Highly Stretchable PPy/PDMS Strain Sensors Fabricated with Multi-Step Oxygen Plasma Treatment
Abstract
1. Introduction
2. Materials and Methods
3. Results and Discussion
3.1. Surface Microstructural Morphology
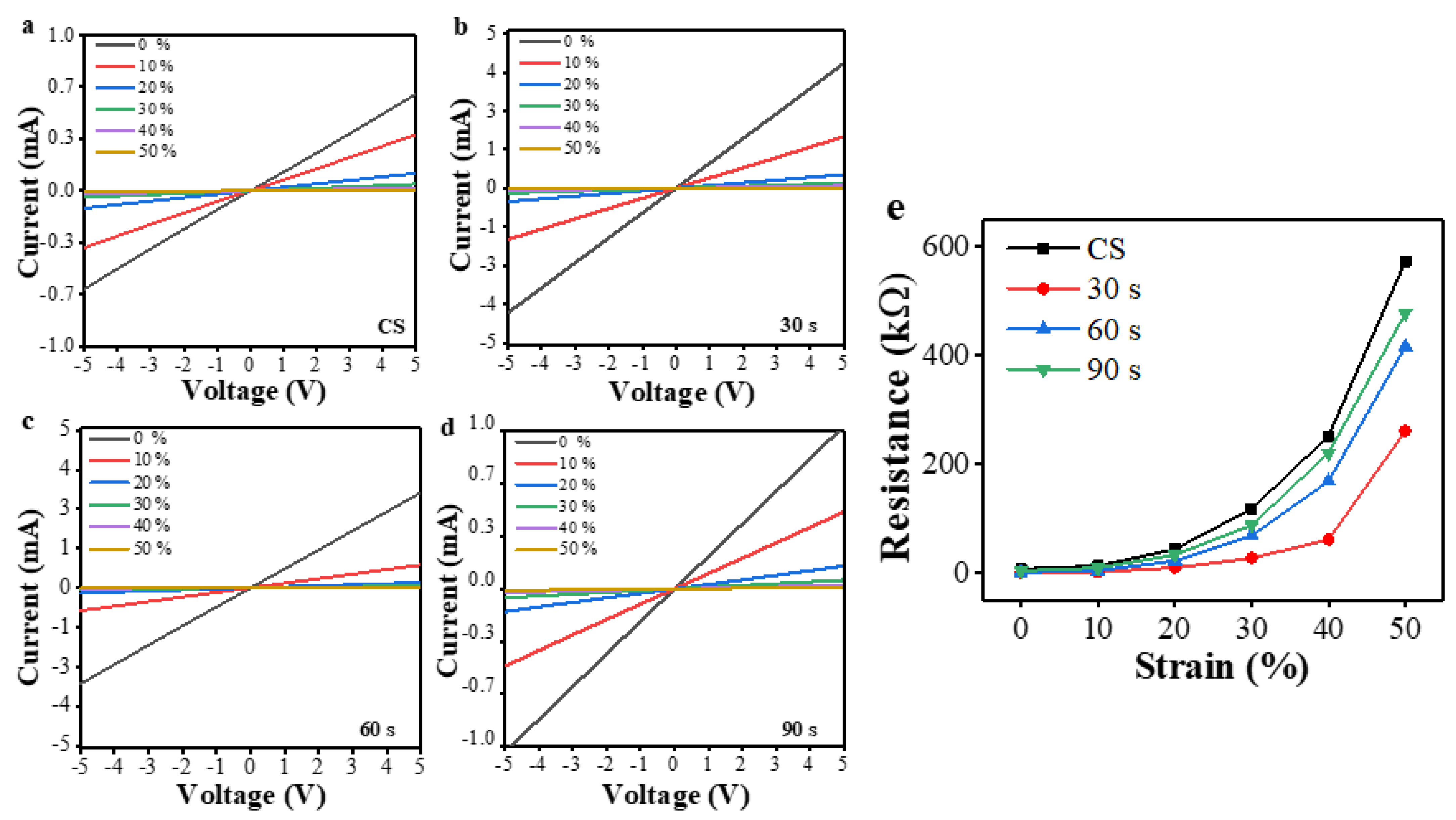
3.2. Electrical Characterization
3.3. Sensing Mechanism
3.4. Human Motion Monitoring
4. Conclusions
Author Contributions
Funding
Institutional Review Board Statement
Data Availability Statement
Acknowledgments
Conflicts of Interest
References
- Pantelopoulos, A.; Bourbakis, N.G. A Survey on Wearable Sensor-Based Systems for Health Monitoring and Prognosis. IEEE Trans. Syst. Man Cybern. C 2010, 40, 1–12. [Google Scholar] [CrossRef]
- Yang, K.; Cheng, H.; Wang, B.; Tan, Y.; Ye, T.; Yang, Y.; Wang, C. Highly Durable and Stretchable Ti3C2Tx/PPy-Fabric-Based Strain Sensor for Human-Motion Detection. Adv. Mater. Technol. 2022, 7, 2100675. [Google Scholar] [CrossRef]
- Peng, J.; Wang, B.; Cheng, H.; Yang, R.; Yin, Y.; Xu, S.; Wang, C. Highly Sensitive and Superhydrophobic Fabric Sensor Based on AgNPs/Polypyrrole Composite Conductive Networks for Body Movement Monitoring. Compos. Sci. Technol. 2022, 227, 109561. [Google Scholar] [CrossRef]
- Shan, Y.; Li, Z.; Yu, T.; Wang, X.; Cui, H.; Yang, K.; Cui, Y. Self-Healing Strain Sensor Based on Silicone Elastomer for Human Motion Detection. Compos. Sci. Technol. 2022, 218, 109208. [Google Scholar] [CrossRef]
- Wang, J.; Xu, J.; Chen, T.; Song, L.; Zhang, Y.; Lin, Q.; Wang, M.; Wang, F.; Ma, N.; Sun, L. Wearable Human-Machine Interface Based on the Self-Healing Strain Sensors Array for Control Interface of Unmanned Aerial Vehicle. Sens. Actuators A Phys. 2021, 321, 112583. [Google Scholar] [CrossRef]
- Zhang, D.; Xu, S.; Zhao, X.; Qian, W.; Bowen, C.R.; Yang, Y. Wireless Monitoring of Small Strains in Intelligent Robots via a Joule Heating Effect in Stretchable Graphene–Polymer Nanocomposites. Adv. Funct. Mater. 2020, 30, 1910809. [Google Scholar] [CrossRef]
- Sharma, S.; Chhetry, A.; Zhang, S.; Yoon, H.; Park, C.; Kim, H.; Sharifuzzaman, M.; Hui, X.; Park, J.Y. Hydrogen-Bond-Triggered Hybrid Nanofibrous Membrane-Based Wearable Pressure Sensor with Ultrahigh Sensitivity over a Broad Pressure Range. ACS Nano 2021, 15, 4380–4393. [Google Scholar] [CrossRef] [PubMed]
