Complex Impedance and Modulus Analysis on Porous and Non-Porous Scaffold Composites Due to Effect of Hydroxyapatite/Starch Proportion
Abstract
1. Introduction
2. Materials and Methods
2.1. Preparation of Composites
2.2. Composite Characterization
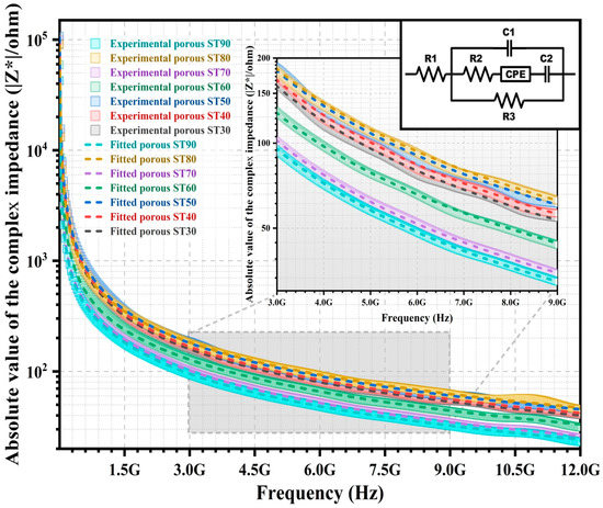
3. Results and Discussion
4. Conclusions
Author Contributions
Funding
Institutional Review Board Statement
Data Availability Statement
Acknowledgments
Conflicts of Interest
References
- Bin-Dahman, O.A.; Rahaman, M.; Khastgir, D.; Al-Harthi, M.A. Electrical and dielectric properties of poly (vinyl alcohol)/starch/graphene nanocomposites. Can. J. Chem. Eng. 2018, 96, 903–911. [Google Scholar] [CrossRef]
- Petrov, I.; Kalinkevich, O.; Pogorielov, M.; Kalinkevich, A.; Stanislavov, A.; Sklyar, A.; Danilchenko, S.; Yovcheva, T. Dielectric and electric properties of new chitosan-hydroxyapatite materials for biomedical application: Dielectric spectroscopy and corona treatment. Carbohydr. Polym. 2016, 151, 770–778. [Google Scholar] [CrossRef]
- Saji, J.; Khare, A.; Choudhary, R.N.P.; Mahapatra, S.P. Impedance analysis, dielectric relaxation, and electrical conductivity of multi-walled carbon nanotube-reinforced silicon elastomer nanocomposites. J. Elastomers Plast. 2015, 47, 394–415. [Google Scholar] [CrossRef]
- Singh, H.H.; Sharma, H.B. Impedance spectroscopy and transport properties of polymer-based flexible nanocomposites. Solid State Commun. 2020, 319, 114012. [Google Scholar] [CrossRef]
- Saba, S.; Mustafa, G.M.; Saleem, M.; Ramay, S.M.; Atiq, S. Ferroelectric polymer/ ceramic nanocomposites with low energy losses. Polym. Compos. 2020, 41, 3271–3281. [Google Scholar] [CrossRef]
- Ponmani, S.; Selvakumar, K.; Ramesh Prabhu, M. The effect of the geikeilite (MgTiO3) nanofiller concentration in PVdF-HFP/PVAc-based polymer blend electrolytes for magnesium ion battery. Ionics 2020, 26, 2353–2369. [Google Scholar] [CrossRef]
- Beh, C.Y.; Cheng, E.M.; Nasir, N.M.; Khor, S.F.; Eng, S.K.; Majid, M.A.; Ridzuan, M.J.M.; Lee, K.Y. Low Frequency Dielectric and Optical Behavior on Physicochemical Properties of Hydroxyapatite/Cornstarch Composite. J. Colloid Interface Sci. 2021, 600, 187–198. [Google Scholar] [CrossRef]
- Das, A.; Pamu, D. A comprehensive review on electrical properties of hydroxyapatite based ceramic composites. Mater. Sci. Eng. C 2019, 101, 539–563. [Google Scholar] [CrossRef]
- Beh, C.Y.; Cheng, E.M.; Mohd Nasir, N.F.; Majid, A.; Mohd Roslan, M.R.; You, K.Y.; Khor, S.F.; M Ridzuan, M.J. Fabrication and characterization of three-dimensional porous cornstarch/n-HAp biocomposite scaffold. Bull. Mater. Sci. 2020, 43, 1–9. [Google Scholar] [CrossRef]
- Saji, J.; Khare, A.; Mahapatra, S.P. Impedance and Dielectric Spectroscopy of Nano-graphite Reinforced Silicon Elastomer Nanocomposites. Fibers Polym. 2015, 16, 883–893. [Google Scholar] [CrossRef]
- Atiq, S.; Majeed, M.; Ahmad, A.; Abbas, S.K.; Saleem, M.; Riaz, S.; Naseem, S. Synthesis and investigation of structural, morphological, magnetic, dielectric and impedance spectroscopic characteristics of Ni-Zn ferrite nanoparticles. Ceram. Int. 2017, 43, 2486–2494. [Google Scholar] [CrossRef]
