Effect of TiO2 Nanoparticles and Extrusion Process on the Physicochemical Properties of Biodegradable and Active Cassava Starch Nanocomposites
Abstract
1. Introduction
2. Materials and Methods
2.1. Materials
2.2. Films Preparation
2.3. Films Characterization
2.3.1. FTIR
2.3.2. Scanning Electron Microscopy (SEM)
2.3.3. X-ray Diffraction (XRD)
2.3.4. Water Vapor Permeability (WVP)
2.3.5. Moisture Content (MC)
2.3.6. Contact Angle (θ)
2.3.7. Uniaxial Tensile Properties
2.3.8. Mathematical Modeling of KWW
2.3.9. UV-Vis
2.3.10. Biodegradability
2.3.11. Statistical Analysis
3. Results and Discussion
3.1. FTIR
3.2. Morphology
3.3. X-ray Diffraction
3.4. Water Vapor Permeability (WVP)
3.5. Moisture Content (MC)
3.6. Contact Angle (θ)
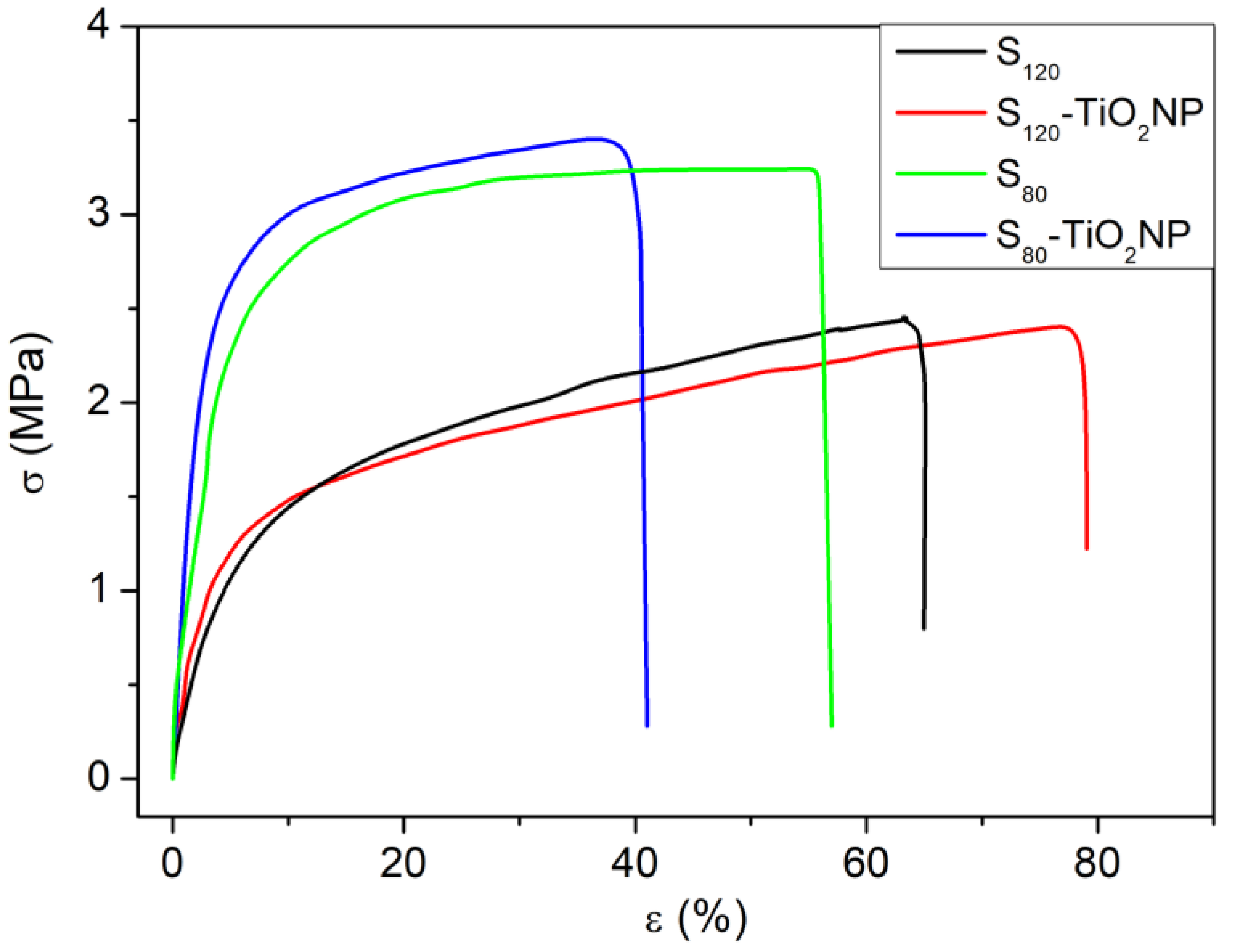
3.7. Uniaxial Tensile Properties
3.8. UV-Vis
3.9. Biodegradability
4. Conclusions
Supplementary Materials
Author Contributions
Funding
Institutional Review Board Statement
Data Availability Statement
Acknowledgments
Conflicts of Interest
References
