Preparation of Antibacterial Nanosilver Solution Microcapsules and Their Impact on the Performance of Andoung Wood Surface Coating
Abstract
1. Introduction
2. Materials and Methods
2.1. Test Materials
2.2. Experimental Method
2.2.1. Preparation of UF @ Nanosilver Solution Microcapsules
2.2.2. Preparation of Antibacterial Coating Film
2.3. Testing and Characterization
2.3.1. Characterization of Microcapsules
2.3.2. Performance Characterization of Antibacterial Coating Film
2.3.3. Characterization of Antibacterial Property of Paint Film
3. Results and Discussion
3.1. Analysis of Orthogonal Experimental Results of UF @ Nanosilver Solution Microcapsules
3.1.1. Analysis of the Output and Coverage Rate of Microcapsules
3.1.2. Micromorphology Analysis of Microcapsules
3.2. Effect of Emulsifier HLB Value on Coating Film Properties
3.2.1. Effect of the Emulsifier’s HLB Value on the Coating Film’s Optical Characteristics
3.2.2. Effect of Emulsifier HLB Value on Paint Film’s Mechanical Qualities
3.3. Influence of the Emulsifier’s HLB Value on the Coated Film’s Antibacterial Properties
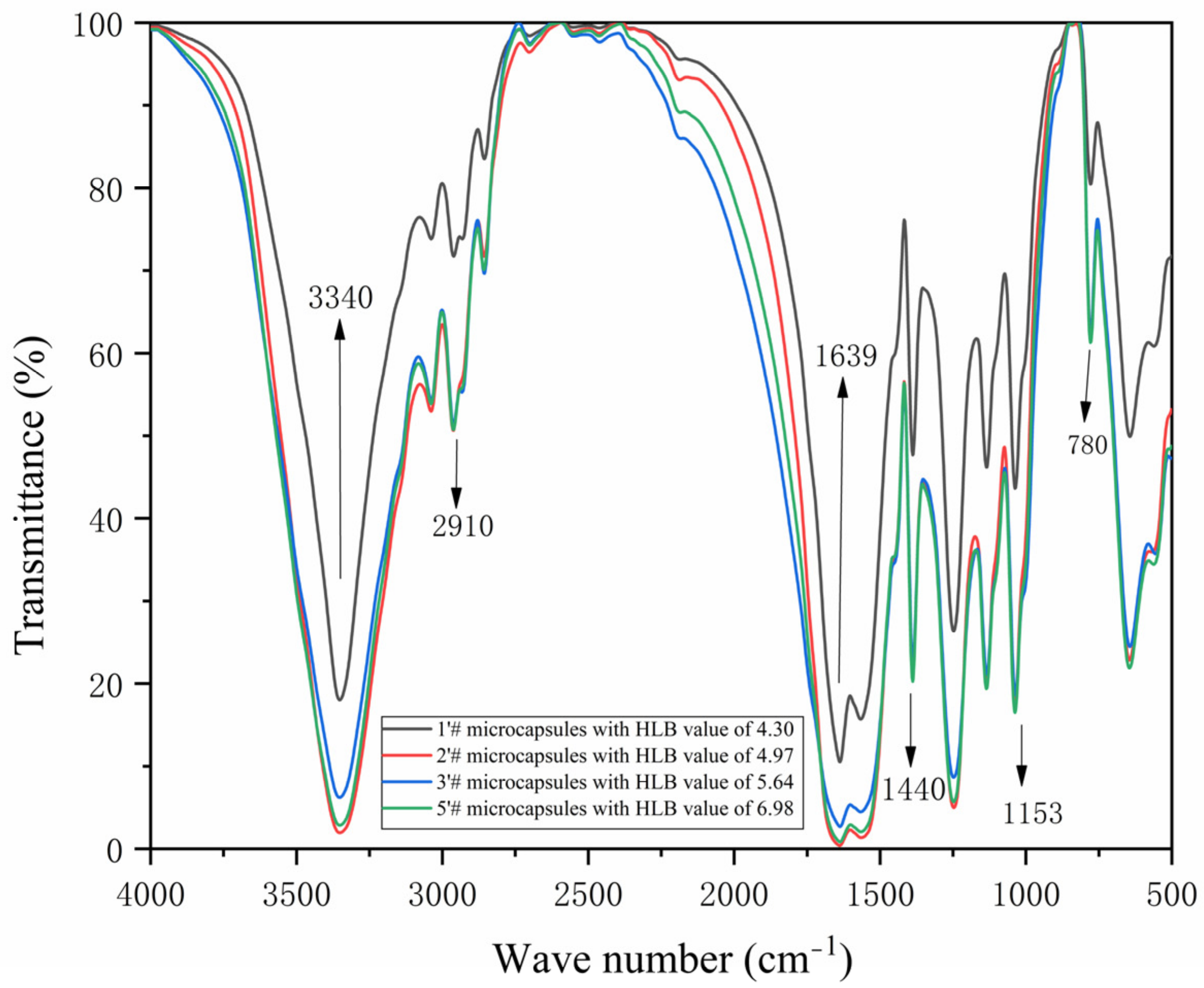
3.4. Analysis of the Micromorphology and Chemical Composition of Antibacterial Microcapsules with Varying Emulsifier HLB Values
3.5. Analysis of the Coating’s Micromorphology and Chemical Composition before and after Antibiosis
4. Conclusions
Author Contributions
Funding
Institutional Review Board Statement
Data Availability Statement
Conflicts of Interest
References
- Siedenbiedel, F.; Tiller, J.C. Antimicrobial Polymers in Solution and on Surfaces: Overview and Functional Principles. Polymers 2012, 4, 46–71. [Google Scholar] [CrossRef]
- Zheng, S.; Bawazir, M.; Dhall, A.; Kim, H.E.; He, L.; Heo, J.; Hwang, G. Implication of Surface Properties, Bacterial Motility, and Hydrodynamic Conditions on Bacterial Surface Sensing and Their Initial Adhesion. Front. Bioeng. Biotechnol. 2021, 9, 643722. [Google Scholar] [CrossRef] [PubMed]
- Makvandi, P.; Wang, C.Y.; Zare, E.N.; Borzacchiello, A.; Niu, L.N.; Tay, F.R. Metal-Based Nanomaterials in Biomedical Applications: Antimicrobial Activity and Cytotoxicity Aspects. Adv. Funct. Mater. 2020, 30, 1910021. [Google Scholar] [CrossRef]
- Chen, C.J.; Kuang, Y.D.; Zhu, S.Z.; Burgert, I.; Keplinger, T.; Gong, A.; Li, T.; Berglund, L.; Eichhorn, S.J.; Hu, L.B. Structure-property-function relationships of natural and engineered wood. Nat. Rev. Mater. 2020, 5, 642–666. [Google Scholar] [CrossRef]
- Ali, M.R.; Abdullah, U.H.; Ashaari, Z.; Hamid, N.H.; Hua, L.S. Hydrothermal Modification of Wood: A Review. Polymers 2021, 13, 2612. [Google Scholar] [CrossRef] [PubMed]
