Preparation and Properties of Poly(butylene adipate-co-terephthalate)/thermoplastic Hydroxypropyl Starch Composite Films Reinforced with Nano-Silica
Abstract
1. Introduction
| Source of Starch | Compatibilizer/ Additive | TPS Ratio in PBAT/TPS | Film Mechanical Properties | Reference | |
|---|---|---|---|---|---|
| TS | EB | ||||
| Cassava | Neat sepiolite | 50 | 5.3 | 120 | [37] |
| Corn | Maleic anhydride | 10–50 | 4.4–13.4 | 256–540 | [38] |
| Potato | Maleic anhydride PBAT-g-MA | 40–50 | 6.2–7.9 | 196–220 | [9] |
| Corn | Citric acid Tween 80 | 20–50 | 2.3–4.0 | 7–21 | [39] |
| Cassava | Soybean oil Tween 80 | 50 | 0.5–6.1 | 32–400 | [10] |
| Cassava | - | 20–60 | 6.6–8.3 | 547–819 | [40] |
| Cassava | Citric acid Water soluble curcumin | 38 | 5.8–6.0 | 72–258 | [41] |
| Acetylated cassava | Nisin Nisin-EDTA | 40 | 1–14 | 200–950 | [42] |
| Corn | Maleic anhydride | 50 | 5.3 | 212 | [13] |
2. Materials and Methods
2.1. Materials
2.2. Methods
2.2.1. Preparation of Composite Film Materials
2.2.2. Characterization of the Composite Films
3. Results
3.1. Mechanical Properties
3.2. Melt Flow Index
3.3. Scanning Electron Microscope
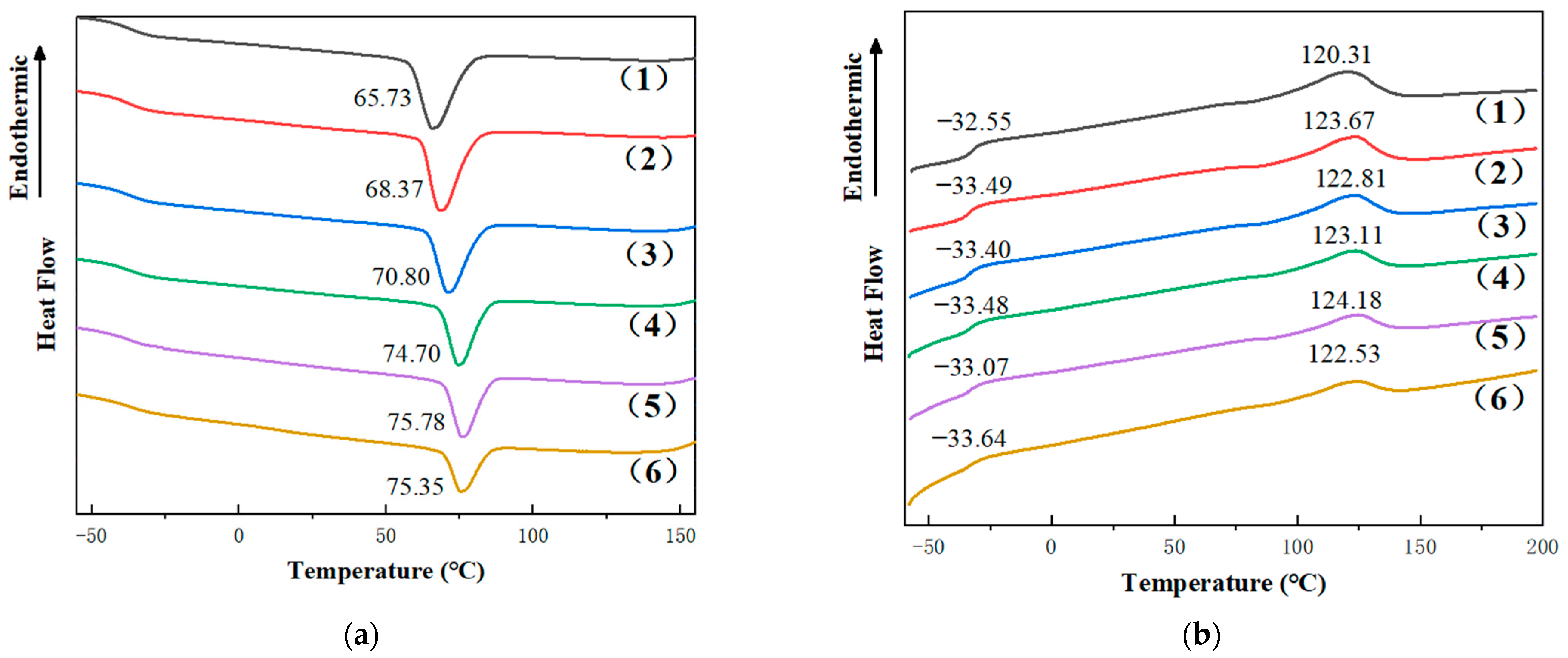
3.4. Differential Scanning Calorimetry
3.5. Thermogravimetric Analysis
4. Conclusions
Author Contributions
Funding
Institutional Review Board Statement
Data Availability Statement
Conflicts of Interest
References
- Shah, A.A.; Kato, S.; Shintani, N.; Kamini, N.R.; Nakajima-Kambe, T. Microbial degradation of aliphatic and aliphatic-aromatic co-polyesters. Appl. Microbiol. Biotechnol. 2014, 98, 3437–3447. [Google Scholar] [CrossRef] [PubMed]
- Leal, I.L.; da Silva Rosa, Y.C.; da Silva Penha, J.; Correia, P.R.C.; da Silva Melo, P.; Guimarães, D.H.; Barbosa, J.D.V.; Druzian, J.I.; Machado, B.A.S. Development and application starch films: PBAT with additives for evaluating the shelf life of Tommy Atkins mango in the fresh-cut state. J. Appl. Polym. Sci. 2019, 136, 48150. [Google Scholar] [CrossRef]
- Youssef, A.M.; Assem, F.M.; Abdel-Aziz, M.E.; Elaaser, M.; Ibrahim, O.A.; Mahmoud, M.; Abd El-Salam, M.H. Development of bionanocomposite materials and its use in coating of Ras cheese. Food Chem. 2019, 270, 467–475. [Google Scholar] [CrossRef] [PubMed]
- Kale, G. Overview of Biodegradable Packaging, Methods, and Current Trends; John Wiley & Sons, Ltd.: Hoboken, NJ, USA, 2011. [Google Scholar]
- Bittmann, B.; Bouza, R.; Barral, L.; González-Rodríguez, M.V.; Abad, M.-J. Nanoclay-reinforced poly(butylene adipate-co-terephthalate) biocomposites for packaging applications. Polym. Compos. 2012, 33, 2022–2028. [Google Scholar] [CrossRef]
- Lai, L.; Wang, S.; Li, J.; Liu, P.; Wu, L.; Wu, H.; Xu, J.; Severtson, S.J.; Wang, W.J. Stiffening, strengthening, and toughening of biodegradable poly(butylene adipate-co-terephthalate) with a low nanoinclusion usage. Carbohydr. Polym. 2020, 247, 116687. [Google Scholar] [CrossRef] [PubMed]