- UN Environment Programme Single-Use Plastics: A Roadmap for Sustainability. Available online: http://www.unep.org/resources/report/single-use-plastics-roadmap-sustainability (accessed on 5 January 2023).
- Chamas, A.; Moon, H.; Zheng, J.; Qiu, Y.; Tabassum, T.; Jang, J.H.; Abu-Omar, M.; Scott, S.L.; Suh, S. Degradation rates of plastics in the environment. ACS Sustain. Chem. Eng. 2020, 8, 3494–3511. [Google Scholar] [CrossRef]
- Chen, Y.; Awasthi, A.K.; Wei, F.; Tan, Q.; Li, J. Single-use plastics: Production, usage, disposal, and adverse impacts. Sci. Total Environ. 2021, 752, 141772. [Google Scholar] [CrossRef] [PubMed]
- Notaro, S.; Lovera, E.; Paletto, A. Consumers’ Preferences for Bioplastic Products: A Discrete Choice Experiment with a Focus on Purchase Drivers. J. Clean. Prod. 2022, 330, 129870. [Google Scholar] [CrossRef]
- Castro Aguirre, E. Design and Construction of A Medium-Scale Automated Direct Measurement Respirometric System to Assess Aerobic Biodegradation of Polymers. Master’s Thesis, Michigan State University, East Lansing, MI, USA, 2013. [Google Scholar]
- ISO 17088; Plastics—Organic Recycling—Specifications for Compostable Plastics. ISO: Geneva, Switzerland, 2021.
