Design of Suspended Slot Racetrack Microring Refractive Index Sensor Based on Polymer Nanocomposite
Abstract
1. Introduction
2. Structure Design
3. Stimulation and Analysis
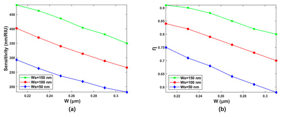
3.1. Structure Optimization
3.2. Performance Analysis
| Reference | Structure | Material | Ws (nm) | Q-Factor | DL (RIU) | S (nm/RIU) |
|---|---|---|---|---|---|---|
| [41] | SOI MRR | Si | \ | 20,000 | 10 ng/mL | 70 |
| [32] | SOI SMRR | Si | 140 | 1113 | 0.129% | 403 |
| [27] | SOI SMRR | Si | 200 | 3000 | 8.8 × 10−6 | 240 |
| [28] | MRR | Polymer | \ | 15,000 | \ | 115 ± 8 |
| [40] | SMRR | Polymer | 200 | \ | 1.69× 10−4 | 177 |
| Our work | SMRR | Composites | 150 | 14,200 | 1.38 × 10−4 | 436 |
4. Conclusions
Author Contributions
Funding
Institutional Review Board Statement
Data Availability Statement
Conflicts of Interest
References
- Konopsky, V.N.; Alieva, E.V. Imaging biosensor based on planar optical waveguide. Opt. Laser Technol. 2019, 115, 171–175. [Google Scholar] [CrossRef]
- Sader, E.; Sayyed-Ahmad, A. Design of an optical water pollution sensor using a single-layer guided-mode resonance filter. Photonics Sens. 2013, 3, 224–230. [Google Scholar] [CrossRef]
- Cunningham, B.; Li, P.; Bo, L.; Pepper, J. Colorimetric Resonant Reflection as a Direct Biochemical Assay Technique. In Proceedings of the Paper Presented at the Fifteenth IEEE International Conference on Micro Electro Mechanical Systems, Las Vegas, NV, USA, 24 January 2002. [Google Scholar] [CrossRef]
- Snelders, D.J.M.; Boersma, A. Development of thermostable FBG optical sensor for oil and gas applications. Int. J. Smart Sens. Intell. Syst. 2014, 7, 1–4. [Google Scholar] [CrossRef]
- Esequiel, M.; Luís, P.; Andreas, T.; Nélia, A.; José, M.; Carlos, M.; Kyriacos, K.; Paulo, A.; Humberto, V.; Paulo, A. Optical Sensors for Bond-Slip Characterization and Monitoring of Rc Structures. Sens. Actuators A Phys. 2018, 280, 332–339. [Google Scholar] [CrossRef]
- Ma, X.X.; Chen, K.X.; Wu, J.Y. Cost-Effective Mach-Zehnder Interferometer Liquid Refractive Index Sensor Based on Conventional Polymer Strip Waveguide. IEEE Photonics J. 2020, 13, 1–9. [Google Scholar] [CrossRef]
- Tsigaridas, G.N. A study on refractive index sensors based on optical micro-ring resonators. Photonics Sens. 2017, 7, 217–225. [Google Scholar] [CrossRef]
- Elsayed, M.Y.; Sherif, S.M.; Aljaber, A.S.; Swillam, M.A. Integrated Lab-on-a-Chip Optical Biosensor Using Ultrathin Silicon Waveguide SOI MMI Device. Sensors 2020, 20, 4955. [Google Scholar] [CrossRef] [PubMed]
- Donzella, V.; Sherwali, A.; Flueckiger, J.; Grist, S.M.; Fard, S.T.; Chrostowski, L. Design and fabrication of SOI micro-ring resonators based on sub-wavelength grating waveguides. Opt. Express 2015, 23, 4791. [Google Scholar] [CrossRef] [PubMed]
- Ma, H.; Jen, A.K.; Dalton, L.R. Polymer-Based Optical Waveguides: Materials, Processing, and Devices. Adv. Mater. 2010, 14, 1339–1365. [Google Scholar] [CrossRef]