- Ferreira, F.V.; Mariano, M.; Pinheiro, I.F.; Cazalini, E.M.; Souza, D.H.S.; Lepesqueur, L.S.S.; Koga-Ito, C.Y.; Gouveia, R.F.; Lona, L.M.F. Cellulose nanocrystal-based poly(butylene adipate-co-terephthalate) nanocomposites covered with antimicrobial silver thin films. Polym. Eng. Sci. 2019, 59, E356–E365. [Google Scholar] [CrossRef]
- Wang, H.T.; Wang, J.M.; Wu, T.M. Synthesis and characterization of biodegradable aliphatic–aromatic nanocomposites fabricated using maleic acid-grafted poly[(butylene adipate)-co-terephthalate] and organically modified layered zinc phenylphosphonate. Polym. Int. 2019, 68, 1531–1537. [Google Scholar] [CrossRef]
- Dammak, M.; Fourati, Y.; Tarrés, Q.; Delgado-Aguilar, M.; Mutjé, P.; Boufi, S. Blends of PBAT with plasticized starch for packaging applications: Mechanical properties, rheological behaviour and biodegradability. Ind. Crops Prod. 2020, 144, 112061. [Google Scholar] [CrossRef]
- Brandelero, R.P.H.; Grossmann, M.V.; Yamashita, F. Films of starch and poly(butylene adipate co-terephthalate) added of soybean oil (SO) and Tween 80. Carbohydr. Polym. 2012, 90, 1452–1460. [Google Scholar] [CrossRef] [PubMed]
- Olivato, J.B.; Grossmann, M.V.E.; Bilck, A.P.; Yamashita, F. Effect of organic acids as additives on the performance of thermoplastic starch/polyester blown films. Carbohydr. Polym. 2012, 90, 159–164. [Google Scholar] [CrossRef]
- Wei, D.; Wang, H.; Xiao, H.; Zheng, A.; Yang, Y. Morphology and mechanical properties of poly(butylene adipate-co-terephthalate)/potato starch blends in the presence of synthesized reactive compatibilizer or modified poly(butylene adipate-co-terephthalate). Carbohydr. Polym. 2015, 123, 275–282. [Google Scholar] [CrossRef] [PubMed]
- Chang, C.C.; Trinh, B.M.; Mekonnen, T.H. Robust multiphase and multilayer starch/polymer (TPS/PBAT) film with simultaneous oxygen/moisture barrier properties. J. Colloid Interface Sci. 2021, 593, 290–303. [Google Scholar] [CrossRef] [PubMed]
- Fourati, Y.; Tarres, Q.; Mutje, P.; Boufi, S. PBAT/thermoplastic starch blends: Effect of compatibilizers on the rheological, mechanical and morphological properties. Carbohydr. Polym. 2018, 199, 51–57. [Google Scholar] [CrossRef]
- Liu, Y.; Liu, S.; Liu, Z.; Lei, Y.; Jiang, S.; Zhang, K.; Yan, W.; Qin, J.; He, M.; Qin, S.; et al. Enhanced mechanical and biodegradable properties of PBAT/lignin composites via silane grafting and reactive extrusion. Compos. Part B Eng. 2021, 220, 108980. [Google Scholar] [CrossRef]
- Kargarzadeh, H.; Galeski, A.; Pawlak, A. PBAT green composites: Effects of kraft lignin particles on the morphological, thermal, crystalline, macro and micromechanical properties. Polymer 2020, 203, 122748. [Google Scholar] [CrossRef]
