A Combined Experimental and Computational (DFT, RDF, MC and MD) Investigation of Epoxy Resin as a Potential Corrosion Inhibitor for Mild Steel in a 0.5 M H2SO4 Environment
Abstract
1. Introduction
2. Experimental Part
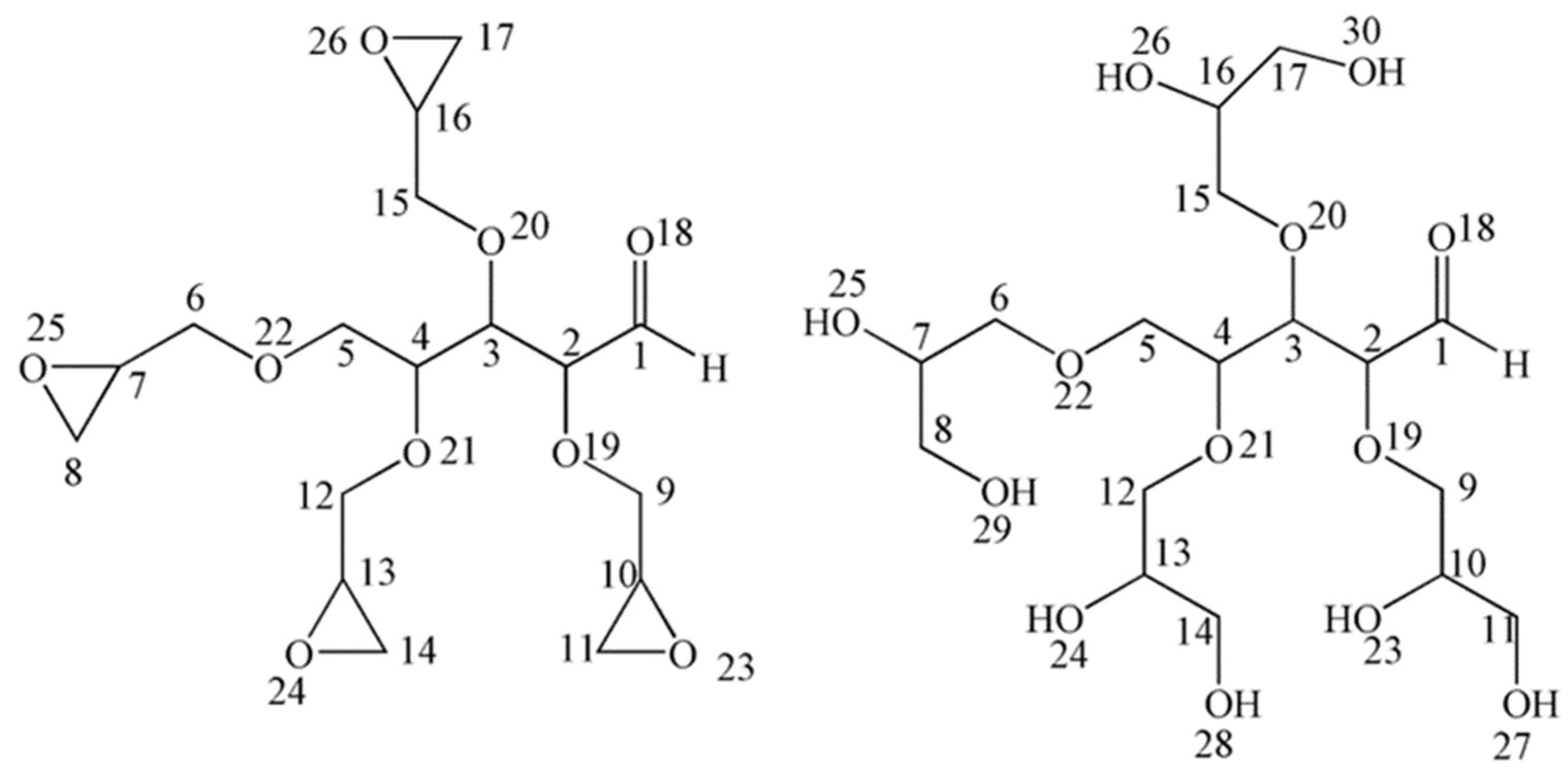
2.1. Inhibitor Used Material and Characterization Techniques
2.2. DFT Details
2.3. Monte Carlo and Molecular Dynamics Computational
3. Results and Discussion Part
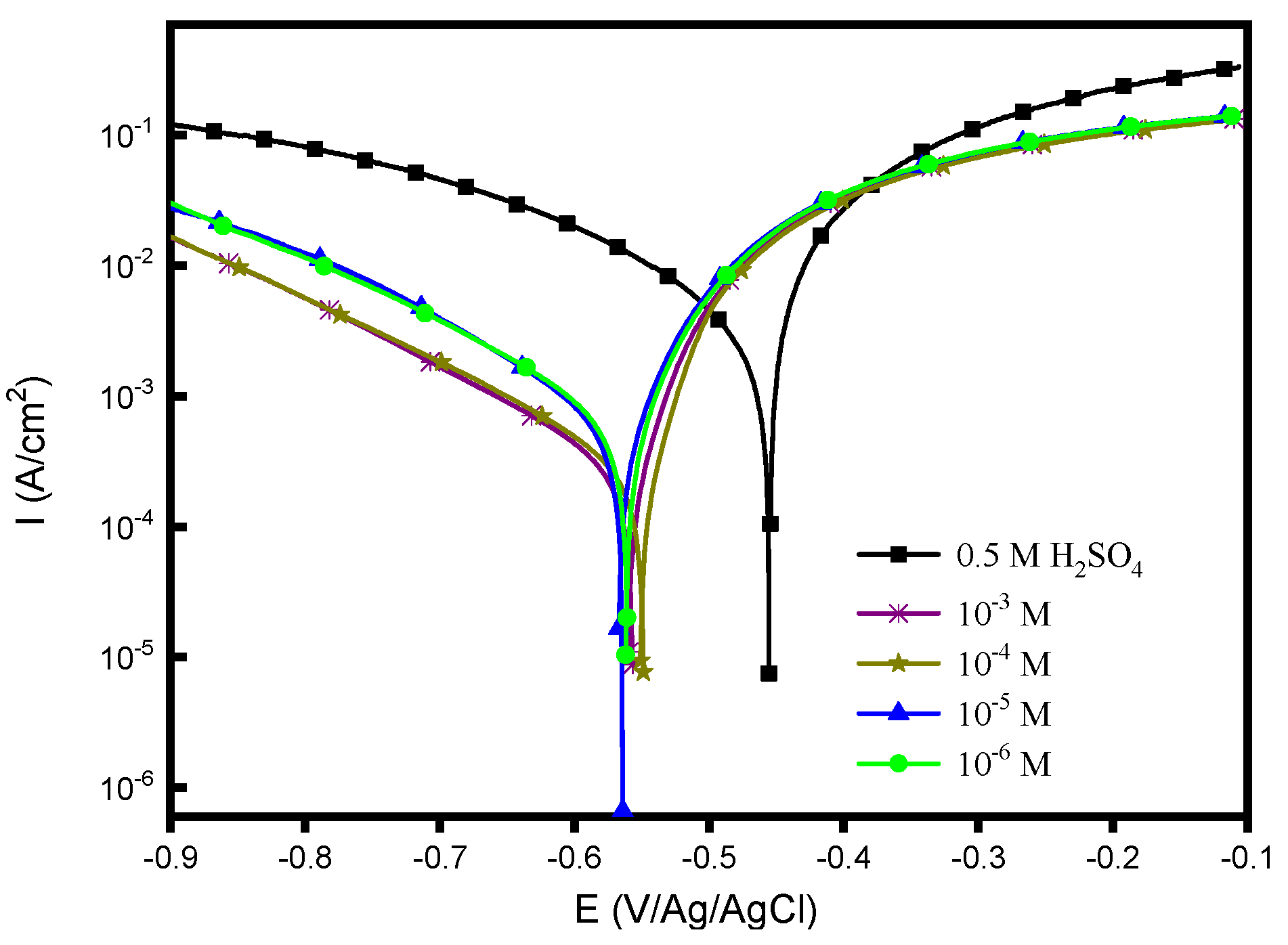
3.1. Electrochemical Investigation
3.2. SEM/EDS Investigation
3.3. Adsorption Study
3.4. Temperature Effect and Kinetics Parameters
3.5. DFT Results
3.6. Monte Carlo and Molecular Dynamic Approaches
4. Conclusions
Supplementary Materials
Author Contributions
Funding
Institutional Review Board Statement
Informed Consent Statement
Data Availability Statement
Acknowledgments
Conflicts of Interest
References
- Lazrak, J.; Ech-chihbi, E.; Salim, R.; Saffaj, T.; Rais, Z.; Taleb, M. Insight into the corrosion inhibition mechanism and adsorption behavior of aldehyde derivatives for mild steel in 1.0M HCl and 0.5M H2SO4. Colloids Surf. A Physicochem. Eng. Asp. 2023, 664, 131148. [Google Scholar] [CrossRef]
- Loto, R.T.; Solomon, M.M. Application of ginger and grapefruit essential oil extracts on the corrosion inhibition of mild steel in dilute 0.5 M H2SO4 electrolyte. Sci. Afr. 2023, 19, e01489. [Google Scholar] [CrossRef]
- Ganjoo, R.; Sharma, S.; Verma, C.; Quraishi, M.A.; Kumar, A. Heteropolysaccharides in sustainable corrosion inhibition: 4E (Energy, Economy, Ecology, and Effectivity) dimensions. Int. J. Biol. Macromol. 2023, 235, 123571. [Google Scholar] [CrossRef] [PubMed]
- Devi, G.N.; Saranya, J.; Manjubaashini, N.; Thangadurai, T.D.; Roopan, S.M.; Chitra, S. Polyamidoaminoepichlorohydrin resin a novel synthetic anti-corrosive water soluble polymer for mild steel. Prog. Org. Coat. 2017, 109, 117–125. [Google Scholar] [CrossRef]
- Tamilselvi, B.; Bhuvaneshwari, D.S.; Padmavathy, S.; Raja, P.B. Corrosion inhibition of Pichia sp. biofilm against mild steel corrosion in 1 M H2SO4. J. Mol. Liq. 2022, 359, 119359. [Google Scholar] [CrossRef]