- Momin, A.A.; Parvin, R.; Shahjahan, M.; Islam, M.; Tanaka, H.; Hossain, A.K.M. Interplay between the ferrimagnetic and ferroelectric phases on the large magnetoelectric coupling of xLi0.1Ni0.2 Mn0.6Fe2.1O4–(1 − x) Bi0.8Dy0.2FeO3 composites. J. Mater. Sci. Mater. Electron. 2020, 31, 511–525. [Google Scholar] [CrossRef]
- Kilic, M.; Karabul, Y.; Özdemir, Z.G.; Misirlioğlu, B.S.; Icelli, O. Improved Dielectric and Electrical Properties of PANI Achieved by Using Low Cost Mineral Additive. IEEE Trans. Dielectr. Electr. Insul. 2019, 26, 300–307. [Google Scholar] [CrossRef]
- Miah, M.J.; Hossain, A.K.M. Magnetic, Dielectric and Complex Impedance Properties of xBa0.95Sr0.05TiO3 –(1 − x) BiFe0.9Gd0.1O3 Multiferroic Ceramics. Acta Metall. Sin. (Engl. Lett.) 2016, 29, 505–517. [Google Scholar] [CrossRef]
- Saha, M.; Mukhopadhyay, M.; Ray, R. Impact of gamma irradiation on porosity and pore distribution of poly [ethylene-oxide] films: Correlation with dielectric and microstructural properties. Indian J. Phys. 2018, 92, 325–336. [Google Scholar] [CrossRef]
- Dhaouadi, H.; Fadhalaoui, A.; Mdani, A. Structural and electrical properties of nanostructured cerium phosphate. Ionics 2014, 20, 857–866. [Google Scholar] [CrossRef]
- Verma, M.L.; Sahu, H.D. Study on ionic conductivity and dielectric properties of PEO-based solid nanocomposite polymer electrolytes. Ionics 2017, 23, 2339–2350. [Google Scholar] [CrossRef]
- Alghunaim, N.S. Effect of CuO nanofiller on the spectroscopic properties, dielectric permittivity and dielectric modulus of CMC/PVP nanocomposites. J. Mater. Res. Technol. 2019, 8, 3596–3602. [Google Scholar] [CrossRef]
- Sahmani, S.; Khandan, A.; Saber-Samandari, S.; Aghdam, M.M. Effect of magnetite nanoparticles on the biological and mechanical properties of hydroxyapatite porous scaffolds coated with ibuprofen drug. Mater. Sci. Eng. C 2020, 111, 110835. [Google Scholar] [CrossRef]
- Farazin, A.; Akbari Aghdam, H.; Motififard, M.; Aghadavoudi, F.; Kordjamshidi, A.; Saber-Samandari, S.; Esmaeili, S.; Khandan, A. A polycaprolactone bio-nanocomposite bone substitute fabricated for femoral fracture approaches: Molecular dynamic and micro-mechanical Investigation. J. Nanoanalysis 2019, 6, 172–184. [Google Scholar] [CrossRef]
- Heydary, H.A.; Karamian, E.; Poorazizi, E.; Heydaripour, J.; Khandan, A. Electrospun of polymer/bioceramic nanocomposite as a new soft tissue for biomedical applications. J. Asian Ceram. Soc. 2015, 3, 417–425. [Google Scholar] [CrossRef]
- Heydary, H.A.; Karamian, E.; Poorazizi, E.; Khandan, A.; Heydaripour, J. A Novel Nano-Fiber of Iranian Gum Tragacanth-Polyvinyl Alcohol/Nanoclay Composite for Wound Healing Applications. Procedia Mater. Sci. 2015, 11, 176–182. [Google Scholar] [CrossRef]
- Khan, S.N.; Saqib, A.N.S.; Arshad, M.; Atiq, S.; Naseem, S. Structurally modulated dielectric relaxation in rhombohedral Cr2O3 mediated by Mn addition. J. Mater. Sci. Mater. Electron. 2019, 30, 3378–3385. [Google Scholar] [CrossRef]
