Influence of the Ethanol Content of Adduct on the Comonomer Incorporation of Related Ziegler–Natta Catalysts in Propylene (Co)polymerizations
Abstract
:1. Introduction
2. Experimental Materials
3. Catalyst Synthesis Procedure
4. Propylene Polymerization
5. Computational Details
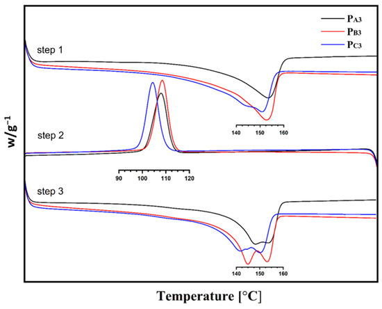
6. Results and Discussion
7. Conclusions
Supplementary Materials
Author Contributions
Funding
Institutional Review Board Statement
Data Availability Statement
Acknowledgments
Conflicts of Interest
References
- Makaryan, I.A.; Sedov, I.V. Analysis of the State and Development Prospects of the Industrial Catalysts Market for Polyolefins Production. Russ. J. Gen. Chem. 2020, 90, 1141–1162. [Google Scholar] [CrossRef]
- Nikolaeva, M.I.; Matsko, M.A.; Mikenas, T.B.; Echevskaya, L.G.; Zakharov, V.A. Copolymerization of ethylene with α-olefins over supported titanium-magnesium catalysts. II. Comonomer as a chain transfer agent. J. Appl. Polym. Sci. 2012, 125, 2042–2049. [Google Scholar] [CrossRef]
- Chammingkwan, P.; Bando, Y.; Mai, L.T.T.; Wada, T.; Thakur, A.; Terano, M.; Sinthusai, L.; Taniike, T. Less entangled ultrahigh-molecular-weight polyethylene produced by nano-dispersed Ziegler–Natta catalyst. Ind. Eng. Chem. Res. 2021, 60, 2818–2827. [Google Scholar] [CrossRef]
- Wang, W.; Chen, M.; Pang, W.; Li, Y.; Zou, C.; Chen, C. Palladium-Catalyzed Synthesis of Norbornene-Based Polar-Functionalized Polyolefin Elastomers. Macromolecules 2021, 54, 3197–3203. [Google Scholar] [CrossRef]
- Nifant’ev, I.E.; Shlyakhtin, A.V.; Tavtorkin, A.N.; Korchagina, S.A.; Chinova, M.S.; Vinogradov, A.A.; Vinogradov, A.A.; Roznyatovsky, V.A.; Khaidapova, D.D.; Ivchenko, P.V. The synthesis of ultra-high molecular weight poly(1-hexene)s by low-temperature Ziegler-Natta precipitation polymerization in fluorous reaction media. Polymer 2018, 139, 98–106. [Google Scholar] [CrossRef]
- Wolf, C.R.; de Camargo Forte, M.M.; dos Santos, J.H.Z. Characterization of the nature of chemical species of heterogeneous Ziegler–Natta catalysts for the production of HDPE. Catal. Today 2005, 107, 451–457. [Google Scholar] [CrossRef]
- Ribas-Massonis, A.; Cicujano, M.; Duran, J.; Besalú, E.; Poater, A. Free-Radical Photopolymerization for Curing Products for Refinish Coatings Market. Polymers 2022, 14, 2856. [Google Scholar] [CrossRef]
- Geyer, R.; Jambeck, J.R.; Law, K.L. Production, use, and fate of all plastics ever made. Sci. Adv. 2017, 3, e1700782. [Google Scholar] [CrossRef]
- Kusolsongtawee, T.; Bumroongsri, P. Two-stage modeling strategy for industrial fluidized bed reactors in gas-phase ethylene polymerization processes. Chem. Eng. Res. Des. 2018, 140, 68–81. [Google Scholar] [CrossRef]
- Capone, F.; Rongo, L.; Da Amore, M.; Budzelaar, P.H.M.; Busico, V. Periodic Hybrid DFT Approach (Including Dispersion) to MgCl2-Supported Ziegler–Natta Catalysts. 2. Model Electron Donor Adsorption on MgCl2 Crystal Surfaces. J. Phys. Chem. C 2013, 117, 24345–24353. [Google Scholar] [CrossRef]
