3-Aminopropyl) triethoxysilane and Europium Complex β-Diketophosphazene. Polymers 2022, 14, 728. [Google Scholar] [CrossRef] [PubMed]
- İbişoğlu, H.; Atilla, D.; Tümay, S.O.; Şenocak, A.; Duygulu, E.; Yuksel, F. New cyclotriphosphazene ligand containing imidazole rings and its one-dimensional copper (II) coordination polymer. J. Mol. Struct. 2020, 1208, 127888. [Google Scholar] [CrossRef]
- Carriedo, G.A.; Fernández-Catuxo, L.; García Alonso, F.; Gómez-Elipe, P.; González, P.A. Preparation of a new type of phosphazene high polymers containing 2, 2 ‘-dioxybiphenyl groups. Macromolecules 1996, 29, 5320–5325. [Google Scholar] [CrossRef]
- Hakimi, M.; Rezaei, H.; Moeini, K.; Mardani, Z.; Eigner, V.; Dušek, M. Formation of a copper–copper bond in coordination of a cyclotriphosphazene ligand toward Cu (II): Structural, spectral and docking studies. J. Mol. Struct. 2020, 1207, 127804. [Google Scholar] [CrossRef]
- Doğan, S.; Balcı, C.M.; Şenocak, A.; Beşli, S. Cu (II) complexes of cyclotriphosphazene bearing Schiff bases: Synthesis, structural characterization, DFT calculations, absorbance and thermal properties. Polyhedron 2020, 183, 114541. [Google Scholar] [CrossRef]
- Erkovan, A.O.; Seifi, A.; Aksoy, B.T.; Khataee, A.; Zorlu, Y.; Çoşut, B. Catalytic activation of persulfate by 3D Cd (II) coordination polymers based on a flexible cyclotriphosphazene-functionalized ligand. Polyhedron 2023, 241, 116472. [Google Scholar] [CrossRef]
- Erkovan, A.O.; Seifi, A.; Aksoy, B.T.; Zorlu, Y.; Khataee, A.; Çoşut, B. Catalytic Activity of Zn (II) Coordination Polymer Based on a Cyclotriphosphazene-Functionalized Ligand for Removal of Organic Dyes. Catalysts 2023, 13, 756. [Google Scholar] [CrossRef]
- Li, B.; Li, Z.; Wei, R.-J.; Yu, F.; Chen, X.; Xie, Y.-P.; Zhang, T.-L.; Tao, J. A three-dimensional complex with a one-dimensional cobalt-hydroxyl chain based on planar nonanuclear clusters showing spin-canted antiferromagnetism. Inorg. Chem. 2015, 54, 3331–3336. [Google Scholar] [CrossRef]
- Davarcı, D.; Şenkuytu, E. New dispiro-dipyridyloxy-cyclotriphosphazene ligand and its Ag (I) coordination polymer: Structure and thermal stability. J. Organomet. Chem. 2017, 842, 67–73. [Google Scholar] [CrossRef]
- Davarcı, D.; Şenkuytu, E.; Zorlu, Y. Mercury (II) coordination polymers based on aniline-substituted tetra pyridyloxy cyclotriphosphazene: Syntheses, characterizations and UV–Vis absorption properties. Polyhedron 2019, 173, 114138. [Google Scholar] [CrossRef]
- Ling, Y.; Bai, D.; Feng, Y.; He, Y. Alkaline earth-based coordination polymers derived from a cyclotriphosphazene-functionalized hexacarboxylate. J. Solid State Chem. 2016, 242, 47–54. [Google Scholar] [CrossRef]
- Dagdag, O.; El Harfi, A.; Safi, Z.; Guo, L.; Kaya, S.; Verma, C.; Ebenso, E.; Wazzan, N.; Quraishi, M.; El Bachiri, A. Cyclotriphosphazene based dendrimeric epoxy resin as an anti-corrosive material for copper in 3% NaCl: Experimental and computational demonstrations. J. Mol. Liq. 2020, 308, 113020. [Google Scholar] [CrossRef]
- Dagdag, O.; El Harfi, A.; El Gouri, M.; Safi, Z.; Jalgham, R.T.; Wazzan, N.; Verma, C.; Ebenso, E.; Kumar, U.P. Anticorrosive properties of Hexa (3-methoxy propan-1, 2-diol) cyclotri-phosphazene compound for carbon steel in 3% NaCl medium: Gravimetric, electrochemical, DFT and Monte Carlo simulation studies. Heliyon 2019, 5, e01340. [Google Scholar] [CrossRef] [PubMed]
- Krishnadevi, K.; Selvaraj, V. Cyclotriphosphazene and TiO2 reinforced nanocomposite coated on mild steel plates for antibacterial and corrosion resistance applications. Appl. Surf. Sci. 2016, 366, 148–157. [Google Scholar] [CrossRef]
- Krishnadevi, K.; Selvaraj, V. Fabrication of Bioactive Material-Reinforced Caprolactam-Based Cyanate Ester Composite for Coating Applications. Polym. -Plast. Technol. Eng. 2017, 56, 1586–1597. [Google Scholar] [CrossRef]
- Selvaraj, V.; Raghavarshini, T.; Alagar, M. Evaluation of thermo-mechanical, dielectric and corrosion resistant properties of cardanol benzoxazine-epoxy based hybrid composites: A very low temperature curing pre-polymer for high performance paint related applications. High Performance Polymers 2020, 32, 524–539. [Google Scholar] [CrossRef]
- Verma, C.; Rhee, K.Y.; Quraishi, M.; Ebenso, E.E. Pyridine based N-heterocyclic compounds as aqueous phase corrosion inhibitors: A review. J. Taiwan Inst. Chem. Eng. 2020, 117, 265–277. [Google Scholar] [CrossRef]