- García, N.; Famá, L.; D’accorso, N.; Goyanes, S. Biodegradable Starch Nanocomposites. In Eco-Friendly Polymer Nanocomposites; Springer: New Delhi, India, 2015; Volume 75, pp. 17–77. [Google Scholar]
- Omerović, N.; Djisalov, M.; Živojević, K.; Mladenović, M.; Vunduk, J.; Milenković, I.; Knežević, N.Ž.; Gadjanski, I.; Vidić, J. Antimicrobial nanoparticles and biodegradable polymer composites for active food packaging applications. Compr. Rev. Food Sci. Food Saf. 2021, 20, 2428–2454. [Google Scholar] [CrossRef] [PubMed]
- Glaskova-Kuzmina, T.; Starkova, O.; Gaidukovs, S.; Platnieks, O.; Gaidukova, G. Durability of biodegradable polymer nanocomposites. Polymers 2021, 13, 3375. [Google Scholar] [CrossRef]
- Onyeaka, H.; Obileke, K.; Makaka, G.; Nwokolo, N. Current research and applications of starch-based biodegradable films for food packaging. Polymers 2022, 14, 1126. [Google Scholar] [CrossRef]
- Horstmann, S.W.; Lynch, K.M.; Arendt, E.K. Starch characteristics linked to gluten-free products. Foods 2017, 6, 29. [Google Scholar] [CrossRef]
- Ponnusamy, P.G.; Mani, S. Material and environmental properties of natural polymers and their composites for packaging applications—A review. Polymers 2022, 14, 4033. [Google Scholar] [CrossRef]
- García-Guzmán, L.; Cabrera-Barjas, G.; Soria-Hernández, C.G.; Castaño, J.; Guadarrama-Lezama, A.Y.; Rodríguez Llamazares, S. Progress in Starch-based materials for food packaging applications. Polysaccharides 2022, 3, 136–177. [Google Scholar] [CrossRef]
- Liu, H.; Xie, F.; Yu, L.; Chen, L.; Li, L. Thermal processing of starch-based polymers. Prog. Polym. Sci. 2009, 34, 1348–1368. [Google Scholar] [CrossRef]
- López, O.V.; García, M.A. Starch Films from a Novel (Pachyrhizus Ahipa) and conventional sources: Development and characterization. Mater. Sci. Eng. C 2012, 32, 1931–1940. [Google Scholar] [CrossRef] [PubMed]
- Tan, I.; Wee, C.C.; Sopade, P.A.; Halley, P.J. Estimating the specific heat capacity of starch-water-glycerol systems as a function of temperature and compositions. Starch-Stärke 2004, 56, 6–12. [Google Scholar] [CrossRef]
- Jbilou, F.; Ayadi, F.; Galland, S.; Joly, C.; Dole, P.; Belard, L.; Degraeve, P. Effect of Shear Stress Extrusion Intensity on Plasticized Corn Flour Structure: Proteins Role and Distribution. J. Appl. Polym. Sci. 2012, 123, 2177–2186. [Google Scholar] [CrossRef]
- Vedove, T.M.; Maniglia, B.C.; Tadini, C.C. Production of sustainable smart packaging based on cassava starch and anthocyanin by an extrusion process. J. Food Eng. 2021, 289, 110274. [Google Scholar] [CrossRef]
- González-Seligra, P.; Guz, L.; Ochoa-Yepes, O.; Goyanes, S.; Famá, L. Influence of extrusion process conditions on starch film morphology. LWT 2017, 84, 520–528. [Google Scholar] [CrossRef]
- Ceballos, R.L.; von Bilderling, C.; Guz, L.; Bernal, C.; Famá, L. Effect of greenly synthetized silver nanoparticles on the properties of active starch films obtained by extrusion and compression molding. Carbohydr. Polym. 2021, 261, 117871. [Google Scholar] [CrossRef]
- Priyadarshi, R.; Roy, S.; Ghosh, T.; Biswas, D.; Rhim, J.-W. Antimicrobial nanofillers reinforced biopolymer composite films for active food packaging applications—A review. Sustain. Mater. Technol. 2021, 32, e00353. [Google Scholar] [CrossRef]
- Abdollahzadeh, E.; Nematollahi, A.; Hosseini, H. Composition of antimicrobial edible films and methods for assessing their antimicrobial activity: A review. Trends Food Sci. Technol. 2021, 110, 291–303. [Google Scholar] [CrossRef]
- Yong, S.-S.; Lee, J.-I.; Kang, D.-H. TiO2-Based photocatalyst generated reactive oxygen species cause cell membrane disruption of Staphylococcus aureus and Escherichia Coli O157: H7. Food Microbiol. 2023, 109, 104119. [Google Scholar] [CrossRef]
- Sanches, P.L.; Geaquinto LR, D.O.; Cruz, R.; Schuck, D.C.; Lorencini, M.; Granjeiro, J.M.; Ribeiro AR, L. Toxicity evaluation of TiO2 nanoparticles on the 3D skin model: A systematic review. Front. Bioeng. Biotechnol. 2020, 8, 575. [Google Scholar] [CrossRef]
- Zhang, W.; Rhim, J.-W. Titanium Dioxide (TiO2) for the Manufacture of Multifunctional Active Food Packaging Films. Food Packag. Shelf Life 2022, 31, 100806. [Google Scholar] [CrossRef]
- FDA Summary of Color Additives for Use in the United States in Foods, Drugs, Cosmetics, and Medical Devices. Available online: https://www.fda.gov/industry/color-additive-inventories/summary-color-additives-use-united-states-foods-drugs-cosmetics-and-medical-devices#ftnote7 (accessed on 5 January 2023).