- Ye, Z.Y.; Wang, L.; Feng, L.F.; Gu, X.P.; Chen, H.H.; Zhang, P.Y.; Pan, J.; Jiang, S.; Feng, L.X. Novel spherical Ziegler–Natta catalyst for polymerization and copolymerization. I. Spherical MgCl2 support. J. Polym. Sci. Part A Polym. Chem. 2002, 40, 3112–3119. [Google Scholar] [CrossRef]
- Wang, L.; Yu, H.J.; Ma, Z.L.; Ye, Z.Y.; Jiang, S.; Feng, L.F.; Gu, X.P. Preparation of novel MgCl2-adduct supported spherical Ziegler–Natta catalyst for α-olefin polymerization. J. Appl. Polym. Sci. 2006, 99, 945–948. [Google Scholar] [CrossRef]
- Bahri-Laleh, N.; Hanifpour, A.; Mirmohammadi, S.A.; Poater, A.; Nekoomanesh-Haghighi, M.; Talarico, G.; Cavallo, L. Computational modeling of heterogeneous Ziegler-Natta catalysts for olefins polymerization. Prog. Polym. Sci. 2018, 84, 89–114. [Google Scholar] [CrossRef]
- Hadian, N.; Hakim, S.; Nekoomanesh-Haghighi, M.; Bahri-Laleh, N. Storage time effect on dynamic structure of MgCl2.nEtOH adducts in heterogeneous Ziegler-Natta catalysts. Polyolefins J. 2014, 1, 33–41. [Google Scholar]
- Choi, J.H.; Chung, J.S.; Shin, H.W.; Song, I.K.; Lee, W.Y. The effect of alcohol treatment in the preparation of MgCl2 support by a recrystallization method on the catalytic activity and isotactic index for propylene polymerization. Eur. Polym. J. 1996, 32, 405–410. [Google Scholar] [CrossRef]
- Jalali Dil, E.; Pourmahdian, S.; Vatankhah, M.; Afshar Taromi, F. Effect of dealcoholation of support in MgCl2-supported Ziegler–Natta catalysts on catalyst activity and polypropylene powder morphology. Polym. Bull. 2010, 64, 445–457. [Google Scholar] [CrossRef]
- Bazvand, R.; Bahri-Laleh, N.; Abedini, H.; Nekoomanesh, M.; Poater, A. Chemical dealcoholation of MgCl2·EtOH adduct by Al-compounds and its effect on the performance of Ziegler-Natta catalysts. Appl. Organomet. Chem. 2023. [Google Scholar] [CrossRef]
- Shams, A.; Mehdizadeh, M.; Teimoury, H.; Emami, M.; Mirmohammadi, S.A.; Sadjadi, S.; Bardají, E.; Poater, A.; Bahri-Laleh, N. Effect of the pore architecture of Ziegler-Natta catalyst on its behavior in propylene/1-hexene copolymerization. J. Ind. Eng. Chem. 2022, 116, 359–370. [Google Scholar] [CrossRef]
- Neto, A.G.M.; Freitas, M.F.; Nele, M.; Pinto, J.C. Modeling ethylene/1-butene copolymerizations in industrial slurry reactors. Ind. Eng. Chem. Res. 2005, 44, 2697–2715. [Google Scholar] [CrossRef]
- Zhang, Y.; Jian, Z. 2-Phosphine-pyridine-N-oxide palladium and nickel catalysts for ethylene polymerization and copolymerization with polar monomers. Polymer 2020, 194, 122410. [Google Scholar] [CrossRef]
- Chen, K.; Liu, B.; Soares, J.B.P. Effect of Prepolymerization on the Kinetics of Ethylene Polymerization and Ethylene/1-Hexene Copolymerization with a Ziegler–Natta Catalyst in Slurry Reactors. Macromol. React. Eng. 2016, 10, 463–478. [Google Scholar] [CrossRef]