- Yves, K.G.; Chen, T.J.; Aladejana, J.T.; Wu, Z.Z.; Xie, Y.Q. Preparation, Test, and Analysis of a Novel Aluminosilicate-Based Antimildew Agent Applied on the Microporous Structure of Wood. ACS Omega 2020, 5, 8784–8793. [Google Scholar] [CrossRef]
- Fu, Y.; Yang, L.; Zhang, J.H.; Hu, J.F.; Duan, G.G.; Liu, X.H.; Li, Y.W.; Gu, Z.P. Polydopamine antibacterial materials. Int. J. Mol. Sci. 2014, 8, 1618–1633. [Google Scholar] [CrossRef]
- You, K.X.; Gao, B.; Wang, M.Y.; Wang, X.Y.; Okoro, K.C.; Rakhimbekzoda, A.; Feng, Y.K. Versatile polymer-based strategies for antibacterial drug delivery systems and antibacterial coatings. J. Mater. Chem. B 2022, 10, 1005–1018. [Google Scholar] [CrossRef]
- Song, L.; Xiao, Y.F.; Gan, L.; Wu, Y.; Wu, F.; Gu, Z.W. The effect of antibacterial ingredients and coating microstructure on the antibacterial properties of plasma sprayed hydroxyapatite coatings. Surf. Coat. Tech. 2012, 206, 2986–2990. [Google Scholar]
- Zhao, Z.P.; Meng, F.C.; Tang, J.R.; Liu, H.S.; Liu, H.Y.; Yang, L.N.; Wang, J.N.; Xiong, T.Y. A novel method of fabricating an antibacterial aluminum-matrix composite coating doped graphene/silver-nanoparticles. Mater. Lett. 2019, 245, 211–214. [Google Scholar] [CrossRef]
- Cheng, Q.L.; Guo, X.W.; Hao, X.J.; Shi, Z.S.; Zhu, S.; Cui, Z.C. Fabrication of Robust Antibacterial Coatings Based on an Organic-Inorganic Hybrid System. ACS Appl. Mater. 2019, 11, 42607–42615. [Google Scholar] [CrossRef] [PubMed]
- Wahab, M.A.; Li, L.M.; Matin, M.A.; Karim, M.R.; Aijaz, M.O.; Alharbi, H.F.; Abdala, A.; Haque, R. Silver Micro-Nanoparticle-Based Nanoarchitectures: Synthesis Routes, Biomedical Applications, and Mechanisms of Action. Polymers 2021, 13, 2870. [Google Scholar] [CrossRef] [PubMed]
- Tang, S.H.; Zheng, J. Antibacterial Activity of Silver Nanoparticles: Structural Effects. Adv. Healthc. Mater. 2018, 7, 1701503. [Google Scholar] [CrossRef] [PubMed]
- Ciriminna, R.; Albo, Y.; Pagliaro, M. New Antivirals and Antibacterials Based on Silver Nanoparticles. ChemMedChem 2020, 15, 1619–1623. [Google Scholar] [CrossRef]
- Hamad, A.; Khashan, K.S.; Hadi, A. Silver Nanoparticles and Silver Ions as Potential Antibacterial Agents. J. Inorg. Organomet. Polym. Mater. 2020, 30, 4811–4828. [Google Scholar] [CrossRef]
- Ge, Z.Y.; Li, P.; Li, B.J.; Zhao, Y.B. Fabrication of HAP/Ag/SSD ternary nanocomposite and its antibacterial properties. J. Solgel Sci. Technol. 2021, 97, 138–145. [Google Scholar] [CrossRef]
- Kiriyama, T.; Kuroki, K.; Sasaki, K.; Tomino, M.; Asakura, M.; Kominami, Y.; Takahashi, Y.; Kawai, T. Antibacterial properties of a self-cured acrylic resin composed of a polymer coated with a silver-containing organic composite antibacterial agent. Dent. Mater. J. 2013, 32, 679–687. [Google Scholar] [CrossRef]