- Xie, X.; Zhang, C.; Weng, Y.; Diao, X.; Song, X. Effect of Diisocyanates as Compatibilizer on the Properties of BF/PBAT Composites by In Situ Reactive Compatibilization, Crosslinking and Chain Extension. Materials 2020, 13, 806. [Google Scholar] [CrossRef] [PubMed]
- Xu, Z.; Qiao, X.; Sun, K. Environmental-friendly corn stover/poly(butylene adipate-co-terephthalate) biocomposites. Mater. Today Commun. 2020, 25, 101541. [Google Scholar] [CrossRef]
- Borges, J.A.; Romani, V.P.; Cortez-Vega, W.R.; Martins, V.G. Influence of different starch sources and plasticizers on properties of biodegradable films. Int. Food Res. J. 2015, 22, 2346–2351. [Google Scholar]
- Nunes, M.A.B.S.; Marinho, V.A.D.; Falcão, G.A.M.; Canedo, E.L.; Bardi, M.A.G.; Carvalho, L.H. Rheological, mechanical and morphological properties of poly(butylene adipate-co-terephthalate)/thermoplastic starch blends and its biocomposite with babassu mesocarp. Polym. Test. 2018, 70, 281–288. [Google Scholar] [CrossRef]
- Biliaderis, C.G.; Maurice, T.J.; Vose, J.R. Starch Gelatinization Phenomena Studied by Differential Scanning Calorimetry. J. Food Sci. 1980, 45, 1669–1674. [Google Scholar] [CrossRef]
- Lefevre, C.; Bohuon, P.; Akissoe, L.; Ollier, L.; Matignon, B.; Mestres, C. Modeling the gelatinization-melting transition of the starch-water system in pulses (lentil, bean and chickpea). Carbohydr. Polym. 2021, 264, 117983. [Google Scholar] [CrossRef] [PubMed]
- Wang, J.; Liang, Y.; Zhang, Z.; Ye, C.; Chen, Y.; Wei, P.; Wang, Y.; Xia, Y. Thermoplastic starch plasticized by polymeric ionic liquid. Eur. Polym. J. 2021, 148, 110367. [Google Scholar] [CrossRef]
- Wadaugsorn, K.; Panrong, T.; Wongphan, P.; Harnkarnsujarit, N. Plasticized hydroxypropyl cassava starch blended PBAT for improved clarity blown films: Morphology and properties. Ind. Crops Prod. 2022, 176, 114311. [Google Scholar] [CrossRef]
- Asnawi, T.M.; Zaki, M.; Khadafi, M.; Harmanita, I. Synthesis and characterization of biodegradable plastic from watermelon rind starch and chitosan by using glycerol as plasticizer. Mater. Today Proc. 2022, 63, S501–S506. [Google Scholar]
- Yu, F.; Prashantha, K.; Soulestin, J.; Lacrampe, M.F.; Krawczak, P. Plasticized-starch/poly(ethylene oxide) blends prepared by extrusion. Carbohydr. Polym. 2013, 91, 253–261. [Google Scholar] [CrossRef] [PubMed]
- Lerma-Canto, A.; Gomez-Caturla, J.; Herrero-Herrero, M.; Garcia-Garcia, D.; Fombuena, V. Development of Polylactic Acid Thermoplastic Starch Formulations Using Maleinized Hemp Oil as Biobased Plasticizer. Polymers 2021, 13, 1392. [Google Scholar] [CrossRef]
- Momeni, S.; Rezvani Ghomi, E.; Shakiba, M.; Shafiei-Navid, S.; Abdouss, M.; Bigham, A.; Khosravi, F.; Ahmadi, Z.; Faraji, M.; Abdouss, H.; et al. The Effect of Poly (Ethylene glycol) Emulation on the Degradation of PLA/Starch Composites. Polymers 2021, 13, 1019. [Google Scholar] [CrossRef]