- Corradini, P.; Guerra, G.; Cavallo, L. Do new century catalysts unravel the mechanism of stereocontrol of old Ziegler− Natta catalysts? Acc. Chem. Res. 2004, 37, 231–241. [Google Scholar] [CrossRef] [PubMed]
- Frisch, M.J.; Trucks, G.W.; Schlegel, H.B.; Scuseria, G.E.; Robb, M.A.; Cheeseman, J.R.; Scalmani, G.; Barone, V.; Petersson, G.A.; Nakatsuji, H.; et al. Gaussian 16, Revision C.01; Gaussian, Inc.: Wallingford, CT, USA, 2016. [Google Scholar]
- Perdew, J.P. Density-functional approximation for the correlation energy of the inhomogeneous electron gas. Phys. Rev. B 1986, 33, 8822. [Google Scholar] [CrossRef] [PubMed]
- Becke, A.D. Density-functional exchange-energy approximation with correct asymptotic behavior. Phys. Rev. A 1988, 38, 3098–3100. [Google Scholar] [CrossRef]
- Grimme, S.; Antony, J.; Ehrlich, S.; Krieg, H. A consistent and accurate ab initio parametrization of density functional dispersion correction (DFT-D) for the 94 elements H-Pu. J. Chem. Phys. 2010, 132, 154104. [Google Scholar] [CrossRef] [PubMed]
- Weigend, F. Accurate Coulomb-fitting basis sets for H to Rn. Phys. Chem. Chem. Phys. 2006, 8, 1057–1065. [Google Scholar] [CrossRef] [PubMed]
- Weigend, F.; Ahlrichs, R. Balanced basis sets of split valence, triple zeta valence and quadruple zeta valence quality for H to Rn: Design and assessment of accuracy. Phys. Chem. Chem. Phys. 2005, 7, 3297–3305. [Google Scholar] [CrossRef]
- Costabile, C.; Milano, G.; Cavallo, L.; Longo, P.; Guerra, G.; Zambelli, A. Stereoselectivity and chemoselectivity in Ziegler-Natta polymerization of conjugated dienes. 2. Mechanism for 1,2 syndiotactic polymerization of diene monomers with high energy s-cis η4 coordination. Polymer 2004, 45, 467–485. [Google Scholar] [CrossRef]
- Rezaeian, A.; Hanifpour, A.; Teimoury, H.R.; Nekoomanesh-Haghighi, M.; Ahmadi, M.; Bahri-Laleh, N. Synthesis of highly spherical Ziegler–Natta catalyst by employing Span 80 as an emulsifier suitable for UHMWPE production. Polym. Bull. 2023, 80, 1625–1639. [Google Scholar] [CrossRef]
- Auriemma, F.; Daniel, C.; Golla, M.; Nagendra, B.; Rizzo, P.; Tarallo, O.; Guerra, G. Polymorphism of poly(2,6-dimethyl-1,4-phenylene) oxide (PPO): Co-crystalline and nanoporous-crystalline phases. Polymer 2022, 258, 125290. [Google Scholar] [CrossRef]
- Wada, T.; Thakur, A.; Chammingkwan, P.; Terano, M.; Taniike, T.; Piovano, A.; Groppo, E. Structural Disorder of Mechanically Activated δ-MgCl2 Studied by Synchrotron X-ray Total Scattering and Vibrational Spectroscopy. Catalysts 2020, 10, 1089. [Google Scholar] [CrossRef]
- Ghasemi Hamedani, N.; Arabi, H.; Poorsank, F. Towards the design of a mixture of diether and succinate as an internal donor in a MgCl2-supported Ziegler–Natta catalyst. New J. Chem. 2020, 44, 15758–15768. [Google Scholar] [CrossRef]