- Fiedorowicz, H.; Bartnik, A.; Jarocki, R.; Kostecki, J.; Rakowski, R.; Szczurek, M. Micromachining of organic polymers by direct photo-etching using a compact laser plasma soft x-ray source. In Proceedings of the Paper presented at the Conference on Nanoengineering: Fabrication, Properties, Optics, and Devices II, San Diego, CA, USA, 3–4 August 2005. [Google Scholar] [CrossRef]
- Liang, S.; Yang, Y.; Lv, C.; Liu, Y.; Xia, H. Integratable photodetectors based on photopolymerized conductive polymer via femtosecond laser direct writing. Opt. Lett. 2022, 47, 2630–2633. [Google Scholar] [CrossRef]
- Wang, X.; Bhadauriya, S.; Zhang, R.; Pitliya, P.; Raghavan, D.; Zhang, J.; Bockstaller, M.R.; Douglas, J.F.; Karim, A. Nanoimprint Directed Assembly of Associating Polymer-Grafted Nanoparticles for Polymer Thin Films with Enhanced Stability. ACS Appl. Polym. Mater. 2019, 1, 3242–3252. [Google Scholar] [CrossRef]
- Shukla, P.; Saxena, P. Polymer Nanocomposites in Sensor Applications: A Review on Present Trends and Future Scope. Chin. J. Polym. Sci. 2021, 39, 665–691. [Google Scholar] [CrossRef]
- Kanoun, O.; Bouhamed, A.; Ramalingame, R.; Bautista-Quijano, J.R.; Rajendran, D.; Al-Hamry, A. Review on Conductive Polymer/CNTs Nanocomposites Based Flexible and Stretchable Strain and Pressure Sensors. Sensors 2021, 21, 341. [Google Scholar] [CrossRef] [PubMed]
- Yasir, M.; Sai, T.; Sicher, A.; Scheffold, F.; Steiner, U.; Wilts, B.D.; Dufresne, E.R. Enhancing the Refractive Index of Polymers with a Plant-Based Pigment. Small 2021, 17, 2103061. [Google Scholar] [CrossRef] [PubMed]
- Song, D.P.; Li, C.; Li, W.; Watkins, J.J. Block Copolymer Nanocomposites with High Refractive Index Contrast for One-Step Photonics. ACS Nano 2016, 10, 1216–1223. [Google Scholar] [CrossRef] [PubMed]
- Niu, D.; Zhang, D.; Yang, K.; Lian, T.; Sun, S.; Li, B.; Wang, X. 850-nm polymeric waveguide thermo-optic switch with low power-consumption. Opt. Laser Technol. 2020, 132, 106476. [Google Scholar] [CrossRef]
- Morarescu, R.; Pal, P.K.; Beneitez, N.T.; Missinne, J.; Steenberge, G.V.; Bienstman, P.; Morthier, G. Fabrication and Characterization of High-Optical-Quality-Factor Hybrid Polymer Microring Resonators Operating at Very Near Infrared Wavelengths. IEEE Photonics J. 2016, 8, 1–9. [Google Scholar] [CrossRef]
- Maxwell, A.; Huang, S.-W.; Ling, T.; Kim, J.-S.; Ashkenazi, S.; Guo, L.J. Polymer Microring Resonators for High-Frequency Ultrasound Detection and Imaging. IEEE J. Sel. Top. Quantum Electron. 2008, 14, 191–197. [Google Scholar] [CrossRef]
- Zhang, J.; Li, Y.; Jiang, C.; Zhao, Z. Optical Waveguide Electric Field Sensor Based on Dual Parallel Mach-Zehnder Interferometer. IEEE Sens. J. 2021, 21, 20099–20106. [Google Scholar] [CrossRef]
