Additive Effects of Solid Paraffins on Mechanical Properties of High-Density Polyethylene
Abstract
1. Introduction
2. Experiments
2.1. Sample Preparation
2.2. Measurements
2.3. Characterization of the Starting Materials
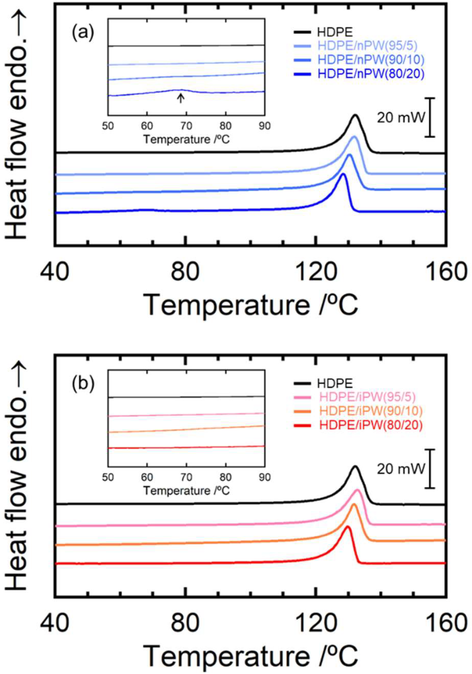
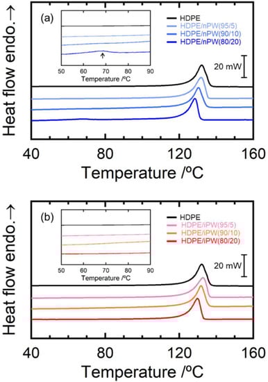
3. Results and Discussion
4. Conclusions
Supplementary Materials
Author Contributions
Funding
Institutional Review Board Statement
Informed Consent Statement
Data Availability Statement
Acknowledgments
Conflicts of Interest
References
- Ito, A.; Hioki, K.; Kono, K.; Hiejima, Y.; Nitta, K.H. Effects of liquid paraffin on dynamic mechanical properties of linear high-density polyethylene. Macromolecules 2020, 53, 8459–8466. [Google Scholar] [CrossRef]
- Kalb, B.; Pennings, A.J. Maximum strength and drawing mechanism of hot drawn high molecular weight polyethylene. J. Mater. Sci. 1980, 15, 2584–2590. [Google Scholar] [CrossRef]
- Smook, J.; Flinterman, M.; Pennings, A.J. Influence of Spinning/Hot Drawing Conditions on the Tensile Strength of Porous High Molecular Weight Polyethylene. Polym. Bull. 1980, 2, 775–783. [Google Scholar] [CrossRef]
- Pakhomov, P.M.; Khizhnyak, S.; Reuter, H.; Galitsyn, V.; Tshmel, A. Effect of intercrystallite straight-chain segments on Young’s modulus of gel-spun polyethylene fibers. Polymer 2003, 44, 4651–4654. [Google Scholar] [CrossRef]
- Ward, I.M.; Sweeney, J. Mechanical Properties of Solid Polymers, 3rd ed.; Wiley: Oxford, UK, 2013; p. 274. [Google Scholar]
- Nitta, K.H.; Tanaka, A. Dynamic mechanical properties of metallocene catalyzed linear polyethylenes. Polymer 2001, 42, 1219–1226. [Google Scholar] [CrossRef]
- Boyd, R.S. Relaxation process in crystalline polymers-molecular interpretation—A review. Polymer 1985, 26, 1123–1133. [Google Scholar] [CrossRef]
- Mandelkern, L. The Crystalline State in Physical Properties of Polymers, 3rd ed.; Cambridge University: Cambridge, UK, 2003; Chapter 4. [Google Scholar]
- Gottshall, R.I.; McCue, C.F. Petroleum waxes including petrolatums. In Criteria for Quality of Petroleum Products; Allinson, J.P., Ed.; Applied Sciences Publishers Ltd.: London, UK, 1973; pp. 209–225. [Google Scholar]
- Hobson, G.D.; Pohl, W. Modern Petroleum Technology, 4th ed.; Applied Science Publishers Ltd.: London, UK, 1973; pp. 782–788. [Google Scholar]
- Zaky, M.T.; Mohamed, N.H. Comparative study on separation and characterization of high melting point macro- and micro-crystalline waxes. J. Taiwan Inst. Chem. Eng. 2010, 41, 360–366. [Google Scholar] [CrossRef]
- Noel, F. Thermal analysis of lubricating oils. Thermochim. Acta 1972, 4, 377–392. [Google Scholar] [CrossRef]
- Yasufuku, S. Calorimetric measurements of paraffin wax in paraffinic transformer oil. J. Jpn. Pet. Inst. 1984, 27, 525–532. [Google Scholar] [CrossRef]
- Kurniawan, M.; Subramanian, S.; Norrman, J.; Paso, K. Influence of microcrystalline wax on the properties of model wax-oil gels. Energy Fuels 2018, 32, 5857–5867. [Google Scholar] [CrossRef]
- Hong, Y.; Cooper-White, J.J.; Mackay, M.E.; Hawker, C.J.; Malmström, E.; Rehnberg, N. A novel processing aid for polymer extrusion: Rheology and processing of polyethylene and hyperbranched polymer blends. J. Rheol. 1999, 43, 781–793. [Google Scholar] [CrossRef]
- Sotomayor, M.E.; Krupa, I.; Várez, A.; Levenfeld, B. Thermal and mechanical characterization of injection moulded high density polyethylene/paraffin wax blends as phase change materials. Renew. Energy 2014, 68, 140–145. [Google Scholar] [CrossRef]