- Nguyen, T.V. The role of rutile TiO2 nanoparticles on weathering resistance of photocurable acrylate urethane coating. Vietnam J. Chem. 2020, 58, 314–320. [Google Scholar]
- Nguyen, T.P.P.; Ngo, V.K.T.; Phuong, P.H. Fabrication of antibacterial water filter by coating silver nanoparticles on flexible polyurethane foams. J. Phys. Conf. Ser. 2009, 187, 012079. [Google Scholar] [CrossRef]
- Maryan, A.S.; Gorji, M. Synthesize of nano silver using cellulose or glucose as a reduction agent: The study of their antibacterial activity on polyurethan fibers. Bulg. Chem. Commun. 2016, 48, 151–155. [Google Scholar]
- Tran, C.D.; Nguyen, M.D.; Le, T.T.; Nguyen, H.T.P.; Nguyen, T.T.A.; Le, T.T.H.; Nguyen, G.H.; Lac, D.H.; Doan, T.Y.O.; Hoang, M.N.; et al. Synthesis of graphene oxide-based silver cotton fabric application for antibacterial activity. Vietnam J. Chem. 2020, 58, 844–850. [Google Scholar]
- Dat, N.M.; Tai, L.T.; Khang, P.T.; Anh, T.N.M.; Nguyet, D.M.; Quan, T.H.; Thinh, D.B.; Thien, D.T.; Nam, H.M.; Phong, M.T. Synthesis, characterization, and antibacterial activity investigation of silver nanoparticle-decorated graphene oxide. Mater. Lett. 2021, 285, 128993. [Google Scholar]
- Doan, B.T.; Nguyen, M.D.; Nguyen, N.K.T.; Le, T.T.; Nguyen, D.H.; Ninh, T.T.; Le Minh, H.; Tran, D.D.; Quach, T.T.H.; Nguyen, T.H.N.; et al. A review of silver-dopped graphene oxide nanocomposite: Synthesis and multifunctional applications. Vietnam J. Chem. 2022, 60, 553–570. [Google Scholar]
- Minchenkov, K.; Vedernikov, A.; Safonov, A.; Akhatov, I. Thermoplastic Pultrusion: A Review. Polymers 2021, 13, 180. [Google Scholar] [CrossRef]
- Anuj, S.A.; Gajera, H.P.; Hirpara, D.G.; Golakiya, B.A. Bacterial membrane destabilization with cationic particles of nano-silver to combat efflux-mediated antibiotic resistance in Gram-negative bacteria. Life Sci. 2019, 230, 178–187. [Google Scholar] [CrossRef] [PubMed]
- Wei, T.; Yu, Q.; Chen, H. Responsive and Synergistic Antibacterial Coatings: Fighting against Bacteria in a Smart and Effective Way. Adv. Healthc. Mater. 2019, 8, 1801381. [Google Scholar] [CrossRef] [PubMed]
- Yang, L.C.; Wu, Y.; Yang, F.; Wang, W.H. The Effect of Antibacterial and Waterproof Coating Prepared From Hexadecyltrimethoxysilane and Nano-Titanium Dioxide on Wood Properties. Front. Mater. 2021, 8, 699579. [Google Scholar] [CrossRef]
- Li, J.; Ji, X.P.; Fang, X.Z.; Hu, Y.L.; Hua, W.L.; Zhang, Z.M.; Shao, D.Y. Self-healing performance and prediction model of microcapsule asphalt. Constr. Build. Mater. 2022, 330, 127085. [Google Scholar] [CrossRef]
- Zhang, X.; Wang, P.F.; Sun, D.W.; Li, X.; An, J.L.; Yu, T.X.; Yang, E.H.; Yang, J.L. Dynamic plastic deformation and failure mechanisms of individual microcapsule and its polymeric composites. J. Mech. Phys. Solids 2020, 139, 103933. [Google Scholar] [CrossRef]