- Hsissou, R.; Lachhab, R.; El Magri, A.; Echihi, S.; Vanaei, H.R.; Galai, M.; Ebn Touhami, M.; Rafik, M. Synthesis Characterization and Highly Protective Efficiency of Tetraglycidyloxy Pentanal Epoxy Prepolymer as a Potential Corrosion Inhibitor for Mild Steel in 1 M HCl Medium. Polymers 2022, 14, 3100. [Google Scholar] [CrossRef]
- Hsissou, R.; Benassaoui, H.; Benhiba, F.; Hajjaji, N.; El Harfi, A. Application of a new trifunctional epoxy prepolymer, triglycidyl ethylene ether of bisphenol A, in the coating of E24 steel in 3.5% NaCl. J. Chem. Technol. Metall. 2017, 52, 431–438. [Google Scholar]
- Hsissou, R.; Benhiba, F.; El Aboubi, M.; Abbout, S.; Benzekri, Z.; Safi, Z.; Rafik, M.; Bahaj, H.; Kaba, M.; Galai, M.; et al. Synthesis and performance of two ecofriendly epoxy resins as a highly efficient corrosion inhibition for carbon steel in 1 M HCl solution: DFT, RDF, FFV and MD approaches. Chem. Phys. Lett. 2022, 806, 139995. [Google Scholar] [CrossRef]
- Dohare, P.; Quraishi, M.; Obot, I. A combined electrochemical and theoretical study of pyridine-based Schiff bases as novel corrosion inhibitors for mild steel in hydrochloric acid medium. J. Chem. Sci. 2018, 130, 8. [Google Scholar] [CrossRef]
- Rbaa, M.; Galai, M.; Ouakki, M.; Hsissou, R.; Berisha, A.; Kaya, S.; Berdimurodov, E.; Lakhrissi, B.; Zarrouk, A. Synthesis of new halogenated compounds based on 8-hydroxyquinoline derivatives for the inhibition of acid corrosion: Theoretical and experimental investigations. Mater. Today Commun. 2022, 33, 104654. [Google Scholar] [CrossRef]
- Hsissou, R.; Azogagh, M.; Benhiba, F.; Echihi, S.; Galai, M.; Shaim, A.; Bahaj, H.; Briche, S.; Kaya, S.; Serdaroğlu, G.; et al. Insight of development of two cured epoxy polymer composite coatings as highly protective efficiency for carbon steel in sodium chloride solution: DFT, RDF, FFV and MD approaches. J. Mol. Liq. 2022, 360, 119406. [Google Scholar] [CrossRef]
- Guo, L.; Safi, Z.S.; Kaya, S.; Shi, W.; Tüzün, B.; Altunay, N.; Kaya, C. Anticorrosive effects of some thiophene derivatives against the corrosion of iron: A computational study. Front. Chem. 2018, 6, 155. [Google Scholar] [CrossRef]