- Kumawat, J.; Gupta, V.K. Fundamental aspects of heterogeneous Ziegler–Natta olefin polymerization catalysis: An experimental and computational overview. Polym. Chem. 2020, 11, 6107–6128. [Google Scholar] [CrossRef]
- Blaakmeer, E.S.; Antinucci, G.; Busico, V.; van Eck, E.R.H.; Kentgens, A.P.M. Probing Interactions between Electron Donors and the Support in MgCl2-Supported Ziegler–Natta Catalysts. J. Phys. Chem. C 2016, 120, 6063–6074. [Google Scholar] [CrossRef]
- Tahmasbi, H.; Goedecker, S.; Ghasemi, S.A. Large-scale structure prediction of near-stoichiometric magnesium oxide based on a machine-learned interatomic potential: Crystalline phases and oxygen-vacancy ordering. Phys. Rev. Mater. 2021, 5, 083806. [Google Scholar] [CrossRef]
- Mikenas, T.B.; Zakharov, V.A.; Matsko, M.A. Kinetic features of ethylene polymerization over titanium–magnesium catalysts with different structures and morphology. Iran. Polym. J. 2022, 31, 471–484. [Google Scholar] [CrossRef]
- Faingol’d, E.E.; Saratovskikh, S.L.; Panin, A.N.; Babkina, O.N.; Zharkov, I.V.; Kapasharov, A.T.; Lashmanov, N.N.; Shilov, G.V.; Bravaya, N.M. Influence of reaction conditions on catalytic properties of rac-Et(2-MeInd)2ZrMe2/(2,6-tBu2PhO-)AliBu2 in ethylene-propylene copolymerization. Polyolefins J. 2023. [Google Scholar] [CrossRef]
- Di Noto, V.; Marigo, A.; Viviani, M.; Marega, C.; Bresadola, S.; Zannetti, R. MgCl2-supported Ziegler-Natta catalysts: Synthesis and X-ray diffraction characterization of some MgCl2-Lewis base adducts. Macromol. Chem. Phys. 1992, 193, 1653–1663. [Google Scholar] [CrossRef]
- Taniike, T.; Funako, T.; Terano, M. Multilateral characterization for industrial Ziegler–Natta catalysts toward elucidation of structure–performance relationship. J. Catal. 2014, 311, 33–40. [Google Scholar] [CrossRef]
- Taniike, T.; Chammingkwan, P.; Thang, V.Q.; Funako, T.; Terano, M. Validation of BET specific surface area for heterogeneous Ziegler-Natta catalysts based on αs-plot. Appl. Catal. A Gen. 2012, 437–438, 24–27. [Google Scholar] [CrossRef]
- Ahmadi, M.; Rezaei, F.; Mortazavi, S.M.M.; Entezam, M.; Stadler, F.J. Complex interplay of short- and long-chain branching on thermal and rheological properties of ethylene/α-olefin copolymers made by metallocene catalysts with oscillating ligand structure. Polymer 2017, 112, 43–52. [Google Scholar] [CrossRef]
- Masoori, M.; Nekoomanesh, M.; Posada-Pérez, S.; Rashedi, R.; Bahri-Laleh, N. A systematic study on the effect of co-catalysts composition on the performance of Ziegler-Natta catalyst in ethylene/1-butene co-polymerizations. Polymer 2022, 261, 1254. [Google Scholar] [CrossRef]
- Sozzani, P.; Bracco, S.; Comotti, A.; Simonutti, R.; Camurati, I. Stoichiometric Compounds of Magnesium Dichloride with Ethanol for the Supported Ziegler−Natta Catalysis: First Recognition and Multidimensional MAS NMR Study. J. Am. Chem. Soc. 2003, 125, 12881–12893. [Google Scholar] [CrossRef] [PubMed]