- Barbaz-Isfahani, R.; Saber-Samandari, S.; Salehi, M. Novel electrosprayed enhanced microcapsules with different nanoparticles containing healing agents in a single multicore microcapsule. Int. J. Biol. Macromol. 2022, 200, 532–542. [Google Scholar] [CrossRef]
- Ma, C.C.; Wang, W.; Kong, D.B.; Li, W.; Chen, S.G. A novel all-organic microcapsule with excellent long-term antibacterial and anti-corrosion performances. J. Colloid Interface Sci. 2022, 634, 553–562. [Google Scholar] [CrossRef] [PubMed]
- Julaeha, E.; Eddy, D.R.; Wahyudi, T.; Ningsih, B.A.; Nurzaman, M.; Permadi, N.; Herlina, T.; Al Anshori, J. Coacervate Microcapsules of Citrus aurantifolia Essential Oil (LOs): Optimization and Their Antibacterial Activity Study. ChemistrySelect 2022, 7, e202200187. [Google Scholar] [CrossRef]
- Tao, Y.; Yan, X.X. Influence of HLB Value of Emulsifier on the Properties of Microcapsules and Self-Healing Properties of Waterborne Coatings. Polymers 2022, 14, 1304. [Google Scholar] [CrossRef] [PubMed]
- Liu, T.T.; Yang, T.S. Opimization of Emulsification and Microencapsulation of Evening Primrose Oil and Its oxidative stability during Storage by response surface methodology. J. Food Quatity 2011, 34, 64–73. [Google Scholar] [CrossRef]
- Yan, X.X.; Pan, P. Preparation of Silver Antibacterial Agents with Different Forms and Their Effects on the Properties of Water-Based Primer on Tilia europaea Surface. Coatings 2021, 11, 1066. [Google Scholar] [CrossRef]
- Prasad, M.H.; Kalpana, D.; Kumar, N.J. Silver Nano Coating on Glass Substrate and Antibacterial Activity of Silver Nano particles Synthesised by Arachis hypogaea L. Leaf Extract. Curr. Nanosci. 2012, 8, 280–285. [Google Scholar]
- Yan, X.; Qian, X.; Chang, Y. Preparation and characterization of urea formaldehyde @ epoxy resin microcapsule on waterborne wood coatings. Coatings 2019, 9, 475. [Google Scholar] [CrossRef]
- Liu, R.D.; Yan, J.L.; Li, Z.Y.; Zhang, Y.C.; Tian, C.Y.; Fu, P.; Li, X.B.; Zhou, L.; Xu, X.W. Research on the Upgrading of Bio-Oil Based on Low-Carbon Alcohol Solvents and Ultrasonic-Emulsification. BioResources 2022, 17, 4241–4261. [Google Scholar] [CrossRef]
- Jiang, W.J.; Zhou, G.; Wang, C.M.; Xue, Y.F.; Niu, C.X. Synthesis and self-healing properties of composite microcapsule based on sodium alginate/melamine-phenol-formaldehyde resin. Constr. Build. Mater. 2020, 271, 121541. [Google Scholar] [CrossRef]
- Jaroensaensuai, J.; Wongsasulak, S.; Yoovidhya, T.; Devahastin, S.; Rungrassamee, W. Improvement of Moist Heat Resistance of Ascorbic Acid through Encapsulation in Egg Yolk-Chitosan Composite: Application for Production of Highly Nutritious Shrimp Feed Pellets. Animals 2022, 12, 2384. [Google Scholar] [CrossRef]