- Ramesh, S. Structural and functional properties of sol-gel synthesized and microwave heated Pb0.8Co0.2-zLazTiO3 (z = 0.05–0.2) nanoparticles. Ceram. Int. 2018, 44, 19408–19420. [Google Scholar] [CrossRef]
- Oliveira, R.G.M.; Romeu, M.C.; Costa, M.M.; Silva, P.M.O.; Junqueira, C.C.M.; Sombra, A.S.B. Impedance spectroscopy study of Na2Nb4O11 ceramic matrix by the addition of Bi2O3. J. Alloys Compd. 2014, 584, 295–302. [Google Scholar] [CrossRef]
- Mazumdar, S.C.; Khan, M.N.I.; Islam, M.F.; Hossain, A.A. Tuning of magnetoelectric coupling in (1-y) Bi0.8Dy0.2FeO3–yNi0.5Zn0.5Fe2O4 multiferroic composites. J. Magn. Magn. Mater. 2016, 401, 443–454. [Google Scholar] [CrossRef]
- Rout, A.; Agrawal, S. Investigation of electrical conduction in Ca6-xNa2Y2(SiO4)6F2: xEu3+ ceramic by complex impedance and electric modulus spectroscopy. Ceram. Int. 2021, 47, 7032–7044. [Google Scholar] [CrossRef]
- Chauhan, C.C.; Kagdi, A.R.; Jotania, R.B.; Upadhyay, A.; Sandhu, C.S.; Shirsath, S.E.; Meena, S.S. Structural, magnetic and dielectric properties of Co-Zr substituted M-type calcium hexagonal ferrite nanoparticles in the presence of α-Fe2O3 phase. Ceram. Int. 2018, 44, 17812–17823. [Google Scholar] [CrossRef]
- Ali, A.; Jameel, M.H.; Uddin, S.; Zaman, A.; Iqbal, Z.; Gul, Q.; Sultana, F.; Mushtaq, M.; Althubeiti, K.; Ullah, R. The Effect of Ca Dopant on the Electrical and Dielectric Properties of BaTi4O9 Sintered Ceramics. Materials 2021, 14, 5375. [Google Scholar] [CrossRef]
- Ishaq, S.; Kanwal, F.; Atiq, S.; Moussa, M.; Losic, D. Synthesis of three phase graphene/titania/polydimethylsiloxane nanocomposite fi lms and revealing their dielectric and impedance properties. Ceram. Int. 2019, 45, 8713–8720. [Google Scholar] [CrossRef]
- Iqbal, M.A.; Islam, M.U.; Ali, I.; Sadiq, I.; Ali, I. High frequency dielectric properties of Eu+3-substituted Li–Mg ferrites synthesized by sol–gel auto-combustion method. J. Alloys Compd. 2014, 586, 404–410. [Google Scholar] [CrossRef]
- Song, S.; Wang, X.; Xiao, P. Effect of microstructural features on the electrical properties of TiO2. Mater. Sci. Eng. B 2002, 94, 40–47. [Google Scholar] [CrossRef]
- Choudhary, S. Structural, optical, dielectric and electrical properties of (PEO–PVP)–ZnO nanocomposites. J. Phys. Chem. Solids 2018, 121, 196–209. [Google Scholar] [CrossRef]
- Hadi, J.M.; Aziz, S.B.; Mustafa, M.S.; Hamsan, M.H.; Abdulwahid, R.T.; Kadir, M.F.; Ghareeb, H.O. Role of nano-capacitor on dielectric constant enhancement in PEO: NH 4 SCN: xCeO 2 polymer nano-composites: Electrical and electrochemical properties. J. Mater. Res. Technol. 2020, 9, 9283–9294. [Google Scholar] [CrossRef]
- Dash, C.; Das, A.; Bisoyi, D.K. Influence of pretreatment on mechanical and dielectric properties of short sunn hemp fiber-reinforced polymer composite in correlation with fine structure of the fiber. J. Compos. Mater. 2020, 54, 3313–3327. [Google Scholar] [CrossRef]
- Wong, Y.J.; Hassan, J.; Hashim, M. Dielectric properties, impedance analysis and modulus behavior of CaTiO3 ceramic prepared by solid state reaction. J. Alloys Compd. 2013, 571, 138–144. [Google Scholar] [CrossRef]