- Molhi, A.; Hsissou, R.; Damej, M.; Berisha, A.; Thaçi, V.; Belafhaili, A.; Benmessaoud, M.; Labjar, N.; El Hajjaji, S. Contribution to the corrosion inhibition of C38 steel in 1 M hydrochloric acid medium by a new epoxy resin PGEPPP. Int. J. Corros. Scale Inhib. 2021, 10, 399–418. [Google Scholar]
- Hsissou, R.; Dagdag, O.; Berradi, M.; El Bouchti, M.; Assouag, M.; El Bachiri, A.; Elharfi, A. Investigation of structure and rheological behavior of a new epoxy polymer pentaglycidyl ether pentabisphenol A of phosphorus and of its composite with natural phosphate. SN Appl. Sci. 2019, 1, 869. [Google Scholar] [CrossRef]
- Becke, A.D. A new mixing of Hartree–Fock and local density-functional theories. J. Chem. Phys. 1993, 98, 1372–1377. [Google Scholar] [CrossRef]
- Tomasi, J.; Mennucci, B.; Cammi, R. Quantum mechanical continuum solvation models. Chem. Rev. 2005, 105, 2999–3094. [Google Scholar] [CrossRef]
- Frisch, M.; Trucks, G.; Schlegel, H.; Scuseria, G.; Robb, M.; Cheeseman, J.; Scalmani, G.; Barone, V.; Mennucci, B.; Petersson, G. Gaussian 09, revision A. 02, Gaussian, Inc., Wallingford. Phys. Rev. B Condens. Matter Mater. Phys. 1988, 37, 785. [Google Scholar]
- About, S.; Hsissou, R.; Erramli, H.; Chabebe, D.; Salim, R.; Kaya, S.; Hajjaji, N. Gravimetric, electrochemical and theoretical study, and surface analysis of novel epoxy resin as corrosion inhibitor of carbon steel in 0.5 M H2SO4 solution. J. Mol. Struct. 2021, 1245, 131014. [Google Scholar] [CrossRef]
- Özlem, U.; Gümüş, M.; Yusuf, S.; İrfan, K.; Atıf, K. Utilization of pyrazole-perimidine hybrids bearing different substituents as corrosion inhibitors for 304 stainless steel in acidic media. J. Mol. Struct. 2022, 1262, 133025. [Google Scholar]
- Bondarev, N.V.; Katin, K.P.; Merinov, V.B.; Kochaev, A.I.; Kaya, S.; Maslov, M.M. Probing of Neural Networks as a Bridge from Ab Initio Relevant Characteristics to Differential Scanning Calorimetry Measurements of High-Energy Compounds. Phys. Status Solidi (RRL)–Rapid Res. Lett. 2022, 16, 2100191. [Google Scholar] [CrossRef]
- Safi, Z.S.; Wazzan, N.; Aqel, H. Calculation of vertical and adiabatic ionization potentials for some benzaldehydes using hybrid DFT, multilevel G3B3 and MP2 methods. Chem. Phys. Lett. 2022, 791, 139349. [Google Scholar] [CrossRef]