- Inaba, H.; Tu, P. Evaluation of thermophysical characteristics on shape-stabilized paraffin as a solid-liquid phase change material. Heat Mass Transf. 1997, 32, 307–312. [Google Scholar] [CrossRef]
- Sari, A. Form-stable paraffin/high density polyethylene composites as solid–liquid phase change material for thermal energy storage: Preparation and thermal properties. Energy Convers. Manag. 2004, 45, 2033–2042. [Google Scholar] [CrossRef]
- Kaygusuz, K.; Sari, A. High density polyethylene/paraffin composites as form-stable phase change material for thermal energy storage. Energy Sources Part A Recover. Util. Environ. Eff. 2007, 29, 261–270. [Google Scholar] [CrossRef]
- Mu, M.; Basheer, P.A.M.; Sha, W.; Bai, Y.; McNally, T. Shape stabilised phase change materials based on a high melt viscosity HDPE and paraffin waxes. Appl. Energy 2016, 162, 68–82. [Google Scholar] [CrossRef]
- Ferris, S.W.; Cowles, H.C. Crystal behavior of paraffin wax. Ind. Eng. Chem. 1945, 37, 1054–1062. [Google Scholar] [CrossRef]
- Edwards, R.T. Crystal habit of paraffin wax. Ind. Eng. Chem. 1957, 49, 750–757. [Google Scholar] [CrossRef]
- Wang, J.; Hao, Y.; Zhu, B.; Han, T.; Li, Z.; Zhang, J. Crystalline Behavior of Paraffin Wax. J. Phys. Chem. B 2022, 126, 985–995. [Google Scholar] [CrossRef]
- Stein, R.S.; Rhodes, M.B. Photographic light scattering by polyethylene films. J. Appl. Phys. 1960, 31, 1873–1884. [Google Scholar] [CrossRef]
- Srivastava, S.P.; Handoo, J.; Agrawal, K.M.; Joshi, G.C. Phase-transition studies in n-alkanes and petroleum-related waxes—A review. J. Phys. Chem. Solids 1993, 54, 639–670. [Google Scholar] [CrossRef]
- Müller, A. An X-ray investigation of normal paraffins near their melting points. Proc. Roy. Soc. 1932, 138, 514–530. [Google Scholar] [CrossRef]
- Handoo, J.; Srivastava, S.P.; Agrawal, K.M.; Joshi, G.C. Thermal properties of some petroleum waxes in relation to their composition. Fuel Short Commun. 1989, 68, 1346–1348. [Google Scholar] [CrossRef]
- Chen, F.; Wolcott, M. Polyethylene/paraffin binary composites for phase change material energy storage in building: A morphology, thermal properties, and paraffin leakage study. Sol. Energy Mater. Sol. Cells 2015, 137, 79–85. [Google Scholar] [CrossRef]
- Heck, B.; Strobl, G.; Grasruck, M. Characteristic variations in the effect of diluents on polymer crystallization and melting observed for a sample of poly(ethylene-co-octene). Eur. Phys. J. E 2003, 11, 117–130. [Google Scholar] [CrossRef]
- Peacock, A.J.; Mandelkern, L. The Mechanical Properties of Random Copolymers of Ethylene: Force-elongation Relations. J. Polym. Sci. B Polym. Phys. 1990, 28, 1917–1941. [Google Scholar] [CrossRef]
- Mandelkern, L. The Relation between Structure and Properties of Crystalline Polymers. Polymer J. 1985, 17, 337–350. [Google Scholar] [CrossRef]
- Hosoda, S.; Uemura, A. Effect of Structural Distribution on the Mechanical Properties of Linear Low-Density Polyethylenes. Polymer J. 1992, 24, 939–949. [Google Scholar] [CrossRef]
- Hoffman, J.D.; Williams, G.; Passaglia, E. Analysis of the α, β, and γ relaxations in polychlorotrifluoroethylene and polyethylene: Dielectric and mechanical properties. J. Polym. Sci. Part C Polym. Symp. 2007, 14, 173–235. [Google Scholar] [CrossRef]
- Pechhold, W.; Eisele, V.; Knauss, G. Viscoelastic Behavior of Linear Polyethylene and of Paraffin Mixtures. Z Z Polym. 1964, 196, 27–35. [Google Scholar] [CrossRef]
- Wada, Y.; Tsuge, K.; Arisawa, K.; Ohzawa, Y.; Shida, K.-I.; Hotta, Y.; Hayakawa, R.; Nishi, T. Relaxations in crystalline, paracrystalline, and glassy phases in polymers. J. Polym. Sci. Part C Polym. Symp. 2007, 15, 101–108. [Google Scholar] [CrossRef]