- Evangelisti, D.; Collina, G.; Fusco, O.; Sacchetti, M. Magnesium Dichloride-Ethanol Adduct and Catalyst Components Obtained therefrom. U.S. Patent 7087688 B2, 8 August 2006. [Google Scholar]
- Guyot, A.; Spitz, R.; Bobichon, C. Synthesis of polypropylene with improved MgCl2-supported Ziegler-Natta catalysts, including silane compounds as external bases. Makromol. Chem. 1989, 190, 707. [Google Scholar]
- Randall, J.C.; Ruff, C.J.; Vizzini, J.C.; Speca, A.N.; Burkhardt, T.J. Initial Insertion in Metallocene Polymerizations of Polypropylene. In Metalorganic Catalysts for Synthesis and Polymerisation; Kaminsky, W., Ed.; Springer: Berlin/Heidelberg, Germany, 1999; pp. 601–615. [Google Scholar]
- Sacco, F.D.; Gahleitner, M.; Wang, J.; Portale, G. Systematic investigation on the structure-property relationship in isotactic polypropylene films processed via cast film extrusion. Polymers 2020, 12, 1636. [Google Scholar] [CrossRef] [PubMed]
- Stukalov, D.V.; Zakharov, V.A.; Potapov, A.G.; Bukatov, G.D. Supported Ziegler–Natta catalysts for propylene polymerization. Study of surface species formed at interaction of electron donors and TiCl4 with activated MgCl2. J. Catal. 2009, 266, 39–49. [Google Scholar] [CrossRef]
- Härkönen, M.; Seppälä, J.V.; Chûjô, R.; Kogure, Y. External silane donors in Ziegler—Natta catalysis: A two-site model simulation of the effects of various alkoxysilane compounds. Polymer 1995, 36, 1499–1505. [Google Scholar] [CrossRef]
- Masoori, M.; Nekoomanesh, M.; Posada-Pérez, S.; Rashedi, R.; Bahri-Laleh, N. Exploring cocatalyst type effect on the Ziegler–Natta catalyzed ethylene polymerizations: Experimental and DFT studies. J. Polym. Res. 2022, 29, 197. [Google Scholar] [CrossRef]
- Ashuiev, A.; Humbert, M.; Norsic, S.; Blahut, J.; Gajan, D.; Searles, K.; Klose, D.; Lesage, A.; Pintacuda, G.; Raynaud, J.; et al. Spectroscopic Signature and Structure of the Active Sites in Ziegler–Natta Polymerization Catalysts Revealed by Electron Paramagnetic Resonance. J. Am. Chem. Soc. 2021, 143, 9791–9797. [Google Scholar] [CrossRef]
- Falivene, L.; Cao, Z.; Petta, A.; Serra, L.; Poater, A.; Oliva, R.; Scarano, V.; Cavallo, L. Towards the online computer-aided design of catalytic pockets. Nat. Chem. 2019, 11, 872–879. [Google Scholar] [CrossRef]
- Cheng, S.; Janimak, J.; Zhang, A.; Hsieh, E. Isotacticity effect on crystallization and melting in polypropylene fractions: 1. Crystalline structures and thermodynamic property changes. Polymer 1991, 32, 648. [Google Scholar] [CrossRef]
- Hamad, F.G.; Colby, R.H.; Milner, S.T. Onset of Flow-Induced Crystallization Kinetics of Highly Isotactic Polypropylene. Macromolecules 2015, 48, 3725–3738. [Google Scholar] [CrossRef]
- Liu, Y.; Bo, S. Characterization of the microstructure of biaxially oriented polypropylene using preparative temperature-rising elution fractionation. Int. J. Polym. Anal. Charact. 2003, 8, 225–243. [Google Scholar] [CrossRef]