- Qu, Y.; Du, Y.; Fan, G.; Xin, J.; Liu, Y.; Xie, P.; You, S.; Zhang, Z.; Sun, K.; Fan, R. Low-temperature sintering Graphene/ CaCu3Ti4O12 nanocomposites with tunable negative permittivity. J. Alloys Compd. 2019, 771, 699–710. [Google Scholar] [CrossRef]
- Dash, K.; Hota, N.K.; Sahoo, B.P. Fabrication of thermoplastic polyurethane and polyaniline conductive blend with improved mechanical, thermal and excellent dielectric properties: Exploring the effect of ultralow-level loading of SWCNT and temperature. J. Mater. Sci. 2020, 55, 12568–12591. [Google Scholar] [CrossRef]
- Riaz, A.; ul Ain, Q.; Kanwal, F.; Ishaq, S.; Khan, A.R.; Mustafa, G.M.; Abbas, S.K.; Naseem, S.; Ramay, S.M.; Atiq, S. Identification of frequency regimes for short and long range mobility of charge carriers in GO/MnFe2O4/PPy nanocomposites. Synth. Met. 2020, 263, 116336. [Google Scholar] [CrossRef]
- Sharma, S.C.; Prashantha, S.C.; Shivakumara, C. Role of Cu2+ ions substitution in magnetic and conductivity behavior of nano-CoFe2O4. Spectrochim. Acta Part A Mol. Biomol. Spectrosc. 2014, 132, 256–262. [Google Scholar] [CrossRef]
- Majeed, A.; Khan, M.A.; Lodhi, M.Y.; Ahmad, R.; Ahmad, I. Structural, microwave permittivity, and complex impedance studies of cation (Cr, Bi, Al, In) substituted SrNi-X hexagonal nano-sized ferrites. Ceram. Int. 2020, 46, 1907–1915. [Google Scholar] [CrossRef]
- Mısırlıoğlu, B.S.; Özdemir, Z.G.; Aksakal, B.; Salt, Y.; Tırnakçı, B.; Denktaş, C. Polyvinyl Alcohol/EuBa2Ca2Cu3O9-x Composites: Dielectric and Mechanical Properties. J. Inorg. Organomet. Polym. Mater. 2018, 28, 1968–1979. [Google Scholar] [CrossRef]
- Chen, J.; Chen, J.; Yao, X.; Chen, Z.; Liu, X.; Huang, Z. Effect of sintering temperature on electrical properties of SiC/ZrB2 ceramics. J. Eur. Ceram. Soc. 2018, 38, 3083–3088. [Google Scholar] [CrossRef]
- Hu, X.; Shi, C.; Liu, X.; Zhang, Z. Studying the effect of alkali dosage on microstructure development of alkali-activated slag pastes by electrical impedance spectroscopy (EIS). Constr. Build. Mater. 2020, 261, 119982. [Google Scholar] [CrossRef]
- Choudhary, S.; Sengwa, R.J. Investigation on Structural and Dielectric Properties of Silica Nanoparticles Incorporated Poly (Ethylene Oxide)/Poly(Vinyl Pyrrolidone) Blend Matrix Based Nanocomposites. J. Inorg. Organomet. Polym. Mater. 2019, 29, 592–607. [Google Scholar] [CrossRef]
- Sengwa, R.J.; Choudhary, S. Dielectric and electrical properties of PEO-Al2O3 nanocomposites. J. Alloys Compd. 2017, 701, 652–659. [Google Scholar] [CrossRef]







| Proportion (wt%) | |||
|---|---|---|---|
| Composite | Hydroxyapatite | Starch | Porosity (%) |
| ST30 | 70 | 30 | 62.22 ± 0.43 |
| ST40 | 60 | 40 | 63.96 ± 0.89 |
| ST50 | 50 | 50 | 66.36 ± 0.78 |
| ST60 | 40 | 60 | 64.72 ± 0.44 |
| ST70 | 30 | 70 | 65.53 ± 0.67 |
| ST80 | 20 | 80 | 66.56 ± 0.54 |
| ST90 | 10 | 90 | 65.77 ± 0.33 |
| Composite | R1 | R2 | R3 | C1 | C2 | CPE | χ2 |
|---|---|---|---|---|---|---|---|
| Ω | F | Fsn−1 | |||||
| Non-porous ST30 | 0.26 | 22.8 | 0.75 × 104 | 0.10 × 10−10 | - | 12.95 × 10−11 | 0.005 |
| Non-porous ST40 | 0.28 | 22.0 | 0.16 × 105 | 0.93 × 10−11 | - | 10.60 × 10−11 | 0.005 |
| Non-porous ST50 | 0.28 | 22.0 | 0.20 × 105 | 0.84 × 10−11 | - | 10.20 × 10−11 | 0.005 |