- Ando, T.; Korenaga, T.; Suzuki, M.; Tanida, J. Diffraction light analysis method for a diffraction grating imaging lens. Appl. Opt 2014, 53, 2532–2538. [Google Scholar] [CrossRef]
- Yan, X.X.; Chang, Y.J. Investigation of the Properties of Color-Changing Powder Water-Based Coating. Coatings 2020, 10, 815. [Google Scholar] [CrossRef]
- Liu, Q.Q.; Gao, D.; Xu, W. Influence of the Bottom Color Modification and Material Color Modification Process on the Performance of Modified Poplar. Coatings 2021, 11, 660. [Google Scholar] [CrossRef]
- Zhang, J.J.; Liu, J.C.; Huang, H.; Hu, B.; Zhang, Y.; Zhang, C.X.; Ma, S.D. Preparation and property study on high 248 nm light transmittance optical fiber coating. Opt. Fiber Technol. 2020, 57, 102151. [Google Scholar] [CrossRef]
- Liu, Q.Q.; Gu, Y.T.; Xu, W.; Lu, T.; Li, W.J.; Fan, H.B. Compressive Properties of Polyurethane Fiber Mattress Filling Material. Appl. Sci. 2022, 12, 6139. [Google Scholar] [CrossRef]
- Liu, C.; Xu, W. Effect of Coating Process on Properties of Two-Component Waterborne Polyurethane Coatings for Wood. Coatings 2022, 12, 1857. [Google Scholar] [CrossRef]
- Xu, D.D.; Liang, G.T.; Qi, Y.R.; Gong, R.Z.; Zhang, X.Q.; Zhang, Y.M.; Liu, B.X.; Kong, L.L.; Dong, X.Y.; Li, Y.F. Enhancing the Mechanical Properties of Waterborne Polyurethane Paint by Graphene Oxide for Wood Products. Polymers 2022, 14, 5456. [Google Scholar] [CrossRef]
- Liu, Q.Q.; Gao, D.; Xu, W. Effect of Paint Process on the Performance of Modified Poplar Wood Antique. Coatings 2022, 12, 39. [Google Scholar] [CrossRef]
- Panicker, S.; Ahmady, I.M.; Han, C.; Chehimi, M.; Mohamed, A.A. On demand release of ionic silver from gold-silver alloy nanoparticles: Fundamental antibacterial mechanisms study. Mater. Today Chem. 2020, 16, 100237. [Google Scholar] [CrossRef]
- Malashkevich, G.E.; Shevchenko, G.P.; Stupak, A.P.; Bokshits, Y.V.; Sukhodola, A.A.; Stanishevsky, I.V. Effect of the Photoinduced Charge Exchange of Ag+ Ions on the Sensitized Luminescence of Eu3+ in Oxide Films. JETP Lett. 2014, 98, 782–785. [Google Scholar] [CrossRef]
- Farooq, A.; Lee, H.W.; Jae, J.; Kwon, E.E.; Park, Y.K. Emulsification characteristics of ether extracted pyrolysis-oil in diesel using various combinations of emulsifiers (Span 80, Atlox 4916 and Zephrym PD3315) in double reactor system. Environ. Res. 2020, 184, 109267. [Google Scholar] [CrossRef] [PubMed]
- Nielsen, C.K.; Kjems, J.; Mygind, T.; Snabe, T.; Meyer, R.L. Effects of Tween 80 on Growth and Biofilm Formation in Laboratory Media. Frontiers 2016, 7, 1878. [Google Scholar] [CrossRef] [PubMed]
- Peng, W.W.; Yan, X.X. Preparation of Tung Oil Microcapsule and Its Effect on Wood Surface Coating. Polymers 2022, 14, 1536. [Google Scholar] [CrossRef] [PubMed]