- Fischer, V.E.W.; Peterlin, A. Kernresonanzmessungen zur untersuchung der kettenbeweglichkeit in polyäthylen-einkristallen. Makromol. Chem. 1964, 74, 1–28. [Google Scholar] [CrossRef]
- Matyjaszewski, K.; Miller, P.J.; Shukla, N.; Immaraporn, B.; Gelman, A.; Luokala, B.B.; Siclovan, T.M.; Kickelbick, G.; Vallant, T.; Hoffmann, H.; et al. Polymers at interfaces: Using atom transfer radical polymerization in the controlled growth of homopolymers and block copolymers from silicon surfaces in the absence of untethered sacrificial initiator. Macromolecules 1999, 32, 8716–8724. [Google Scholar] [CrossRef]
- Illers, K.-H. Innere Rotationen in Festkörpern aus hoch- und niedrigmolekularen organischen Molekülen. Rheol. Acta 1964, 3, 202–212. [Google Scholar] [CrossRef]
- Crissman, J.M.; Passaglia, E. Mechanical relaxation in polychlorotrifluoroethylene. J. Polym. Sci. Part C Polym. Symp. 1966, 14, 237–245. [Google Scholar] [CrossRef]
- Sayre, J.A.; Swanson, S.R.; Boyd, R.H. The effect of pressure on the volume and the dielectric relaxation of linear polyethylene. J. Polym. Sci. Polym. Phys. Ed. 1978, 16, 1739–1759. [Google Scholar] [CrossRef]
- Nitta, K.-H.; Takayanagi, M. Novel proposal of lamellar clustering process for elucidation of tensile yield behavior of linear polyethylenes. J. Macromol. Sci. 2003, 42, 107–126. [Google Scholar] [CrossRef]
- Nitta, K.-H.; Kuriyagawa, M. Application of catastrophe theory to neck initiation of metallocene-catalyzed high-density polyethylene. Polymer J. 2012, 44, 245–251. [Google Scholar] [CrossRef]








| Sample Code | Lp/nm | R/μm | Tm/°C |
|---|---|---|---|
| HDPE | 26 | 2.0 | 132 |
| HDPE/nPW (95 w/5 w) | 26 | 1.9 | 132 |
| HDPE/nPW (90 w/10 w) | 26 | 1.8 | 130 |
| HDPE/nPW (80 w/20 w) | 27 | 2.7 | 128 |
| HDPE/iPW (95 w/5 w) | 26 | 1.8 | 133 |
| HDPE/iPW (90 w/10 w) | 26 | 1.9 | 132 |
| HDPE/iPW (80 w/20 w) | 27 | 1.9 | 130 |
Disclaimer/Publisher’s Note: The statements, opinions and data contained in all publications are solely those of the individual author(s) and contributor(s) and not of MDPI and/or the editor(s). MDPI and/or the editor(s) disclaim responsibility for any injury to people or property resulting from any ideas, methods, instructions or products referred to in the content. |
© 2023 by the authors. Licensee MDPI, Basel, Switzerland. This article is an open access article distributed under the terms and conditions of the Creative Commons Attribution (CC BY) license (https://creativecommons.org/licenses/by/4.0/).
Share and Cite
Ito, A.; Ropandi, A.; Kono, K.; Hiejima, Y.; Nitta, K.-h. Additive Effects of Solid Paraffins on Mechanical Properties of High-Density Polyethylene. Polymers 2023, 15, 1320. https://doi.org/10.3390/polym15051320
Ito A, Ropandi A, Kono K, Hiejima Y, Nitta K-h. Additive Effects of Solid Paraffins on Mechanical Properties of High-Density Polyethylene. Polymers. 2023; 15(5):1320. https://doi.org/10.3390/polym15051320
Chicago/Turabian StyleIto, Asae, Akid Ropandi, Koichi Kono, Yusuke Hiejima, and Koh-hei Nitta. 2023. "Additive Effects of Solid Paraffins on Mechanical Properties of High-Density Polyethylene" Polymers 15, no. 5: 1320. https://doi.org/10.3390/polym15051320
APA StyleIto, A., Ropandi, A., Kono, K., Hiejima, Y., & Nitta, K.-h. (2023). Additive Effects of Solid Paraffins on Mechanical Properties of High-Density Polyethylene. Polymers, 15(5), 1320. https://doi.org/10.3390/polym15051320