- Arezoo, E.; Mohammadreza, E.; Maryam, M.; Abdorreza, M.N. The synergistic effects of cinnamon Essential Oil and Nano TiO2 on antimicrobial and functional properties of sago starch films. Int. J. Biol. Macromol. 2020, 157, 743–751. [Google Scholar] [CrossRef] [PubMed]
- Goudarzi, V.; Shahabi-Ghahfarrokhi, I.; Babaei-Ghazvini, A. Preparation of ecofriendly UV-Protective food packaging material by Starch/TiO2 Bio-nanocomposite: Characterization. Int. J. Biol. Macromol. 2017, 95, 306–313. [Google Scholar] [CrossRef]
- Yousefi, A.R.; Savadkoohi, B.; Zahedi, Y.; Hatami, M.; Ako, K. Fabrication and characterization of hybrid sodium montmorillonite/TiO2 reinforced cross-linked wheat starch-based nanocomposites. Int. J. Biol. Macromol. 2019, 131, 253–263. [Google Scholar] [CrossRef] [PubMed]
- Oleyaei, S.A.; Zahedi, Y.; Ghanbarzadeh, B.; Moayedi, A.A. Modification of physicochemical and thermal properties of starch films by incorporation of TiO2 nanoparticles. Int. J. Biol. Macromol. 2016, 89, 256–264. [Google Scholar] [CrossRef]
- Xiong, J.; Sheng, C.; Wang, Q.; Guo, W. Toughened and water-resistant starch/TiO2 Bio-nanocomposites as an environment-friendly food packaging material. Mater. Res. Express 2019, 6, 055045. [Google Scholar] [CrossRef]
- Ceballos, R.L.; Ochoa-Yepes, O.; Goyanes, S.; Bernal, C.; Famá, L. Effect of yerba mate extract on the performance of starch films obtained by extrusion and compression molding as active and smart packaging. Carbohydr. Polym. 2020, 244, 116495. [Google Scholar] [CrossRef]
- Guz, L.; González-Seligra, P.; Ochoa-Yepes, O.; Estevez-Areco, S.; Famá, L.; Goyanes, S. Influence of different commercial modified cassava starches on the physicochemical properties of thermoplastic edible films obtained by flat-die extrusion. Starch-Stärke 2021, 73, 2000167. [Google Scholar] [CrossRef]
- Ochoa-Yepes, O.; Medina-Jaramillo, C.; Guz, L.; Famá, L. Biodegradable and edible starch composites with fiber-rich lentil flour to use as food packaging. Starch-Stärke 2018, 70, 1700222. [Google Scholar] [CrossRef]
- Famá, L.; Goyanes, S.; Gerschenson, L. Influence of storage time at room temperature on the physicochemical properties of cassava starch films. Carbohydr. Polym. 2007, 70, 265–273. [Google Scholar] [CrossRef]
- Mali, S.; Grossmann, M.V.E.; García, M.A.; Martino, M.N.; Zaritzky, N.E. Effects of controlled storage on thermal, mechanical and barrier properties of plasticized films from different starch sources. J. Food Eng. 2006, 75, 453–460. [Google Scholar] [CrossRef]
- Schmitt, H.; Guidez, A.; Prashantha, K.; Soulestin, J.; Lacrampe, M.; Krawczak, P. Studies on the effect of storage time and plasticizers on the structural variations in thermoplastic starch. Carbohydr. Polym. 2015, 115, 364–372. [Google Scholar] [CrossRef] [PubMed]
- Cheetham, N.W.; Tao, L. Variation in crystalline type with amylose content in maize starch granules: An X-Ray powder diffraction study. Carbohydr. Polym. 1998, 36, 277–284. [Google Scholar] [CrossRef]
- Grande, C.J.; Torres, F.G.; Gomez, C.M.; Troncoso, O.P.; Canet-Ferrer, J.; Martínez-Pastor, J. Development of self-assembled bacterial cellulose–starch nanocomposites. Mater. Sci. Eng. C 2009, 29, 1098–1104. [Google Scholar] [CrossRef]
- ASTM E-96; Standard Test Methods for Water Vapor Transmission of Materials. ASTM International: West Conshohocken, PA, USA, 2016.