| Non-porous ST60 | 0.33 | 22.0 | 0.21 × 105 | 0.80 × 10−11 | - | 90.00 × 10−12 | 0.005 |
| Non-porous ST70 | 0.37 | 21.0 | 0.22 × 105 | 0.65 × 10−11 | - | 80.00 × 10−12 | 0.004 |
| Non-porous ST80 | 0.40 | 19.0 | 0.25 × 105 | 0.55 × 10−11 | - | 60.00 × 10−12 | 0.004 |
| Non-porous ST90 | 0.44 | 19.0 | 0.32 × 105 | 0.39 × 10−11 | - | 37.00 × 10−12 | 0.003 |
| Porous ST30 | 2.15 | 19.5 | 9.80 × 108 | 31.35 × 10−14 | 40.50 × 10−15 | 15.60 × 10−13 | 0.011 |
| Porous ST40 | 2.20 | 19.5 | 9.50 × 108 | 29.95 × 10−14 | 40.50 × 10−15 | 12.40 × 10−13 | 0.016 |
| Porous ST50 | 2.30 | 19.5 | 9.50 × 108 | 27.67 × 10−14 | 40.95 × 10−15 | 12.23 × 10−13 | 0.025 |
| Porous ST60 | 1.60 | 10.6 × 102 | 1.29 × 105 | 39.80 × 10−14 | 21.00 × 10−14 | 13.30 × 10−12 | 0.008 |
| Porous ST70 | 2.10 | 10.6 × 102 | 1.30 × 105 | 50.98 × 10−14 | 50.00 × 10−14 | 18.55 × 10−12 | 0.005 |
| Porous ST80 | 3.45 | 22.0 × 102 | 5.98 × 105 | 28.20 × 10−14 | 87.00 × 10−15 | 91.00 × 10−13 | 0.006 |
| Porous ST90 | 2.10 | 10.5 × 102 | 1.25 × 105 | 54.66 × 10−14 | 50.00 × 10−14 | 18.55 × 10−12 | 0.007 |
Disclaimer/Publisher’s Note: The statements, opinions and data contained in all publications are solely those of the individual author(s) and contributor(s) and not of MDPI and/or the editor(s). MDPI and/or the editor(s) disclaim responsibility for any injury to people or property resulting from any ideas, methods, instructions or products referred to in the content. |
© 2023 by the authors. Licensee MDPI, Basel, Switzerland. This article is an open access article distributed under the terms and conditions of the Creative Commons Attribution (CC BY) license (https://creativecommons.org/licenses/by/4.0/).
Share and Cite
Beh, C.Y.; Cheng, E.M.; Tan, X.J.; Mohd Nasir, N.F.; Abdul Majid, M.S.; Mohd Jamir, M.R.; Khor, S.F.; Lee, K.Y.; Mohamad, C.W.S.R. Complex Impedance and Modulus Analysis on Porous and Non-Porous Scaffold Composites Due to Effect of Hydroxyapatite/Starch Proportion. Polymers 2023, 15, 320. https://doi.org/10.3390/polym15020320
Beh CY, Cheng EM, Tan XJ, Mohd Nasir NF, Abdul Majid MS, Mohd Jamir MR, Khor SF, Lee KY, Mohamad CWSR. Complex Impedance and Modulus Analysis on Porous and Non-Porous Scaffold Composites Due to Effect of Hydroxyapatite/Starch Proportion. Polymers. 2023; 15(2):320. https://doi.org/10.3390/polym15020320
Chicago/Turabian StyleBeh, Chong You, Ee Meng Cheng, Xiao Jian Tan, Nashrul Fazli Mohd Nasir, Mohd Shukry Abdul Majid, Mohd Ridzuan Mohd Jamir, Shing Fhan Khor, Kim Yee Lee, and Che Wan Sharifah Robiah Mohamad. 2023. "Complex Impedance and Modulus Analysis on Porous and Non-Porous Scaffold Composites Due to Effect of Hydroxyapatite/Starch Proportion" Polymers 15, no. 2: 320. https://doi.org/10.3390/polym15020320
APA StyleBeh, C. Y., Cheng, E. M., Tan, X. J., Mohd Nasir, N. F., Abdul Majid, M. S., Mohd Jamir, M. R., Khor, S. F., Lee, K. Y., & Mohamad, C. W. S. R. (2023). Complex Impedance and Modulus Analysis on Porous and Non-Porous Scaffold Composites Due to Effect of Hydroxyapatite/Starch Proportion. Polymers, 15(2), 320. https://doi.org/10.3390/polym15020320