- Przybyla, C.; Tesche, B.; Fink, G. Ethylene/hexene copolymerization with the heterogeneous catalyst system SiO2/MAO/rac-Me2Si [2-Me-4-Ph-Ind]2ZrCl2: The filter effect. Macromol. Rapid Commun. 1999, 20, 328–332. [Google Scholar] [CrossRef]
- Alshaiban, A.; Soares, J.B.P. Effect of Hydrogen and External Donor on Propylene Polymerization Kinetics with a 4th-Generation Ziegler-Natta Catalyst. Macromol. React. Eng. 2012, 6, 265–274. [Google Scholar] [CrossRef]
- Soares, J.B.P.; Hamielec, A. Deconvolution of chain-length distributions of linear polymers made by multiple-site-type catalysts. Polymer 1995, 36, 2257–2263. [Google Scholar] [CrossRef]
- Soares, J.B.P.; Hamielec, A. Kinetics of propylene polymerization with a non-supported heterogeneous Ziegler-Natta catalyst—Effect of hydrogen on rate of polymerization, stereoregularity, and molecular weight distribution. Polymer 1996, 37, 4607–4614. [Google Scholar] [CrossRef]
- Gedde, U.W. Polymer Physics; Chapman & Hall: London, UK, 1995. [Google Scholar]
- Di Girolamo, R.; Cicolella, A.; Talarico, G.; Scoti, M.; De Stefano, F.; Giordano, A.; Malafronte, A.; De Rosa, C. Structure and Morphology of Crystalline Syndiotactic Polypropylene-Polyethylene Block Copolymers. Polymers 2022, 14, 1534. [Google Scholar] [CrossRef] [PubMed]
- Böhm, L. Homo-and copolymerization with a highly active Ziegler–Natta catalyst. J. Appl. Polym. Sci. 1984, 29, 279–289. [Google Scholar] [CrossRef]
- Juan, R.; Paredes, B.; García-Muñoz, R.A.; Domínguez, C. Quantification of PP contamination in recycled PE by TREF analysis for improved the quality and circularity of plastics. Polym. Test. 2021, 100, 107273. [Google Scholar] [CrossRef]
- Nguyen, T.A.; Lim, H.M.; Kinashi, K.; Sakai, W.; Tsutsumi, N.; Okubayashi, S.; Hosoda, S.; Sato, T. Spin Trapping Analysis of Radical Intermediates on the Thermo-Oxidative Degradation of Polypropylene. Polymers 2023, 15, 200. [Google Scholar] [CrossRef]
- Patthamasang, S.; Jongsomjit, B.; Praserthdam, P. Efect of EtOH/MgCl2 molar ratios on the catalytic properties of MgCl2-SiO2/TiCl4 Ziegler–Natta catalyst for ethylene polymerization. Molecules 2011, 16, 8332–8342. [Google Scholar] [CrossRef]
- Dechant, J. Polymer Handbook, 3rd ed.; Brandrup, J., Immergut, E.H., Eds.; John Wiley & Sons: Hoboken, NJ, USA, 1989; ISBN 0-471-81244-7. [Google Scholar]
- Müller, A.J.; Arnal, M.L. Thermal fractionation of polymers. Prog. Polym. Sci. 2005, 30, 559–603. [Google Scholar] [CrossRef]
- Müller, A.J.; Lorenzo, A.T.; Arnal, M.L. Recent Advances and Applications of “Successive Self-Nucleation and Annealing”(SSA) High Speed Thermal Fractionation. Macromol. Symp. 2009, 277, 207–214. [Google Scholar] [CrossRef]
- Wunderlich, B.; Czornyj, G. GA study of equilibrium melting of polyethylene. Macromolecules 1977, 10, 906–913. [Google Scholar] [CrossRef]