- AOAC. Official Methods of Analysis; Association of official analytical chemists: Washington, DC, USA, 1995. [Google Scholar]
- ASTM D882-02; Standard Test Method for Tensile Properties of Thin Plastic Sheeting. ASTM International: West Conshohocken, PA, USA, 2002.
- Mano, J.F.; Viana, J. Effects of the strain rate and temperature in stress–strain tests: Study of the glass transition of a polyamide-6. Polym. Test. 2001, 20, 937–943. [Google Scholar] [CrossRef]
- Shamblin, S.L.; Hancock, B.C.; Dupuis, Y.; Pikal, M.J. Interpretation of relaxation time constants for amorphous pharmaceutical systems. J. Pharm. Sci. 2000, 89, 417–427. [Google Scholar] [CrossRef]
- BS EN ISO 14855-1:2012; Determination of the Ultimate Aerobic Biodegradability of Plastic Materials under Controlled Composting Conditions—Method by Analysis of Evolved Carbon Dioxide. ISO: Geneva, Switzerland, 2012.
- Kijchavengkul, T.; Auras, R.; Rubino, M.; Ngouajio, M.; Fernandez, R.T. Development of an Automatic Laboratory-Scale Respirometric System to Measure Polymer Biodegradability. Polym. Test. 2006, 25, 1006–1016. [Google Scholar] [CrossRef]
- Warren, F.J.; Gidley, M.J.; Flanagan, B.M. Infrared spectroscopy as a tool to characterise starch ordered structure—A joint FTIR–ATR, NMR, XRD and DSC Study. Carbohydr. Polym. 2016, 139, 35–42. [Google Scholar] [CrossRef]
- Medina-Jaramillo, C.; Quintero-Pimiento, C.; Díaz-Díaz, D.; Goyanes, S.; López-Córdoba, A. Improvement of andean blueberries postharvest preservation using carvacrol/alginate-edible coatings. Polymers 2020, 12, 2352. [Google Scholar] [CrossRef]
- Li, W.; Zheng, K.; Chen, H.; Feng, S.; Wang, W.; Qin, C. Influence of nano titanium dioxide and clove oil on chitosan–starch film characteristics. Polymers 2019, 11, 1418. [Google Scholar] [CrossRef]
- Phothisarattana, D.; Wongphan, P.; Promhuad, K.; Promsorn, J.; Harnkarnsujarit, N. Biodegradable Poly (Butylene Adipate-Co-Terephthalate) and thermoplastic starch-blended TiO2 nanocomposite blown films as functional active packaging of fresh fruit. Polymers 2021, 13, 4192. [Google Scholar] [CrossRef] [PubMed]
- van Soest, J.J.G.; Vliegenthart, J.F.G. Crystallinity in starch plastics: Consequences for material properties. Trends Biotechnol. 1997, 15, 208–213. [Google Scholar] [CrossRef] [PubMed]
- Morales, N.J.; Candal, R.; Famá, L.; Goyanes, S.; Rubiolo, G.H. Improving the physical properties of starch using a new kind of water dispersible nano-hybrid reinforcement. Carbohydr. Polym. 2015, 127, 291–299. [Google Scholar] [CrossRef] [PubMed]
- Lai, D.S.; Osman, A.F.; Adnan, S.A.; Ibrahim, I.; Ahmad Salimi, M.N.; Alrashdi, A.A. Effective aging inhibition of the thermoplastic corn starch films through the use of green hybrid filler. Polymers 2022, 14, 2567. [Google Scholar] [CrossRef] [PubMed]