- Molhi, A.; Hsissou, R.; Damej, M.; Berisha, A.; Bamaarouf, M.; Seydou, M.; Benmessaoud, M.; El Hajjaji, S. Performance of two epoxy compounds against corrosion of C38 steel in 1 M HCl: Electrochemical, thermodynamic and theoretical assessment. Int. J. Corros. Scale Inhib. 2021, 10, 812–837. [Google Scholar]
- Gómez, B.; Likhanova, N.V.; Domínguez-Aguilar, M.A.; Martínez-Palou, R.; Vela, A.; Gázquez, J.L. Quantum chemical study of the inhibitive properties of 2-pyridyl-azoles. J. Phys. Chem. B 2006, 110, 8928–8934. [Google Scholar] [CrossRef] [PubMed]
- Chandra, A.; Nguyen, M. Fukui Function and Local Softness; Taylor and Francis: New York, NY, USA, 2008; pp. 163–178. [Google Scholar]
- Erazua, E.; Adeleke, B. A Computational Study of Quinoline Derivatives as Corrosion Inhibitors for Mild Steel in Acidic Medium. J. Appl. Sci. Environ. Manag. 2019, 23, 1819–1824. [Google Scholar] [CrossRef]
- Mehmeti, V.V.; Berisha, A.R. Corrosion study of mild steel in aqueous sulfuric acid solution using 4-methyl-4H-1, 2, 4-Triazole-3-Thiol and 2-mercaptonicotinic acid—An experimental and theoretical study. Front. Chem. 2017, 5, 61. [Google Scholar] [CrossRef]
- Grimme, S. Semiempirical GGA-type density functional constructed with a long-range dispersion correction. J. Comput. Chem. 2006, 27, 1787–1799. [Google Scholar] [CrossRef]
- Ouass, A.; Galai, M.; Ouakki, M.; Ech-Chihbi, E.; Kadiri, L.; Hsissou, R.; Essaadaoui, Y.; Berisha, A.; Cherkaoui, M.; Lebkiri, A. Poly (sodium acrylate) and Poly (acrylic acid sodium) as an eco-friendly corrosion inhibitor of mild steel in normal hydrochloric acid: Experimental, spectroscopic and theoretical approach. J. Appl. Electrochem. 2021, 51, 1009–1032. [Google Scholar] [CrossRef]
- Akkermans, R.L.; Spenley, N.A.; Robertson, S.H. COMPASS III: Automated fitting workflows and extension to ionic liquids. Mol. Simul. 2021, 47, 540–551. [Google Scholar] [CrossRef]
- Rahimi, A.; Farhadian, A.; Berisha, A.; Shaabani, A.; Varfolomeev, M.A.; Mehmeti, V.; Zhong, X.; Yousefzadeh, S.; Djimasbe, R. Novel sucrose derivative as a thermally stable inhibitor for mild steel corrosion in 15% HCl medium: An experimental and computational study. Chem. Eng. J. 2022, 446, 136938. [Google Scholar] [CrossRef]