- Liu, L.; Shan, H.R.; Jia, X.K.; Duan, S.J.; Gao, Y.J.; Xu, C.Y.; Wei, S.Y. Study on UV curable tung oil based waterborne polyurethane wood coatings. J. For. Eng. 2022, 7, 115–121. [Google Scholar]
- Fu, R.; Zhang, W.; Li, D.; Zhang, H. Analyses on chemical composition of ancient wood structural component by using near infrared spectroscopy. J. For. Eng. 2021, 6, 114–119. [Google Scholar]
- Han, Y.; Yan, X.X.; Yin, T.Y. Effects of different proportions of mixed microcapsules on aging resistance and self-healing properties of waterborne coatings. J. For. Eng. 2022, 7, 183–189. [Google Scholar]
















| Materials | Specification/Size | Manufacturer |
|---|---|---|
| Urea | analytically pure | Tianjin Dengfeng Chemical Factory, Tianjin, China |
| 37.0% formaldehyde | analytically pure | Nantong Yaoxin Chemical Co., Ltd., Nantong, China |
| Triethanolamine | analytically pure | Shaanxi Panlong Yihai Pharmaceutical Co., Ltd., Xi’an, China |
| Nanosilver solution | analytically pure | Tianjin Beichen Founder Reagent Factory, Tianjin, China |
| Span-80 | analytically pure | Wuxi Yatai United Chemical Co., Ltd., Wuxi, China |
| Tween-80 | analytically pure | Wuxi Yatai United Chemical Co., Ltd., Wuxi, China |
| Citric acid monohydrate | analytically pure | Nanjing Quanlong Biotechnology Co., Ltd., Nanjing, China |
| Absolute ethanol | analytically pure | Guangzhou Kema Chemical Technology Co., Ltd., Guangzhou, China |
| Waterborne paint | analytically pure | Akzo Nobel Paint Co., Ltd., Guangzhou, China |
| Escherichia coli | - | Beijing Conservation Biotechnology Co., Ltd., Beijing, China |
| Staphylococcus aureus | - | Beijing Conservation Biotechnology Co., Ltd., Beijing, China |
| Nutrient broth | - | Hangzhou Chicheng Pharmaceutical Technology Co., Ltd., Hangzhou, China |
| Eluent | - | Sichuan Kelun Pharmaceutical Co., Ltd., Chengdu, China |
| Nutrient agar medium | - | Guangdong huankai Microbial Technology Co., Ltd., Guangzhou, China |
| Level | Wcore: Wwall | HLB Value of Emulsifier | Wcore: Wemulsion | Rotational Speed (rpm) |
|---|---|---|---|---|
| 1 | 0.8:1 | 3.65 | 1:4 | 600 |
| 2 | 0.9:1 | 4.51 | 1:5 | 800 |
| 3 | 1:1 | 5.37 | 1:6 | 1000 |
| Sample (#) | Urea (g) | 37% Formaldehyde (g) | Deionized Water (g) | Nanosilver Solution (g) | Span-80 (g) | Tween-80 (g) | Anhydrous Ethanol (g) | Rotational Speed (rpm) |
|---|---|---|---|---|---|---|---|---|
| 1 | 7.0 | 9.5 | 35.0 | 8.4 | 0.5 | 0.1 | 33.0 | 600 |
| 2 | 7.0 | 9.5 | 35.0 | 8.4 | 0.7 | 0.1 | 41.2 | 800 |
| 3 | 7.0 | 9.5 | 35.0 | 8.4 | 0.9 | 0.1 | 49.4 | 1000 |
| 4 | 7.0 | 9.5 | 35.0 | 9.5 | 0.7 | 0.1 | 37.0 | 1000 |
| 5 | 7.0 | 9.5 | 35.0 | 9.5 | 0.9 | 0.1 | 49.3 | 600 |