- Liu, K.; Yang, C.; Song, L.; Wang, Y.; Wei, Q.; Deng, Q.; Hu, N. Highly Stretchable, Superhydrophobic and Wearable Strain Sensors Based on the Laser-Irradiated PDMS/CNT Composite. Compos. Sci. Technol. 2022, 218, 109148. [Google Scholar] [CrossRef]
- Jiang, X.; Ren, Z.; Fu, Y.; Liu, Y.; Zou, R.; Ji, G.; Ning, H.; Li, Y.; Wen, J.; Qi, H.J.; et al. Highly Compressible and Sensitive Pressure Sensor under Large Strain Based on 3D Porous Reduced Graphene Oxide Fiber Fabrics in Wide Compression Strains. ACS Appl. Mater. Interfaces 2019, 11, 37051–37059. [Google Scholar] [CrossRef]
- Zhu, J.; Cheng, Y.; Hao, S.; Wang, Z.L.; Wang, N.; Cao, X. A Self-Healing Triboelectric Nanogenerator Based on Feathers for Sensing and Energy Harvesting. Adv. Funct. Mater. 2021, 31, 2100039. [Google Scholar] [CrossRef]
- Zhu, M.; Shi, Q.; He, T.; Yi, Z.; Ma, Y.; Yang, B.; Chen, T.; Lee, C. Self-Powered and Self-Functional Cotton Sock Using Piezoelectric and Triboelectric Hybrid Mechanism for Healthcare and Sports Monitoring. ACS Nano 2019, 13, 1940–1952. [Google Scholar] [CrossRef]
- Wang, S.; Shao, H.-Q.; Liu, Y.; Tang, C.-Y.; Zhao, X.; Ke, K.; Bao, R.-Y.; Yang, M.-B.; Yang, W. Boosting Piezoelectric Response of PVDF-TrFE via MXene for Self-Powered Linear Pressure Sensor. Compos. Sci. Technol. 2021, 202, 108600. [Google Scholar] [CrossRef]
- Guan, X.; Xu, B.; Gong, J. Hierarchically Architected Polydopamine Modified BaTiO3@P(VDF-TrFE) Nanocomposite Fiber Mats for Flexible Piezoelectric Nanogenerators and Self-Powered Sensors. Nano Energy 2020, 70, 104516. [Google Scholar] [CrossRef]
- Xu, X.; Wu, S.; Cui, J.; Yang, L.; Wu, K.; Chen, X.; Sun, D. Highly Stretchable and Sensitive Strain Sensor Based on Polypyrrole Coated Bacterial Cellulose Fibrous Network for Human Motion Detection. Compos. Part B Eng. 2021, 211, 108665. [Google Scholar] [CrossRef]
- Pan, J.; Yang, M.; Luo, L.; Xu, A.; Tang, B.; Cheng, D.; Cai, G.; Wang, X. Stretchable and Highly Sensitive Braided Composite Yarn@Polydopamine@Polypyrrole for Wearable Applications. ACS Appl. Mater. Interfaces 2019, 11, 7338–7348. [Google Scholar] [CrossRef] [PubMed]
- Li, H.; Du, Z. Preparation of a Highly Sensitive and Stretchable Strain Sensor of MXene/Silver Nanocomposite-Based Yarn and Wearable Applications. ACS Appl. Mater. Interfaces 2019, 11, 45930–45938. [Google Scholar] [CrossRef]
- Shen, H.; Ke, H.; Feng, J.; Jiang, C.; Wei, Q.; Wang, Q. Highly Sensitive and Stretchable C-MWCNTs/PPy Embedded Multidirectional Strain Sensor Based on Double Elastic Fabric for Human Motion Detection. Nanomaterials 2021, 11, 2333. [Google Scholar] [CrossRef]