- González-Seligra, P.; Goyanes, S.; Famá, L. Effect of the Incorporation of rich-amylopectin starch nano/micro particles on the physicochemical properties of starch-based nanocomposites developed by flat-die extrusion. Starch-Stärke 2022, 74, 2100080. [Google Scholar] [CrossRef]
- Famá, L.; Rojas, A.M.; Goyanes, S.; Gerschenson, L. Mechanical properties of tapioca-starch edible films containing sorbates. LWT-Food Sci. Technol. 2005, 38, 631–639. [Google Scholar] [CrossRef]
- Suh, J.H.; Ock, S.Y.; Park, G.D.; Lee, M.H.; Park, H.J. Effect of moisture content on the heat-sealing property of starch films from different botanical sources. Polym. Test. 2020, 89, 106612. [Google Scholar] [CrossRef]
- Ochoa-Yepes, O.; Ceballos, R.L.; Famá, L. Effect of wheat and oat bran on the physicochemical properties of edible starch-based films obtained by extrusion for food packaging applications. Starch-Stärke 2022, 75, 2200087. [Google Scholar] [CrossRef]
- Hajizadeh, H.; Peighambardoust, S.J.; Peighambardoust, S.H.; Peressini, D. Physical, mechanical, and antibacterial characteristics of bio-nanocomposite films loaded with Ag-modified SiO2 and TiO2 nanoparticles. J. Food Sci. 2020, 85, 1193–1202. [Google Scholar] [CrossRef]
- de Menezes, F.L.G.; de Lima Leite, R.H.; dos Santos, F.K.G.; Aria, A.I.; Aroucha, E.M.M. TiO2-enhanced chitosan/cassava starch biofilms for sustainable food packaging. Colloids Surf. Physicochem. Eng. Asp. 2021, 630, 127661. [Google Scholar] [CrossRef]
- Chen, X.; Mao, S.S. Titanium dioxide nanomaterials: Synthesis, properties, modifications, and applications. Chem. Rev. 2007, 107, 2891–2959. [Google Scholar] [CrossRef] [PubMed]
- Perotti, G.F.; Kijchavengkul, T.; Auras, R.A.; Constantino, V.R. Nanocomposites based on cassava starch and chitosan-modified clay: Physico-mechanical properties and biodegradability in simulated compost soil. J. Braz. Chem. Soc. 2017, 28, 649–658. [Google Scholar] [CrossRef]
- Iovino, R.; Zullo, R.; Rao, M.; Cassar, L.; Gianfreda, L. Biodegradation of Poly (Lactic Acid)/Starch/Coir Biocomposites under Controlled Composting Conditions. Polym. Degrad. Stab. 2008, 93, 147–157. [Google Scholar] [CrossRef]
- Briassoulis, D.; Mistriotis, A.; Mortier, N.; Tosin, M. A horizontal test method for biodegradation in soil of bio-based and conventional plastics and lubricants. J. Clean. Prod. 2020, 242, 118392. [Google Scholar] [CrossRef]
- Castro-Aguirre, E.; Auras, R.; Selke, S.; Rubino, M.; Marsh, T. Insights on the aerobic biodegradation of polymers by analysis of evolved carbon dioxide in simulated composting conditions. Polym. Degrad. Stab. 2017, 137, 251–271. [Google Scholar] [CrossRef]