| 6 | 7.0 | 9.5 | 35.0 | 9.5 | 0.5 | 0.1 | 56.1 | 800 |
| 7 | 7.0 | 9.5 | 35.0 | 10.5 | 0.9 | 0.1 | 41.0 | 800 |
| 8 | 7.0 | 9.5 | 35.0 | 10.5 | 0.5 | 0.1 | 51.9 | 1000 |
| 9 | 7.0 | 9.5 | 35.0 | 10.5 | 0.7 | 0.1 | 62.2 | 600 |
| Sample (#) | Urea (g) | 37% Formaldehyde (g) | Deionized Water (g) | Nanosilver Solution (g) | Span-80 (g) | Tween-80 (g) | Anhydrous Ethanol (g) | Rotational Speed (rpm) |
|---|---|---|---|---|---|---|---|---|
| 1′ | 7.0 | 9.5 | 35.0 | 8.4 | 4.3 | 0.8 | 0 | 33.6 |
| 2′ | 7.0 | 9.5 | 35.0 | 8.4 | 5.0 | 0.8 | 0.1 | 33.6 |
| 3′ | 7.0 | 9.5 | 35.0 | 8.4 | 5.6 | 0.7 | 0.1 | 33.6 |
| 4′ | 7.0 | 9.5 | 35.0 | 8.4 | 6.3 | 0.7 | 0.2 | 33.6 |
| 5′ | 7.0 | 9.5 | 35.0 | 8.4 | 7.0 | 0.6 | 0.2 | 33.6 |
| 6′ | 7.0 | 9.5 | 35.0 | 8.4 | 7.6 | 0.6 | 0.3 | 33.6 |
| 7′ | 7.0 | 9.5 | 35.0 | 8.4 | 8.3 | 0.5 | 0.3 | 33.6 |
| Sample | Wcore: Wwall | Wcore: Wemulsion | HLB Value of Emulsifier | Rotational Speed (r/min) | Coverage Rate (%) |
|---|---|---|---|---|---|
| 1# | 0.80:1 | 1:4 | 3.7 | 600 | 27.0 |
| 2# | 0.80:1 | 1:5 | 4.5 | 800 | 40.0 |
| 3# | 0.80:1 | 1:6 | 5.4 | 1000 | 35.0 |
| 4# | 0.9:1 | 1:4 | 4.5 | 1000 | 41.0 |
| 5# | 0.9:1 | 1:5 | 5.4 | 600 | 30.0 |
| 6# | 0.9:1 | 1:6 | 3.7 | 800 | 23.0 |
| 7# | 1:1 | 1:4 | 5.4 | 800 | 27.0 |
| 8# | 1:1 | 1:5 | 3.7 | 1000 | 24.0 |
| 9# | 1:1 | 1:6 | 4.5 | 600 | 27.0 |
| Mean 1 | 34.0 | 31.7 | 24.7 | 28 | |
| Mean 2 | 31.3 | 31.3 | 36.0 | 30 | |
| Mean 3 | 26.0 | 28.3 | 30.7 | 33.3 | |
| R | 8.0 | 3.3 | 11.3 | 5.3 | |
| Sum of Squared Deviations | 99.6 | 20.2 | 192.9 | 43.6 | |
| Degrees of Freedom | 2 | 2 | 2 | 2 | |
| Fratio | 1.2 | 0.2 | 2.2 | 0.5 | |
| Fcritical Value | 4.5 | 4.5 | 4.5 | 4.5 | |
| Significance | - | - | - | - |
| Sample | Wcore: Wwall | HLB Value of Emulsifier | Wcore: Wemulsion | Rotational Speed (r/min) | Yield (g) | |
|---|---|---|---|---|---|---|
| Range | 1# | 0.80:1 | 1:4 | 3.7 | 600 | 6.2 |
| 2# | 0.80:1 | 1:5 | 4.5 | 800 | 6.5 | |
| 3# | 0.80:1 | 1:6 | 5.4 | 1000 | 6.1 | |
| 4# | 0.9:1 | 1:4 | 4.5 | 1000 | 6.8 | |
| 5# | 0.9:1 | 1:5 | 5.4 | 600 | 5.8 | |
| 6# | 0.9:1 | 1:6 | 3.7 | 800 | 5.4 | |
| 7# | 1:1 | 1:4 | 5.4 | 800 | 6.0 | |
| 8# | 1:1 | 1:5 | 3.7 | 1000 | 5.7 | |
| 9# | 1:1 | 1:6 | 4.5 | 600 | 6.2 | |
| Mean 1 | 3.7 | 3.7 | 3.7 | 3.7 | ||
| Mean 2 | 4.5 | 4.5 | 4.5 | 4.5 | ||
| Mean 3 | 3.7 | 3.7 | 3.7 | 3.7 | ||
| R | 4.5 | 4.5 | 4.5 | 4.5 | ||
| Variance | Sum of Squared Deviations | 0.2 | 0.3 | 420 | 18.7 | |
| Degrees of Freedom | 2 | 2 | 2 | 2 | ||
| Fratio | 0.5 | 0.9 | 2.3 | 0.2 | ||
| Fcritical Value | 4.5 | 4.5 | 4.5 | 4.5 | ||
| Significance | - | - | - | - |
| Sample (#) | Glass Substrate Surface Coating (%) | Andoung Wood Surface Coating (%) |
|---|---|---|
| 0 | 67.00 | 45.37 |