- Bidari, R.; Abdillah, A.A.; Ponce, R.A.B.; Charles, A.L. Characterization of Biodegradable Films Made from Taro Peel (Colocasia esculenta) Starch. Polymers 2023, 15, 338. [Google Scholar] [CrossRef] [PubMed]
- Hazrol, M.D.; Sapuan, S.M.; Zainudin, E.S.; Zuhri, M.Y.M.; Abdul Wahab, N.I. Corn Starch (Zea mays) Biopolymer Plastic Reaction in Combination with Sorbitol and Glycerol. Polymers 2021, 13, 242. [Google Scholar] [CrossRef] [PubMed]
- Mina Hernandez, J.H. Effect of the Incorporation of Polycaprolactone (PCL) on the Retrogradation of Binary Blends with Cassava Thermoplastic Starch (TPS). Polymers 2020, 13, 38. [Google Scholar] [CrossRef] [PubMed]
- Gao, W.; Dong, H.; Hou, H.; Zhang, H. Effects of clays with various hydrophilicities on properties of starch–clay nanocomposites by film blowing. Carbohydr. Polym. 2012, 88, 321–328. [Google Scholar] [CrossRef]
- Zhu, J.; Gao, W.; Wang, B.; Kang, X.; Liu, P.; Cui, B.; Abd El-Aty, A.M. Preparation and evaluation of starch-based extrusion-blown nanocomposite films incorporated with nano-ZnO and nano-SiO(2). Int. J. Biol. Macromol. 2021, 183, 1371–1378. [Google Scholar] [CrossRef]
- López, J.P.; Mutjé, P.; Carvalho, A.J.F.; Curvelo, A.A.S.; Gironès, J. Newspaper fiber-reinforced thermoplastic starch biocomposites obtained by melt processing: Evaluation of the mechanical, thermal and water sorption properties. Ind. Crops Prod. 2013, 44, 300–305. [Google Scholar] [CrossRef]
- Gironès, J.; López, J.P.; Mutjé, P.; Carvalho, A.J.F.; Curvelo, A.A.S.; Vilaseca, F. Natural fiber-reinforced thermoplastic starch composites obtained by melt processing. Compos. Sci. Technol. 2012, 72, 858–863. [Google Scholar] [CrossRef]
- López, O.V.; Castillo, L.A.; García, M.A.; Villar, M.A.; Barbosa, S.E. Food packaging bags based on thermoplastic corn starch reinforced with talc nanoparticles. Food Hydrocoll. 2015, 43, 18–24. [Google Scholar] [CrossRef]
- Olivato, J.B.; Marini, J.; Pollet, E.; Yamashita, F.; Grossmann, M.V.; Averous, L. Elaboration, morphology and properties of starch/polyester nano-biocomposites based on sepiolite clay. Carbohydr. Polym. 2015, 118, 250–256. [Google Scholar] [CrossRef] [PubMed]
- Pan, H.; Ju, D.; Zhao, Y.; Wang, Z.; Yang, H.; Zhang, H.; Dong, L. Mechanical properties, hydrophobic properties and thermal stability of the biodegradable poly(butylene adipate-co-terephthalate)/maleated thermoplastic starch blown films. Fibers Polym. 2016, 17, 1540–1549. [Google Scholar] [CrossRef]
- Ivanič, F.; Kováčová, M.; Chodák, I. The effect of plasticizer selection on properties of blends poly(butylene adipate-co-terephthalate) with thermoplastic starch. Eur. Polym. J. 2019, 116, 99–105. [Google Scholar] [CrossRef]