- El-Aouni, N.; Hsissou, R.; Safi, Z.; Abbout, S.; Benhiba, F.; El Azzaoui, J.; Haldhar, R.; Wazzan, N.; Guo, L.; Erramli, H. Performance of two new epoxy resins as potential corrosion inhibitors for carbon steel in 1MHCl medium: Combining experimental and computational approaches. Colloids Surf. A Physicochem. Eng. Asp. 2021, 626, 127066. [Google Scholar] [CrossRef]
- Echihi, S.; Hsissou, R.; Benzbiria, N.; Afrokh, M.; Boudalia, M.; Bellaouchou, A.; Guenbour, A.; Azzi, M.; Tabyaoui, M. Performance of methanolic extract of artemisia herba alba as a potential green inhibitor on corrosion behavior of mild steel in hydrochloric acid solution. Biointerface Res. Appl. Chem 2021, 11, 14751–14763. [Google Scholar]
- Damej, M.; Hsissou, R.; Berisha, A.; Azgaou, K.; Sadiku, M.; Benmessaoud, M.; Labjar, N. New epoxy resin as a corrosion inhibitor for the protection of carbon steel C38 in 1M HCl. experimental and theoretical studies (DFT, MC, and MD). J. Mol. Struct. 2022, 1254, 132425. [Google Scholar] [CrossRef]
- Hsissou, R.; Benzidia, B.; Hajjaji, N.; Elharfi, A. Elaboration and electrochemical studies of the coating behavior of a new pentafunctional epoxy polymer: Pentaglycidyl ether pentabisphenol A phosphorus on E24 carbon Steel in 3.5% NaCl. J. Chem. Technol. Metall. 2018, 53, 898–905. [Google Scholar]
- Abd-El-Nabey, B.; Abdel-Gaber, A.; Elewady, G.; Sadeek, M.; Abd-El-Rhman, H. Inhibitive action of benzaldehyde thiosemicarbazones on the corrosion of mild steel in 3 M H3PO4. Int. J. Electrochem. Sci. 2012, 7, 11718–11733. [Google Scholar]
- Benhiba, F.; Sebbar, N.; Bourazmi, H.; Belghiti, M.; Hsissou, R.; Hökelek, T.; Bellaouchou, A.; Guenbour, A.; Warad, I.; Oudda, H. Corrosion inhibition performance of 4-(prop-2-ynyl)-[1, 4]-benzothiazin-3-one against mild steel in 1 M HCl solution: Experimental and theoretical studies. Int. J. Hydrog. Energy 2021, 46, 25800–25818. [Google Scholar] [CrossRef]
- Abboud, Y.; Abourriche, A.; Saffaj, T.; Berrada, M.; Charrouf, M.; Bennamara, A.; Al Himidi, N.; Hannache, H. 2, 3-Quinoxalinedione as a novel corrosion inhibitor for mild steel in 1 M HCl. Mater. Chem. Phys. 2007, 105, 1–5. [Google Scholar] [CrossRef]