- Huang, Y.; Li, H.; Wang, Z.; Zhu, M.; Pei, Z.; Xue, Q.; Huang, Y.; Zhi, C. Nanostructured Polypyrrole as a Flexible Electrode Material of Supercapacitor. Nano Energy 2016, 22, 422–438. [Google Scholar] [CrossRef]
- Li, M.; Jiang, F.; Yang, J.; Wang, Y.; Zhao, F.; Xu, X.; Liu, M.; Yan, J.; Xu, J. Electrochemical Preparation and Regulation of Flexible Polypyrrole Film toward Enhanced Thermoelectric Performance. ACS Appl. Energy Mater. 2021, 4, 12982–12988. [Google Scholar] [CrossRef]
- Das, S.; Kumar, V.; Yokozeki, T. Strain Sensing Behavior of Multifunctional Polyaniline-Based Thermoset Polymer under Static Loading Conditions. Polym. Test. 2019, 77, 105916. [Google Scholar] [CrossRef]
- Gong, X.X.; Fei, G.T.; Fu, W.B.; Fang, M.; Gao, X.D.; Zhong, B.N.; Zhang, L.D. Flexible Strain Sensor with High Performance Based on PANI/PDMS Films. Org. Electron. 2017, 47, 51–56. [Google Scholar] [CrossRef]
- Li, Y.; Liu, C.; Lv, X.; Sun, S. A Highly Sensitive Strain Sensor Based on a Silica@polyaniline Core–Shell Particle Reinforced Hydrogel with Excellent Flexibility, Stretchability, Toughness and Conductivity. Soft Matter 2021, 17, 2142–2150. [Google Scholar] [CrossRef] [PubMed]
- Fan, X.; Wang, N.; Wang, J.; Xu, B.; Yan, F. Highly Sensitive, Durable and Stretchable Plastic Strain Sensors Using Sandwich Structures of PEDOT:PSS and an Elastomer. Mater. Chem. Front. 2018, 2, 355–361. [Google Scholar] [CrossRef]
- Bhattacharjee, M.; Soni, M.; Escobedo, P.; Dahiya, R. PEDOT:PSS Microchannel-Based Highly Sensitive Stretchable Strain Sensor. Adv. Electron. Mater. 2020, 6, 2000445. [Google Scholar] [CrossRef]
- Wang, X.; Gao, X.; Wang, Y.; Niu, X.; Wang, T.; Liu, Y.; Qi, F.; Jiang, Y.; Liu, H. Development of High-Sensitivity Piezoresistive Sensors Based on Highly Breathable Spacer Fabric with TPU/PPy/PDA Coating. Polymers 2022, 14, 859. [Google Scholar] [CrossRef]
- Tsao, C.-W.; Guo, X.-C.; Hu, W.-W. Highly Stretchable Conductive Polypyrrole Film on a Three Dimensional Porous Polydimethylsiloxane Surface Fabricated by a Simple Soft Lithography Process. RSC Adv. 2016, 6, 113344–113351. [Google Scholar] [CrossRef]
- Kurian, A.S.; Souri, H.; Mohan, V.B.; Bhattacharyya, D. Highly Stretchable Strain Sensors Based on Polypyrrole-Silicone Rubber Composites for Human Motion Detection. Sens. Actuators A Phys. 2020, 312, 112131. [Google Scholar] [CrossRef]