- Hiltunen, M.; Hiltunen, J.; Stenberg, P.; Aikio, S.; Kurki, L.; Vahimaa, P.; Karioja, P. Polymeric slot waveguide interferometer for sensor applications. Opt. Express 2014, 22, 7229–7237. [Google Scholar] [CrossRef]
- Mattelin, M.A.; Missinne, J.; Coensel, B.D.; Steenberge, G.V. Imprinted Polymer-Based Guided Mode Resonance Grating Strain Sensors. Sensors 2020, 20, 3221. [Google Scholar] [CrossRef] [PubMed]
- Liang, Y.; Liu, Q.; Wu, Z.; Morthier, G.; Zhao, M. Cascaded-Microrings Biosensors Fabricated on a Polymer Platform. Sensors 2019, 19, 181. [Google Scholar] [CrossRef] [PubMed]
- Girault, P.; Lorrain, N.; Poffo, L.; Guendouz, M.; Lemaitre, J.; Carré, C.; Gadonna, M.; Bosc, D.; Vignaud, G. Integrated polymer micro-ring resonators for optical sensing applications. J. Appl. Phys. 2015, 117, 104504. [Google Scholar] [CrossRef]
- Gylfason, K.B.; Carlborg, C.F.; Kaźmierczak, A.; Dortu, F.; Sohlström, H.; Vivien, L.; Barrios, C.A.; van der Wijngaart, W.; Stemme, G. On-chip temperature compensation in an integrated slot-waveguide ring resonator refractive index sensor array. Opt. Express 2010, 18, 3226–3237. [Google Scholar] [CrossRef] [PubMed]
- Xu, Y.; Hu, S.; Kong, M. Air-Mode Photonic Crystal Micro-Ring Resonator With Enhanced Quality Factor for Refractive Index Sensing. IEEE Photonics J. 2020, 12, 1–11. [Google Scholar] [CrossRef]
- Tu, Z.; Gao, D.; Zhang, M.; Zhang, D. High-sensitivity complex refractive index sensing based on Fano resonance in the subwavelength grating waveguide micro-ring resonator. Opt. Express 2017, 25, 20911–20922. [Google Scholar] [CrossRef] [PubMed]
- Ahmadian, D.; Ghoabdi, C.; Nourinia, J. Tunable Plasmonic Sensor With Metal–Liquid Crystal–Metal Structure. IEEE Photonics J. 2015, 7, 1–10. [Google Scholar] [CrossRef]
- Shi, B.; Chen, X.; Cai, Y.; Zhang, S.; Wang, T.; Wang, Y. Compact Slot Microring Resonator for Sensitive and Label-Free Optical Sensing. Sensors 2022, 22, 6467. [Google Scholar] [CrossRef]
- Huang, C.; Jha, A.; de Lima, T.F.; Tait, A.N.; Shastri, B.J.; Prucnal, P.R. On-Chip Programmable Nonlinear Optical Signal Processor and Its Applications. IEEE J. Sel. Top. Quantum Electron. 2021, 27, 1–11. [Google Scholar] [CrossRef]
- Tamada, A.; Ota, Y.; Kuruma, K.; Watanabe, K.; Iwamoto, S.; Arakawa, Y. Single Plasmon Generation in an InAs/GaAs Quantum Dot in a Transfer-Printed Plasmonic Microring Resonator. ACS Photonics 2019, 6, 1106–1110. [Google Scholar] [CrossRef]
- Bahadori, M.; Goddard, L.L.; Gong, S. Fundamental electro-optic limitations of thin-film lithium niobate microring modulators. Opt. Express 2020, 28, 13731–13749. [Google Scholar] [CrossRef] [PubMed]
- Wang, Y.; Xi, G.; Zhang, Y.; Song, M.; Liu, C.; Wang, G.; Wang, C.; Ma, N.; Qin, Z. Evaluation of a cross-grid microring resonator electro-optic switching array. Optik 2020, 204, 164201. [Google Scholar] [CrossRef]