- Abd El Aziz, S.F.; Etaiw, S.E.H.; Sobhy, S. Metal-organic frameworks based on heterocyclic ligands and some transition metals as effective carbon steel corrosion inhibitors in aqueous environment. J. Mol. Liq. 2022, 348, 118402. [Google Scholar]
- Mishra, A.; Aslam, J.; Verma, C.; Quraishi, M.; Ebenso, E.E. Imidazoles as highly effective heterocyclic corrosion inhibitors for metals and alloys in aqueous electrolytes: A review. J. Taiwan Inst. Chem. Eng. 2020, 114, 341–358. [Google Scholar] [CrossRef]
- Salman, M.; Ansari, K.; Srivastava, V.; Chauhan, D.S.; Haque, J.; Quraishi, M. Chromeno naphthyridines based heterocyclic compounds as novel acidizing corrosion inhibitors: Experimental, surface and computational study. J. Mol. Liq. 2021, 322, 114825. [Google Scholar] [CrossRef]
- Hemapriya, V.; Prabakaran, M.; Parameswari, K.; Chitra, S.; Kim, S.-H.; Chung, I.-M. Dry and wet lab analysis on benzofused heterocyclic compounds as effective corrosion inhibitors for mild steel in acidic medium. J. Ind. Eng. Chem. 2016, 40, 106–117. [Google Scholar] [CrossRef]
- Fawzi, M.; Laamari, Y.; Koumya, Y.; Oubella, A.; Auhmani, A.; Itto, M.Y.A.; Abouelfida, A.; Riahi, A.; Auhmani, A. Electrochemical and theoretical studies on the corrosion inhibition performance of some synthesized D-Limonene based heterocyclic compounds. J. Mol. Struct. 2021, 1244, 130957. [Google Scholar] [CrossRef]
- Hashem, H.E.; Farag, A.A.; Mohamed, E.A.; Azmy, E.M. Experimental and theoretical assessment of benzopyran compounds as inhibitors to steel corrosion in aggressive acid solution. J. Mol. Struct. 2022, 1249, 131641. [Google Scholar] [CrossRef]
- Wang, J.; Liu, J.; Liu, Q.; Chong, Y. The inhibition performance of heterocyclic compounds on Q235 steel in methanol/formic acid medium: Experimental and theory. J. Mol. Liq. 2021, 343, 117663. [Google Scholar] [CrossRef]
- Chauhan, D.S.; Quraishi, M.; Nik, W.W.; Srivastava, V. Triazines as a potential class of corrosion inhibitors: Present scenario, challenges and future perspectives. J. Mol. Liq. 2021, 321, 114747. [Google Scholar] [CrossRef]
- Assad, H.; Kumar, A. Understanding functional group effect on corrosion inhibition efficiency of selected organic compounds. J. Mol. Liq. 2021, 344, 117755. [Google Scholar] [CrossRef]
- Cherrak, K.; El Massaoudi, M.; Outada, H.; Taleb, M.; Lgaz, H.; Zarrouk, A.; Radi, S.; Dafali, A. Electrochemical and theoretical performance of new synthetized pyrazole derivatives as promising corrosion inhibitors for mild steel in acid environment: Molecular structure effect on efficiency. J. Mol. Liq. 2021, 342, 117507. [Google Scholar] [CrossRef]
- Berdimurodov, E.; Kholikov, A.; Akbarov, K.; Guo, L. Experimental and theoretical assessment of new and eco–friendly thioglycoluril derivative as an effective corrosion inhibitor of St2 steel in the aggressive hydrochloric acid with sulfate ions. J. Mol. Liq. 2021, 335, 116168. [Google Scholar] [CrossRef]
























































Disclaimer/Publisher’s Note: The statements, opinions and data contained in all publications are solely those of the individual author(s) and contributor(s) and not of MDPI and/or the editor(s). MDPI and/or the editor(s) disclaim responsibility for any injury to people or property resulting from any ideas, methods, instructions or products referred to in the content. |
© 2023 by the authors. Licensee MDPI, Basel, Switzerland. This article is an open access article distributed under the terms and conditions of the Creative Commons Attribution (CC BY) license (https://creativecommons.org/licenses/by/4.0/).
Share and Cite
Dagdag, O.; Kim, H. Progress in the Field of Cyclophosphazenes: Preparation, Properties, and Applications. Polymers 2024, 16, 122. https://doi.org/10.3390/polym16010122
Dagdag O, Kim H. Progress in the Field of Cyclophosphazenes: Preparation, Properties, and Applications. Polymers. 2024; 16(1):122. https://doi.org/10.3390/polym16010122
Chicago/Turabian StyleDagdag, Omar, and Hansang Kim. 2024. "Progress in the Field of Cyclophosphazenes: Preparation, Properties, and Applications" Polymers 16, no. 1: 122. https://doi.org/10.3390/polym16010122
APA StyleDagdag, O., & Kim, H. (2024). Progress in the Field of Cyclophosphazenes: Preparation, Properties, and Applications. Polymers, 16(1), 122. https://doi.org/10.3390/polym16010122