- Chen, J.; Yu, Q.; Cui, X.; Dong, M.; Zhang, J.; Wang, C.; Fan, J.; Zhu, Y.; Guo, Z. An Overview of Stretchable Strain Sensors from Conductive Polymer Nanocomposites. J. Mater. Chem. C 2019, 7, 11710–11730. [Google Scholar] [CrossRef]
- Lin, L.; Park, S.; Kim, Y.; Bae, M.; Lee, J.; Zhang, W.; Gao, J.; Paek, S.H.; Piao, Y. Wearable and Stretchable Conductive Polymer Composites for Strain Sensors: How to Design a Superior One? Nano Mater. Sci. 2022, S2589965122000484. [Google Scholar] [CrossRef]
- Kumar, D.; Sharma, R.C. Advances in Conductive Polymers. Eur. Polym. J. 1998, 34, 1053–1060. [Google Scholar] [CrossRef]
- Rapi, S.; Bocchi, V.; Gardini, G.P. Conducting Polypyrrole by Chemical Synthesis in Water. Synth. Met. 1988, 24, 217–221. [Google Scholar] [CrossRef]
- Majumdar, S.; Sarmah, K.; Mahanta, D. A Simple Route to Prepare Polypyrrole-Coated Filter Papers via Vapor Phase Polymerization and Their Gas Sensing Application. ACS Appl. Polym. Mater. 2020, 2, 1933–1942. [Google Scholar] [CrossRef]
- Hwang, B.-Y.; Du, W.; Lee, H.-J.; Kang, S.; Takada, M.; Kim, J.-Y. Stretchable and High-Performance Sensor Films Based on Nanocomposite of Polypyrrole/SWCNT/Silver Nanowire. Nanomaterials 2020, 10, 696. [Google Scholar] [CrossRef] [PubMed]
- Shi, W.; Han, G.; Chang, Y.; Song, H.; Hou, W.; Chen, Q. Using Stretchable PPy@PVA Composites as a High-Sensitivity Strain Sensor To Monitor Minute Motion. ACS Appl. Mater. Interfaces 2020, 12, 45373–45382. [Google Scholar] [CrossRef]
- Zhou, Y.; Liao, H.; Qi, Q.; Guo, C.; Qi, K.; Ou, K.; He, J.; Wang, H.; Wang, R.; Chen, X. Polypyrrole-Coated Graphene Oxide-Doped Polyacrylonitrile Nanofibers for Stretchable Strain Sensors. ACS Appl. Nano Mater. 2022, 5, 8224–8231. [Google Scholar] [CrossRef]
- Niu, H.; Zhou, H.; Wang, H.; Lin, T. Polypyrrole-Coated PDMS Fibrous Membrane: Flexible Strain Sensor with Distinctive Resistance Responses at Different Strain Ranges. Macromol. Mater. Eng. 2016, 301, 707–713. [Google Scholar] [CrossRef]
- Wang, C.; Ding, Y.; Yuan, Y.; Cao, A.; He, X.; Peng, Q.; Li, Y. Multifunctional, Highly Flexible, Free-Standing 3D Polypyrrole Foam. Small 2016, 12, 4070–4076. [Google Scholar] [CrossRef]