- Zhu, Y.; Zhao, Y.; Zhu, L. Modal Discrimination in Parity-Time-Symmetric Single Microring Lasers. IEEE Photonics J. 2017, 9, 1–8. [Google Scholar] [CrossRef]
- Wan, L.; Chandrahalim, H.; Chen, C.; Chen, Q.; Mei, T. On-Chip, High-Sensitivity Temperature Sensors Based on Dye-Doped Solid-State Polymer Microring Lasers. Appl. Phys. Lett. 2017, 111, 061109. [Google Scholar] [CrossRef]
- Singh, R.R.; Kumari, S.; Gautam, A.; Priye, V. Glucose Sensing Using Slot Waveguide-Based SOI Ring Resonator. IEEE J. Sel. Top. Quantum Electron. 2018, 25, 1–8. [Google Scholar] [CrossRef]
- Ma, X.; Chen, K.; Wu, J.; Wang, L. Low-Cost and Highly Sensitive Liquid Refractive Index Sensor Based on Polymer Horizontal Slot Waveguide. Photonic Sens. 2020, 10, 7. [Google Scholar] [CrossRef]
- De Vos, K.; Bartolozzi, I.; Schacht, E.; Bienstman, P.; Baets, R. Silicon-on-Insulator microring resonator for sensitive and label-free biosensing. Opt. Express 2007, 15, 7610–7615. [Google Scholar] [CrossRef]
- Han, J.; Wu, X.; Ge, X.; Xie, Y.; Song, G.; Liu, L.; Yi, Y. Highly Sensitive Liquid M-Z Waveguide Sensor Based on Polymer Suspended Slot Waveguide Structure. Polymers 2022, 14, 3967. [Google Scholar] [CrossRef]
- Nguyen, D.T.; Norwood, R.A. Label-free, single-object sensing with a microring resonator: FDTD simulation. Opt. Express 2013, 21, 49. [Google Scholar] [CrossRef]









Disclaimer/Publisher’s Note: The statements, opinions and data contained in all publications are solely those of the individual author(s) and contributor(s) and not of MDPI and/or the editor(s). MDPI and/or the editor(s) disclaim responsibility for any injury to people or property resulting from any ideas, methods, instructions or products referred to in the content. |
© 2023 by the authors. Licensee MDPI, Basel, Switzerland. This article is an open access article distributed under the terms and conditions of the Creative Commons Attribution (CC BY) license (https://creativecommons.org/licenses/by/4.0/).
Share and Cite
Wu, X.; Wang, J.; Han, J.; Xie, Y.; Ge, X.; Liao, J.; Yi, Y. Design of Suspended Slot Racetrack Microring Refractive Index Sensor Based on Polymer Nanocomposite. Polymers 2023, 15, 2113. https://doi.org/10.3390/polym15092113
Wu X, Wang J, Han J, Xie Y, Ge X, Liao J, Yi Y. Design of Suspended Slot Racetrack Microring Refractive Index Sensor Based on Polymer Nanocomposite. Polymers. 2023; 15(9):2113. https://doi.org/10.3390/polym15092113
Chicago/Turabian StyleWu, Xihan, Jiajun Wang, Jiachen Han, Yuqi Xie, Xuyang Ge, Jianzhi Liao, and Yunji Yi. 2023. "Design of Suspended Slot Racetrack Microring Refractive Index Sensor Based on Polymer Nanocomposite" Polymers 15, no. 9: 2113. https://doi.org/10.3390/polym15092113
APA StyleWu, X., Wang, J., Han, J., Xie, Y., Ge, X., Liao, J., & Yi, Y. (2023). Design of Suspended Slot Racetrack Microring Refractive Index Sensor Based on Polymer Nanocomposite. Polymers, 15(9), 2113. https://doi.org/10.3390/polym15092113