- Bond, E.B.; Spruiell, J.E.; Lin, J.S. A WAXD/SAXS/DSC study on the melting behavior of Ziegler–Natta and metallocene catalyzed isotactic polypropylene. J. Polym. Sci. Part B Polym. Phys. 1999, 37, 3050–3064. [Google Scholar] [CrossRef]
- Iijima, M.; Strobl, G. Isothermal crystallization and melting of isotactic polypropylene analyzed by time-and temperature-dependent small-angle X-ray scattering experiments. Macromolecules 2000, 33, 5204–5214. [Google Scholar] [CrossRef]
- Kebritchi, A.; Nekoomanesh, M.; Mohammadi, F.; Khonakdar, H.; Wagenknecht, U. Thermal behavior of ethylene/1-octene copolymer fractions at high temperatures: Effect of hexyl branch content. Polyolefins J. 2019, 6, 127–138. [Google Scholar]
- Torabi, S.R.; Fazeli, N. A rapid quantitative method for determination of short chain branching content and branching distribution index in LLDPEs by DSC. Polym. Test. 2009, 28, 866–870. [Google Scholar] [CrossRef]












| Catalyst Type | Characteristic | 2θ Angle [°] (Related Plane) | ||||
|---|---|---|---|---|---|---|
| 50 (110) | 34 (104) | 32 (011) | 30 (012) | 15 (003) | ||
| Cat-A | d-Spacing [Å] | 1.84 | 2.63 | 2.72 | 2.86 | 5.69 |
| FWHM [°] | 0.47 | 0.55 | 0.62 | 0.29 | 0.62 | |
| Crystallite size [Å] | 186 | 151 | 134 | 284 | 129 | |
| Intensity [%] | 201 | 378 | 367 | 352 | 132 | |
| Cat-B | d-Spacing [Å] | 1.80 | - | 2.77 | - | 5.51 |
| FWHM [°] | 1.58 | - | 2.50 | - | 0.72 | |
| Crystallite size [Å] | 56 | - | 32 | - | 111 | |
| Intensity [%] | 109 | - | 351 | - | 99 | |
| Cat-C | d-Spacing [Å] | 1.77 | - | 2.67 | - | 5.40 |
| FWHM [°] | 1.88 | - | 5.70 | - | 1.06 | |
| Crystallite size [Å] | 47 | - | 15 | - | 76 | |
| Intensity [%] | 96 | - | 287 | - | 87 | |
| Sample | Surface Area (m2/g) | Total Pore Volume (cm3/g) | Average Pore Diameter (nm) | Adsorbed Gas Volume (cm3/g) |
|---|---|---|---|---|
| Cat-A | 20.21 | 0.108 | 21.51 | 4.64 |
| Cat-B | 69.5 | 0.131 | 7.56 | 15.9 |
| Cat-C | 141.6 | 0.153 | 4.32 | 32.5 |
| Sample | Ti (%) | Mg (%) | Cl (%) | O (%) | C (%) |
|---|---|---|---|---|---|
| Cat-A | 3.63 | 11.30 | 55.30 | 9.44 | 20.24 |
| Cat-B | 3.89 | 9.39 | 48.20 | 10.78 | 27.70 |
| Cat-C | 4.14 | 7.99 | 36.07 | 12.17 | 39.63 |
| Polymer Label | Catalyst Type | 1-Hexene (mL) | H2 (bar) | Activity kg PP/(g Ti.h) | II 2 | Mn (g/mol) | Ð |
|---|---|---|---|---|---|---|---|
| PA1 | Cat-A | - | - | 92.3 | 88 | 30,500 | 4.7 |
| PA2 | Cat-A | - | 3 | 128.7 | 82 | 20,800 | 4.8 |
| PA3 | Cat-A | 5 | 3 | 159.5 | 78 | 21,100 | 5.1 |
| PB1 | Cat-B | - | - | 114.4 | 90 | 28,900 | 5.2 |
| PB2 | Cat-B | - | 3 | 126.2 | 85 | 18,500 | 4.8 |
| PB3 | Cat-B | 5 | 3 | 146.5 | 74 | 19,200 | 5.1 |
| PC1 | Cat-C | - | - | 142.3 | 93 | 26,700 | 5.7 |
| PC2 | Cat-C | - | 3 | 158.2 | 89 | 17,400 | 5.2 |
| PC3 | Cat-C | 5 | 3 | 161.1 | 65 | 17,200 | 5.6 |
| Peak NO | Tm (°C) | lc (nm) | MSL | n (%) | ΔHm (J/g) | |