- Kadiri, L.; Ouass, A.; Hsissou, R.; Safi, Z.; Wazzan, N.; Essaadaoui, Y.; Lebkiri, I.; El Khattabi, O.; Lebkiri, A. Adsorption properties of coriander seeds: Spectroscopic kinetic thermodynamic and computational approaches. J. Mol. Liq. 2021, 343, 116971. [Google Scholar] [CrossRef]
- Lukovits, I.; Kalman, E.; Zucchi, F. Corrosion inhibitors—Correlation between electronic structure and efficiency. Corrosion 2001, 57, 3–8. [Google Scholar] [CrossRef]
- Benhiba, F.; Hsissou, R.; Benzikri, Z.; Echihi, S.; El Blilk, J.; Boukhris, S.; Bellaouchou, A.; Guenbour, A.; Oudda, H.; Warad, I.; et al. DFT/electronic scale, MD simulation and evaluation of 6-methyl-2-(p-tolyl)-1,4-dihydroquinoxaline as a potential corrosion inhibition. J. Mol. Liq. 2021, 335, 116539. [Google Scholar] [CrossRef]
- Guo, L.; Zhang, S.; Li, W.; Hu, G.; Li, X. Experimental and computational studies of two antibacterial drugs as corrosion inhibitors for mild steel in acid media. Mater. Corros. 2014, 65, 935–942. [Google Scholar] [CrossRef]
- Berisha, A.; Podvorica, F.; Mehmeti, V.; Syla, F.; Vataj, D. Theoretical and experimental studies of the corrosion behavior of some thiazole derivatives toward mild steel in sulfuric acid media. Maced. J. Chem. Chem. Eng. 2015, 34, 287–294. [Google Scholar] [CrossRef]
- Yu, L.; Zhang, J.; Qiao, G.; Yan, Y.; Ti, Y.; Zhang, Y. Effect of alkyl chain length on inhibition performance of imidazoline derivatives investigated by molecular dynamics simulation. Mater. Corros. 2013, 64, 225–230. [Google Scholar] [CrossRef]













| Conc. (M) | −Ecorr (mV/Ag/AgCl) | icorr (µA cm−2) | −βc (mV dec−1) | βa (mV dec−1) | ƞPDP (%) | |
|---|---|---|---|---|---|---|
| Uninhibited | 0.5 | 451 | 1850 | 99 | 121 | - |
| Inhibited with TGP | 10−6 | 560 | 472 | 147 | 90 | 74.4 |
| 10−5 | 563 | 469 | 146 | 86 | 74.6 | |
| 10−4 | 548 | 222 | 155 | 79 | 88.0 | |
| 10−3 | 556 | 211 | 148 | 71 | 88.6 |
| Conc. (M) | Re (Ω cm2) | Rct (Ω cm2) | RL (Ω cm2) | L (H) | Q (µF sn−1) | ndl | θ | ƞEIS (%) | |
|---|---|---|---|---|---|---|---|---|---|
| Uninhibited | 0.5 | 1.6 | 11.7 | 2.17 | 0.48 | 430 | 0.830 | - | - |
| Inhibited with TGP | 10−6 | 2.2 | 39.0 | 6.45 | 0.60 | 195 | 0.811 | 0.70 | 70.0 |
| 10−5 | 2.1 | 40.97 | 7.53 | 0.71 | 175 | 0.828 | 0.714 | 71.4 | |