- Li, M.; Li, H.; Zhong, W.; Zhao, Q.; Wang, D. Stretchable Conductive Polypyrrole/Polyurethane (PPy/PU) Strain Sensor with Netlike Microcracks for Human Breath Detection. ACS Appl. Mater. Interfaces 2014, 6, 1313–1319. [Google Scholar] [CrossRef]
- Mehmood, T.; Kaynak, A.; Dai, X.J.; Kouzani, A.; Magniez, K.; Rubin de Celis, D.; Hurren, C.J.; du Plessis, J. Study of Oxygen Plasma Pre-Treatment of Polyester Fabric for Improved Polypyrrole Adhesion. Mater. Chem. Phys. 2014, 143, 668–675. [Google Scholar] [CrossRef]
- Tseng, S.-J.; Cheng, C.-H.; Lee, T.-M.; Lin, J.-C. Studies of Osteoblast-like MG-63 Cellular Proliferation and Differentiation with Cyclic Stretching Cell Culture System on Biomimetic Hydrophilic Layers Modified Polydimethylsiloxane Substrate. Biochem. Eng. J. 2021, 168, 107946. [Google Scholar] [CrossRef]
- Shafei, S.; Foroughi, J.; Chen, Z.; Wong, C.; Naebe, M. Short Oxygen Plasma Treatment Leading to Long-Term Hydrophilicity of Conductive PCL-PPy Nanofiber Scaffolds. Polymers 2017, 9, 614. [Google Scholar] [CrossRef] [PubMed]
- Li, X.; Qiu, J.; Liu, X. Antibacterial Property and Biocompatibility of Polypyrrole Films Treated by Oxygen Plasma Immersion Ion Implantation. Adv. Mater. Interfaces 2020, 7, 2000057. [Google Scholar] [CrossRef]
- Mehmood, T.; Dai, X.J.; Kaynak, A.; Kouzani, A. Improved Bonding and Conductivity of Polypyrrole on Polyester by Gaseous Plasma Treatment: Improved Conductive Coatings by Plasma Treatment. Plasma Process. Polym. 2012, 9, 1006–1014. [Google Scholar] [CrossRef]
- Chen, J.; Zheng, J.; Gao, Q.; Zhang, J.; Zhang, J.; Omisore, O.; Wang, L.; Li, H. Polydimethylsiloxane (PDMS)-Based Flexible Resistive Strain Sensors for Wearable Applications. Appl. Sci. 2018, 8, 345. [Google Scholar] [CrossRef]
- Wang, D.; Zhou, X.; Song, R.; Fang, C.; Wang, Z.; Wang, C.; Huang, Y. Freestanding Silver/Polypyrrole Composite Film for Multifunctional Sensor with Biomimetic Micropattern for Physiological Signals Monitoring. Chem. Eng. J. 2021, 404, 126940. [Google Scholar] [CrossRef]
- Liu, C.X.; Choi, J.W. Analyzing resistance response of embedded pdms and carbon nanotubes composite under tensile strain. Microelectron. Eng. 2014, 117, 1–7. [Google Scholar] [CrossRef]
- Lee, C.; Jug, L.; Meng, E. High strain biocompatible polydimethylsiloxane-based conductive graphene and multiwalled carbon nanotube nanocomposite strain sensors. Appl. Phys. Lett. 2013, 103, 169902, Erratum in Appl. Phys. Lett. 2013, 102, 183511. [Google Scholar] [CrossRef]