|---|---|---|---|---|---|---|
| PA3 | 1 | 163.4 | 10.61 | 49.00 | 12.35 | 88.15 |
| 2 | 157.9 | 8.58 | 39.60 | 40.07 | ||
| 3 | 151.1 | 6.91 | 31.93 | 12.00 | ||
| 4 | 139.3 | 5.21 | 24.07 | 35.56 | ||
| PB3 | 1 | 162.3 | 10.14 | 46.80 | 7.91 | 93.72 |
| 2 | 156.9 | 8.28 | 38.23 | 39.25 | ||
| 3 | 150.8 | 6.89 | 31.82 | 16.07 | ||
| 4 | 139.1 | 5.20 | 24.00 | 36.75 | ||
| PC3 | 1 | 155.7 | 7.98 | 36.83 | 31.74 | 58.04 |
| 2 | 150.7 | 6.87 | 31.73 | 28.48 | ||
| 3 | 139.7 | 5.26 | 24.27 | 39.76 |
| Ln (nm) | Lw (nm) | Lw/Ln | MSLn | MSLw | MSLw/MSLn | |
|---|---|---|---|---|---|---|
| PA3 | 6.50 | 6.95 | 1.068 | 34.3 | 36.5 | 1.06 |
| PB3 | 6.35 | 6.70 | 1.054 | 32.6 | 34.3 | 1.05 |
| PC3 | 6.17 | 6.37 | 1.019 | 30.3 | 31.3 | 1.03 |
Disclaimer/Publisher’s Note: The statements, opinions and data contained in all publications are solely those of the individual author(s) and contributor(s) and not of MDPI and/or the editor(s). MDPI and/or the editor(s) disclaim responsibility for any injury to people or property resulting from any ideas, methods, instructions or products referred to in the content. |
© 2023 by the authors. Licensee MDPI, Basel, Switzerland. This article is an open access article distributed under the terms and conditions of the Creative Commons Attribution (CC BY) license (https://creativecommons.org/licenses/by/4.0/).
Share and Cite
Mehdizadeh, M.; Karkhaneh, F.; Nekoomanesh, M.; Sadjadi, S.; Emami, M.; Teimoury, H.; Salimi, M.; Solà, M.; Poater, A.; Bahri-Laleh, N.; et al. Influence of the Ethanol Content of Adduct on the Comonomer Incorporation of Related Ziegler–Natta Catalysts in Propylene (Co)polymerizations. Polymers 2023, 15, 4476. https://doi.org/10.3390/polym15234476
Mehdizadeh M, Karkhaneh F, Nekoomanesh M, Sadjadi S, Emami M, Teimoury H, Salimi M, Solà M, Poater A, Bahri-Laleh N, et al. Influence of the Ethanol Content of Adduct on the Comonomer Incorporation of Related Ziegler–Natta Catalysts in Propylene (Co)polymerizations. Polymers. 2023; 15(23):4476. https://doi.org/10.3390/polym15234476
Chicago/Turabian StyleMehdizadeh, Mohammadreza, Fereshteh Karkhaneh, Mehdi Nekoomanesh, Samahe Sadjadi, Mehrsa Emami, HamidReza Teimoury, Mehrdad Salimi, Miquel Solà, Albert Poater, Naeimeh Bahri-Laleh, and et al. 2023. "Influence of the Ethanol Content of Adduct on the Comonomer Incorporation of Related Ziegler–Natta Catalysts in Propylene (Co)polymerizations" Polymers 15, no. 23: 4476. https://doi.org/10.3390/polym15234476
APA StyleMehdizadeh, M., Karkhaneh, F., Nekoomanesh, M., Sadjadi, S., Emami, M., Teimoury, H., Salimi, M., Solà, M., Poater, A., Bahri-Laleh, N., & Posada-Pérez, S. (2023). Influence of the Ethanol Content of Adduct on the Comonomer Incorporation of Related Ziegler–Natta Catalysts in Propylene (Co)polymerizations. Polymers, 15(23), 4476. https://doi.org/10.3390/polym15234476