| 10−4 | 2.2 | 78.27 | 17.79 | 2.55 | 148 | 0.762 | 0.850 | 85.0 | |
| 10−3 | 2.1 | 81.37 | 22.35 | 3.47 | 140 | 0.794 | 0.856 | 85.6 |
| Each Point | C (%) | O (%) | S (%) | Cl (%) | Fe (%) | |
|---|---|---|---|---|---|---|
| 0.5 M H2SO4 | Spc_001 | 3.47 | 22.92 | 3.43 | 0.24 | 69.93 |
| Spc_002 | 4.47 | 34.05 | 7.71 | 0.21 | 53.56 | |
| Spc_003 | 3.66 | 22.62 | 5.89 | 0.24 | 67.60 | |
| 10−3 M of TGP | Spc_001 | 5.11 | 24.63 | 5.82 | 0.30 | 64.14 |
| Spc_002 | 5.59 | 17.66 | 2.28 | 0.39 | 74.07 | |
| Spc_003 | 5.04 | 9.51 | 0.97 | 0.22 | 84.26 |
| Kads (L/mol) | R² | ΔGads (KJ/mol) | |
|---|---|---|---|
| TGP | 1,265,760.29 | 1 | −44.74 |
| T K | −Ecorr mVAg/AgCl | icorr µA cm−2 | −βc mV dec−1 | Ea kJ mol−1 | ΔHa kJ mol−1 | −ΔSa J mol−1 K−1 | |
|---|---|---|---|---|---|---|---|
| MS substrates/0.5 M H2SO4 | |||||||
| 298 | 451 | 1850 | 99 | - | 15 | 12.5 | 140.5 |
| 308 | 453 | 2250 | 92 | - | |||
| 318 | 449 | 2480 | 96 | - | |||
| 328 | 442 | 3340 | 102 | - | |||
| TGP/MS substrates/0.5 M H2SO4 | |||||||
| 298 | 556 | 211 | 148 | 88.6 | 28.32 | 25.8 | 113.6 |
| 308 | 540 | 325 | 137 | 85.5 | |||
| 318 | 549 | 435 | 132 | 82.4 | |||
| 328 | 545 | 614 | 152 | 81.6 | |||
| Neutral | Protonated | |
|---|---|---|
| Total energy, E(N) (Hartree) | −1340.3180 | −1646.2206 |
| Dipole moment, μ, (Dybe) | 6.4 | 13.6 |
| EHOMO (eV) | −7.012 | −6.994 |
| ELUMO (eV) | −1.517 | −1.461 |
| ΔEgap (eV) | 5.495 | 5.533 |
| Iv (eV) | 6.949 | 6.934 |
| Av (eV) | 1.517 | 1.465 |
| χ (eV) | 4.233 | 4.200 |
| η (eV) | 2.716 | 2.735 |
| S (eV−1) | 0.368 | 0.366 |
| ω (eV) | 3.299 | 3.225 |
| ΔN | 0.108 | 0.113 |
| ΔEb−d (eV) | −0.679 | −0.684 |
| ΔE1 (eV) | 6.386 | 6.441 |
| ΔE2 (eV) | 6.861 | 6.843 |
| Atoms | Δs | ||||||||
|---|---|---|---|---|---|---|---|---|---|
| C1 | 0.042 | 0.027 | 0.015 | 0.411 | 0.263 | 0.149 | 3.674 | 2.347 | 1.327 |
| C10 | 0.296 | 0.049 | 0.247 | 2.908 | 0.479 | 2.429 | 25.983 | 4.281 | 21.703 |
| O11 | 0.249 | 0.100 | 0.149 | 2.444 | 0.979 | 1.466 | 21.843 | 8.746 | 13.097 |
| O13 | 0.039 | 0.052 | −0.013 | 0.383 | 0.512 | −0.130 | 3.419 | 4.580 | −1.160 |
| O14 | 0.004 | 0.083 | −0.080 | 0.034 | 0.816 | −0.782 | 0.308 | 7.296 | −6.988 |