- Luo, Y.; Lin, Z.; Guo, G. Biodegradation Assessment of Poly (Lactic Acid) Filled with functionalized titania nanoparticles (PLA/TiO2) under compost conditions. Nanoscale Res. Lett. 2019, 14, 56. [Google Scholar] [CrossRef]
- del Campo, A.; De Lucas-Gil, E.; Rubio-Marcos, F.; Arrieta, M.P.; Fernández-García, M.; Fernandez, J.F.; Muñoz-Bonilla, A. Accelerated disintegration of compostable ecovio polymer by using ZnO particles as filler. Polym. Degrad. Stab. 2021, 185, 109501. [Google Scholar] [CrossRef]
- Lizundia, E.; Ruiz-Rubio, L.; Vilas, J.; Leon, L. Towards the development of eco-friendly disposable polymers: ZnO-Initiated thermal and hydrolytic degradation in poly (L-Lactide)/ZnO nanocomposites. RSC Adv. 2016, 6, 15660–15669. [Google Scholar] [CrossRef]
- Qu, M.; Tu, H.; Amarante, M.; Song, Y.; Zhu, S.S. Zinc oxide nanoparticles catalyze rapid hydrolysis of poly (Lactic Acid) at low temperatures. J. Appl. Polym. Sci. 2014, 131, 40287. [Google Scholar] [CrossRef]
- Tang, Z.; Chen, C.; Xie, J. Development of antimicrobial active films based on poly (Vinyl Alcohol) containing Nano-TiO2 and its application in macrobrachium rosenbergii packaging. J. Food Process. Preserv. 2018, 42, e13702. [Google Scholar] [CrossRef]
- Sethy, N.K.; Arif, Z.; Mishra, P.K.; Kumar, P. Nanocomposite film with green synthesized TiO2 nanoparticles and hydrophobic polydimethylsiloxane polymer: Synthesis, characterization, and antibacterial test. J. Polym. Eng. 2020, 40, 211–220. [Google Scholar] [CrossRef]
- Zamir, S.S.; Fathi, B.; Ajji, A.; Robert, M.; Elkoun, S. Biodegradation of Modified starch/poly lactic acid nanocomposite in soil. Polym. Degrad. Stab. 2022, 199, 109902. [Google Scholar] [CrossRef]
- Cano, A.I.; Cháfer, M.; Chiralt, A.; González-Martínez, C. Biodegradation behavior of starch-PVA films as affected by the incorporation of different antimicrobials. Polym. Degrad. Stab. 2016, 132, 11–20. [Google Scholar] [CrossRef]
- Suriyatem, R.; Auras, R.A.; Rachtanapun, P. Improvement of mechanical properties and thermal stability of biodegradable rice starch–based films blended with carboxymethyl chitosan. Ind. Crops Prod. 2018, 122, 37–48. [Google Scholar] [CrossRef]
- Bher, A.; Unalan, I.U.; Auras, R.; Rubino, M.; Schvezov, C.E. Graphene modifies the biodegradation of Poly (Lactic Acid)-thermoplastic cassava starch reactive blend films. Polym. Degrad. Stab. 2019, 164, 187–197. [Google Scholar] [CrossRef]
- EN 13432; Packaging—Requirements for Packaging Recoverable through Composting and Biodegradation—Test Scheme and Evaluation Criteria for the Final Acceptance of Packaging. ISO: Geneva, Switzerland, 2012.