- Garalde, R.A.; Thipmanee, R.; Jariyasakoolroj, P.; Sane, A. The effects of blend ratio and storage time on thermoplastic starch/poly(butylene adipate-co-terephthalate) films. Heliyon 2019, 5, e01251. [Google Scholar] [CrossRef] [PubMed]
- Mücke, N.; da Silva, T.B.V.; de Oliveira, A.; Moreira, T.F.M.; Venancio, C.D.S.; Marques, L.L.M.; Valderrama, P.; Gonçalves, O.H.; da Silva-Buzanello, R.A.; Yamashita, F.; et al. Use of Water-Soluble Curcumin in TPS/PBAT Packaging Material: Interference on Reactive Extrusion and Oxidative Stability of Chia Oil. Food Bioprocess Technol. 2021, 14, 471–482. [Google Scholar] [CrossRef]
- Leelaphiwat, P.; Pechprankan, C.; Siripho, P.; Bumbudsanpharoke, N.; Harnkarnsujarit, N. Effects of nisin and EDTA on morphology and properties of thermoplastic starch and PBAT biodegradable films for meat packaging. Food Chem. 2022, 369, 130956. [Google Scholar] [CrossRef] [PubMed]
- Tang, H.; Xiong, H.; Tang, S.; Zou, P. A starch-based biodegradable film modified by nano silicon dioxide. J. Appl. Polym. Sci. 2009, 113, 34–40. [Google Scholar] [CrossRef]
- Zhai, X.; Wang, W.; Zhang, H.; Dai, Y.; Dong, H.; Hou, H. Effects of high starch content on the physicochemical properties of starch/PBAT nanocomposite films prepared by extrusion blowing. Carbohydr. Polym. 2020, 239, 116231. [Google Scholar] [CrossRef] [PubMed]
- Chen, M.; Cai, C.; Bao, J.; Du, Y.; Gao, H.; Liu, X. Effect of aliphatic segment length and content on crystallization and biodegradation properties of aliphatic-aromatic co-polyesters. Polym. Degrad. Stab. 2022, 203, 110080. [Google Scholar] [CrossRef]








| Sample Name | HS (phr) | Glycerol (phr) | Nano-Silica (phr) |
|---|---|---|---|
| TPHSg-0SiO2 | 100 | 40 | 0 |
| TPHSg-1SiO2 | 100 | 40 | 1 |
| TPHSg-2SiO2 | 100 | 40 | 2 |
| TPHSg-3SiO2 | 100 | 40 | 3 |
| TPHSg-4SiO2 | 100 | 40 | 4 |
| TPHSg-5SiO2 | 100 | 40 | 5 |
| Sample Name | PBAT (%) | TPHSg-4SiO2 (%) |
|---|---|---|
| 90PBAT/10TPHSg-4SiO2 | 90 | 10 |
| 80PBAT/20TPHSg-4SiO2 | 80 | 20 |
| 70PBAT/30TPHSg-4SiO2 | 70 | 30 |
| 60PBAT/40TPHSg-4SiO2 | 60 | 40 |
| 50PBAT/50TPHSg-4SiO2 | 50 | 50 |
| 40PBAT/60TPHSg-4SiO2 | 40 | 60 |
| Sample Name | Melt Flow Index (g/10 min) | |
|---|---|---|
| 150 °C, 2160 g | 190 °C, 2160 g | |
| PBAT | 2.66 ± 0.03 c | 9.47 ± 0.31 d |
| 90PBAT/10TPHSg-4SiO2 | 2.85 ± 0.04 b | 10.89 ± 0.18 c |
| 80PBAT/20TPHSg-4SiO2 | 3.18 ± 0.08 a | 14.21 ± 0.40 a |
| 70PBAT/30TPHSg-4SiO2 | 2.59 ± 0.03 c | 12.67 ± 0.32 b |
| 60PBAT/40TPHSg-4SiO2 | 2.01 ± 0.05 d | 10.34 ± 0.26 c |
| 50PBAT/50TPHSg-4SiO2 | 1.09 ± 0.04 e | 7.60 ± 0.19 e |
| 40PBAT/60TPHSg-4SiO2 | 0.24 ± 0.02 f | 3.72 ± 0.15 f |
| Sample Name | Tg (°C) | Tc (°C) | Tm (°C) | △Hc (J/g) | △Hm (J/g) | Crystallinity (%) |
|---|---|---|---|---|---|---|
| PBAT | −32.55 | 65.73 | 120.31 | 16.73 | 15.39 | 23.67 |