- Lu, N.; Lu, C.; Yang, S.; Rogers, J. Highly Sensitive Skin-Mountable Strain gauges Based Entirely on Elastomers. Adv. Funct. Mater. 2012, 22, 4044–4050. [Google Scholar] [CrossRef]
- Amjadi, M.; Pichitpajongkit, A.; Lee, S.; Ryu, S.; Park, I. Highly stretchable and sensitive strain sensor based on silver nanowire-elastomer nanocomposite. ACS Nano 2014, 8, 5154–5163. [Google Scholar] [CrossRef]
- Bae, S.H.; Lee, Y.; Sharma, B.K.; Lee, H.J.; Kim, J.H.; Ahn, J.H. Graphene-based transparent strain sensor. Carbon 2013, 51, 236–242. [Google Scholar] [CrossRef]










| Materials | Methods | Strain Limit (%) | GFs |
|---|---|---|---|
| MWCNTs-PDMS [46] | Liquid Phase Mixing | 45 | 1.2 |
| MWNT-GNPs-PDMS [47] | Printing technique | 40 | >100 |
| CNT-CB-PDMS [48] | Micromolding method | 22.6 | 29 |
| AgNW-PDMS [49] | Micromolding method | 70 | 2–14 |
| Graphene-PDMS [50] | Coating technique | 7.1 | 2.4–14 |
| PPy-PDMS (our work) | Dipping method | 50 | 438 |
Disclaimer/Publisher’s Note: The statements, opinions and data contained in all publications are solely those of the individual author(s) and contributor(s) and not of MDPI and/or the editor(s). MDPI and/or the editor(s) disclaim responsibility for any injury to people or property resulting from any ideas, methods, instructions or products referred to in the content. |
© 2023 by the authors. Licensee MDPI, Basel, Switzerland. This article is an open access article distributed under the terms and conditions of the Creative Commons Attribution (CC BY) license (https://creativecommons.org/licenses/by/4.0/).
Share and Cite
Muhammad, W.; Kim, S.-D. Highly Stretchable PPy/PDMS Strain Sensors Fabricated with Multi-Step Oxygen Plasma Treatment. Polymers 2023, 15, 1714. https://doi.org/10.3390/polym15071714
Muhammad W, Kim S-D. Highly Stretchable PPy/PDMS Strain Sensors Fabricated with Multi-Step Oxygen Plasma Treatment. Polymers. 2023; 15(7):1714. https://doi.org/10.3390/polym15071714
Chicago/Turabian StyleMuhammad, Waqar, and Sam-Dong Kim. 2023. "Highly Stretchable PPy/PDMS Strain Sensors Fabricated with Multi-Step Oxygen Plasma Treatment" Polymers 15, no. 7: 1714. https://doi.org/10.3390/polym15071714
APA StyleMuhammad, W., & Kim, S.-D. (2023). Highly Stretchable PPy/PDMS Strain Sensors Fabricated with Multi-Step Oxygen Plasma Treatment. Polymers, 15(7), 1714. https://doi.org/10.3390/polym15071714