| Peaks (°) | Type | Relative Crystallinity (%) [±0.2] | |||
|---|---|---|---|---|---|
| S80 | S80-TiO2NP | S120 | S120-TiO2NP | ||
| 18 | A | 2.7 | 3.7 | 1.7 a | 2.0 a | 
| 19.6 | Vh | 2.0 a | 1.9 a | 2.7 | 2.0 a | 
| 25.1 | Titanium | 0 | 3.3 a | 0 | 3.4 a | 
| Total | A-B-Vh | 8.2 | 12.5 | 7.4 | 10.5 | 
| WVP | MC (%) [±1] | Θ (°) | |
|---|---|---|---|
| S80 | 1.1 ± 0.1 a | 18 a | 70 ± 3 a | 
| S120 | 1.3 ± 0.3 a | 22 | 70 ± 3 a | 
| S80-TiO2NP | 1.4 ± 0.4 a | 18 a | 64 ± 4 a | 
| S120-TiO2NP | 0.9 ± 0.1 a | 19 a | 77 ± 3 | 
| E (MPa) | σb (MPa) | εb (%) [±4] | T (MJ/m3) | τ* | β | |
|---|---|---|---|---|---|---|
| S80 | 81.5 ± 0.8 | 3.2 ± 0.3 a | 57 | 1.6 ± 0.2 a | 26.28 ± 0.03 | 0.820 ± 0.001 | 
| S120 | 39.6 ± 0.7 | 2.7 ± 0.2 a,b | 66 | 1.3 ± 0.1 a,b | 178 ± 2 | 0.511 ± 0.003 | 
| S80-TiO2NP | 87.3 ± 0.8 | 3.4 ± 0.3 a | 41 | 1.2 ± 0.1 b | 28.63 ± 0.07 | 1.000 ± 0.003 | 
| S120-TiO2NP | 48.5 ± 0.6 | 2.5 ± 0.3 b | 79 | 1.5 ± 0.5 a,b | 32.08 ± 0.3 | 0.634 ± 0.001 | 
| Disclaimer/Publisher’s Note: The statements, opinions and data contained in all publications are solely those of the individual author(s) and contributor(s) and not of MDPI and/or the editor(s). MDPI and/or the editor(s) disclaim responsibility for any injury to people or property resulting from any ideas, methods, instructions or products referred to in the content. | 
© 2023 by the authors. Licensee MDPI, Basel, Switzerland. This article is an open access article distributed under the terms and conditions of the Creative Commons Attribution (CC BY) license (https://creativecommons.org/licenses/by/4.0/).
Share and Cite
Iacovone, C.; Yulita, F.; Cerini, D.; Peña, D.; Candal, R.; Goyanes, S.; Pietrasanta, L.I.; Guz, L.; Famá, L. Effect of TiO2 Nanoparticles and Extrusion Process on the Physicochemical Properties of Biodegradable and Active Cassava Starch Nanocomposites. Polymers 2023, 15, 535. https://doi.org/10.3390/polym15030535
Iacovone C, Yulita F, Cerini D, Peña D, Candal R, Goyanes S, Pietrasanta LI, Guz L, Famá L. Effect of TiO2 Nanoparticles and Extrusion Process on the Physicochemical Properties of Biodegradable and Active Cassava Starch Nanocomposites. Polymers. 2023; 15(3):535. https://doi.org/10.3390/polym15030535
Chicago/Turabian StyleIacovone, Carolina, Federico Yulita, Daniel Cerini, Daniel Peña, Roberto Candal, Silvia Goyanes, Lía I. Pietrasanta, Lucas Guz, and Lucía Famá. 2023. "Effect of TiO2 Nanoparticles and Extrusion Process on the Physicochemical Properties of Biodegradable and Active Cassava Starch Nanocomposites" Polymers 15, no. 3: 535. https://doi.org/10.3390/polym15030535
APA StyleIacovone, C., Yulita, F., Cerini, D., Peña, D., Candal, R., Goyanes, S., Pietrasanta, L. I., Guz, L., & Famá, L. (2023). Effect of TiO2 Nanoparticles and Extrusion Process on the Physicochemical Properties of Biodegradable and Active Cassava Starch Nanocomposites. Polymers, 15(3), 535. https://doi.org/10.3390/polym15030535
 
        




 
       