| 90PBAT/10TPHSg-4SiO2 | −33.49 | 68.37 | 123.67 | 15.61 | 12.31 | 24.54 |
| 80PBAT/20TPHSg-4SiO2 | −33.40 | 70.80 | 122.81 | 13.90 | 11.02 | 24.58 |
| 70PBAT/30TPHSg-4SiO2 | −33.48 | 74.70 | 123.11 | 11.31 | 8.16 | 22.86 |
| 60PBAT/40TPHSg-4SiO2 | −33.07 | 75.78 | 124.18 | 9.56 | 6.91 | 22.54 |
| 50PBAT/50TPHSg-4SiO2 | −33.64 | 75.35 | 122.53 | 6.72 | 5.89 | 19.02 |
| Sample Name | T90% (°C) | T50% (°C) | Residual Rate (%) | Tstart (°C) | Tmax (°C) | ||
|---|---|---|---|---|---|---|---|
| Step 1 | Step 2 | Step 1 | Step 2 | ||||
| PBAT | 370.9 | 398.3 | 4.85 | / | 377.6 | / | 400.7 |
| TPHSg-4SiO2 | 261.7 | 306.5 | 11.35 | 275.4 | / | 304.2 | / |
| 90PBAT-10TPHSg-4SiO2 | 356.2 | 394.3 | 3.19 | 286.4 | 377.3 | 298.0 | 398.2 |
| 80PBAT-20TPHSg-4SiO2 | 302.7 | 392.0 | 3.61 | 285.9 | 376.4 | 295.7 | 396.2 |
| 70PBAT-30TPHSg-4SiO2 | 288.9 | 388.4 | 3.97 | 286.2 | 376.0 | 302.0 | 396.8 |
| 60PBAT-40TPHSg-4SiO2 | 278.9 | 384.4 | 3.88 | 283.4 | 374.9 | 304.7 | 396.5 |
| 50PBAT-50TPHSg-4SiO2 | 206.8 | 377.0 | 5.70 | 279.6 | 375.1 | 314.9 | 394.6 |
Disclaimer/Publisher’s Note: The statements, opinions and data contained in all publications are solely those of the individual author(s) and contributor(s) and not of MDPI and/or the editor(s). MDPI and/or the editor(s) disclaim responsibility for any injury to people or property resulting from any ideas, methods, instructions or products referred to in the content. |
© 2023 by the authors. Licensee MDPI, Basel, Switzerland. This article is an open access article distributed under the terms and conditions of the Creative Commons Attribution (CC BY) license (https://creativecommons.org/licenses/by/4.0/).
Share and Cite
Li, Z.; Li, H.; Wang, M.; Zhang, Z.; Yang, L.; Ma, L.; Liu, H. Preparation and Properties of Poly(butylene adipate-co-terephthalate)/thermoplastic Hydroxypropyl Starch Composite Films Reinforced with Nano-Silica. Polymers 2023, 15, 2026. https://doi.org/10.3390/polym15092026
Li Z, Li H, Wang M, Zhang Z, Yang L, Ma L, Liu H. Preparation and Properties of Poly(butylene adipate-co-terephthalate)/thermoplastic Hydroxypropyl Starch Composite Films Reinforced with Nano-Silica. Polymers. 2023; 15(9):2026. https://doi.org/10.3390/polym15092026
Chicago/Turabian StyleLi, Zehao, Hui Li, Muxi Wang, Zhongyan Zhang, Liting Yang, Lijun Ma, and Hong Liu. 2023. "Preparation and Properties of Poly(butylene adipate-co-terephthalate)/thermoplastic Hydroxypropyl Starch Composite Films Reinforced with Nano-Silica" Polymers 15, no. 9: 2026. https://doi.org/10.3390/polym15092026
APA StyleLi, Z., Li, H., Wang, M., Zhang, Z., Yang, L., Ma, L., & Liu, H. (2023). Preparation and Properties of Poly(butylene adipate-co-terephthalate)/thermoplastic Hydroxypropyl Starch Composite Films Reinforced with Nano-Silica. Polymers, 15(9), 2026. https://doi.org/10.3390/polym15092026