| O21 | 0.004 | 0.067 | −0.063 | 0.041 | 0.656 | −0.615 | 0.369 | 5.863 | −5.494 |
| O25 | 0.002 | 0.041 | −0.039 | 0.024 | 0.405 | −0.382 | 0.211 | 3.621 | −3.411 |
Disclaimer/Publisher’s Note: The statements, opinions and data contained in all publications are solely those of the individual author(s) and contributor(s) and not of MDPI and/or the editor(s). MDPI and/or the editor(s) disclaim responsibility for any injury to people or property resulting from any ideas, methods, instructions or products referred to in the content. |
© 2023 by the authors. Licensee MDPI, Basel, Switzerland. This article is an open access article distributed under the terms and conditions of the Creative Commons Attribution (CC BY) license (https://creativecommons.org/licenses/by/4.0/).
Share and Cite
Hsissou, R.; Dahmani, K.; El Magri, A.; Hmada, A.; Safi, Z.; Dkhireche, N.; Galai, M.; Wazzan, N.; Berisha, A. A Combined Experimental and Computational (DFT, RDF, MC and MD) Investigation of Epoxy Resin as a Potential Corrosion Inhibitor for Mild Steel in a 0.5 M H2SO4 Environment. Polymers 2023, 15, 1967. https://doi.org/10.3390/polym15081967
Hsissou R, Dahmani K, El Magri A, Hmada A, Safi Z, Dkhireche N, Galai M, Wazzan N, Berisha A. A Combined Experimental and Computational (DFT, RDF, MC and MD) Investigation of Epoxy Resin as a Potential Corrosion Inhibitor for Mild Steel in a 0.5 M H2SO4 Environment. Polymers. 2023; 15(8):1967. https://doi.org/10.3390/polym15081967
Chicago/Turabian StyleHsissou, Rachid, Khadija Dahmani, Anouar El Magri, Abdelfettah Hmada, Zaki Safi, Nadia Dkhireche, Mouhsine Galai, Nuha Wazzan, and Avni Berisha. 2023. "A Combined Experimental and Computational (DFT, RDF, MC and MD) Investigation of Epoxy Resin as a Potential Corrosion Inhibitor for Mild Steel in a 0.5 M H2SO4 Environment" Polymers 15, no. 8: 1967. https://doi.org/10.3390/polym15081967
APA StyleHsissou, R., Dahmani, K., El Magri, A., Hmada, A., Safi, Z., Dkhireche, N., Galai, M., Wazzan, N., & Berisha, A. (2023). A Combined Experimental and Computational (DFT, RDF, MC and MD) Investigation of Epoxy Resin as a Potential Corrosion Inhibitor for Mild Steel in a 0.5 M H2SO4 Environment. Polymers, 15(8), 1967. https://doi.org/10.3390/polym15081967