| 1′ | 12.87 | 14.37 |
| 2′ | 14.20 | 17.23 |
| 3′ | 16.67 | 19.6 |
| 4′ | 17.17 | 17.23 |
| 5′ | 16.37 | 16.83 |
| 6′ | 14.17 | 13.03 |
| 7′ | 13.27 | 11.87 |
| Sample (#) | HLB Value of Emulsifier | Visible Light Transmittance (%) |
|---|---|---|
| 0 | 0 | 91.7% |
| 1′ | 4.30 | 94.9% |
| 2′ | 4.97 | 91.9% |
| 3′ | 5.64 | 90.2% |
| 4′ | 6.31 | 89.1% |
| 5′ | 6.98 | 87.8% |
| 6′ | 7.65 | 91.6% |
| 7′ | 8.31 | 88.1% |
| Sample (#) | Hardness (H) | Adhesion (Level) | Impact Strength (kg·cm) | Roughness (μm) |
|---|---|---|---|---|
| 0 | 2 | 1 | 15 | 0.4 |
| 1′ | 1 | 2 | 15 | 1.2 |
| 2′ | 2 | 2 | 14 | 1.3 |
| 3′ | 2 | 2 | 14 | 1.8 |
| 4′ | 2 | 3 | 13 | 2.0 |
| 5′ | 1 | 3 | 13 | 2.4 |
| 6′ | 2 | 3 | 12 | 2.4 |
| 7′ | 1 | 3 | 11 | 2.5 |
| HLB Value of Emulsifier | Glass Substrate Surface | Andoung Wood Surface | ||
|---|---|---|---|---|
| Escherichia coli (%) | Staphylococcus aureus (%) | Escherichia coli (%) | Staphylococcus aureus (%) | |
| 4.30 | 56.6 | 49.4 | 41.9 | 61.2 |
| 4.97 | 80.7 | 74.6 | 75.7 | 70.9 |
| 5.64 | 58.3 | 65.4 | 50.3 | 63.8 |
| 6.31 | 51.3 | 66.0 | 30.8 | 42.4 |
| 6.98 | 43.0 | 51.2 | 16.8 | 30.2 |
| 7.65 | 48.1 | 53.0 | 28.2 | 34.5 |
| 8.31 | 50.2 | 53.1 | 31.0 | 37.5 |
Disclaimer/Publisher’s Note: The statements, opinions and data contained in all publications are solely those of the individual author(s) and contributor(s) and not of MDPI and/or the editor(s). MDPI and/or the editor(s) disclaim responsibility for any injury to people or property resulting from any ideas, methods, instructions or products referred to in the content. |
© 2023 by the authors. Licensee MDPI, Basel, Switzerland. This article is an open access article distributed under the terms and conditions of the Creative Commons Attribution (CC BY) license (https://creativecommons.org/licenses/by/4.0/).
Share and Cite
Pan, P.; Yan, X. Preparation of Antibacterial Nanosilver Solution Microcapsules and Their Impact on the Performance of Andoung Wood Surface Coating. Polymers 2023, 15, 1722. https://doi.org/10.3390/polym15071722
Pan P, Yan X. Preparation of Antibacterial Nanosilver Solution Microcapsules and Their Impact on the Performance of Andoung Wood Surface Coating. Polymers. 2023; 15(7):1722. https://doi.org/10.3390/polym15071722
Chicago/Turabian StylePan, Pan, and Xiaoxing Yan. 2023. "Preparation of Antibacterial Nanosilver Solution Microcapsules and Their Impact on the Performance of Andoung Wood Surface Coating" Polymers 15, no. 7: 1722. https://doi.org/10.3390/polym15071722
APA StylePan, P., & Yan, X. (2023). Preparation of Antibacterial Nanosilver Solution Microcapsules and Their Impact on the Performance of Andoung Wood Surface Coating. Polymers, 15(7), 1722. https://doi.org/10.3390/polym15071722
