Scott Blair Fractional-Type Viscoelastic Behavior of Thermoplastic Polyurethane
Abstract
:1. Introduction
2. Material and Sample Preparation
3. Constitutive Models for Viscoelastic Characterization of Time-Dependent Behavior
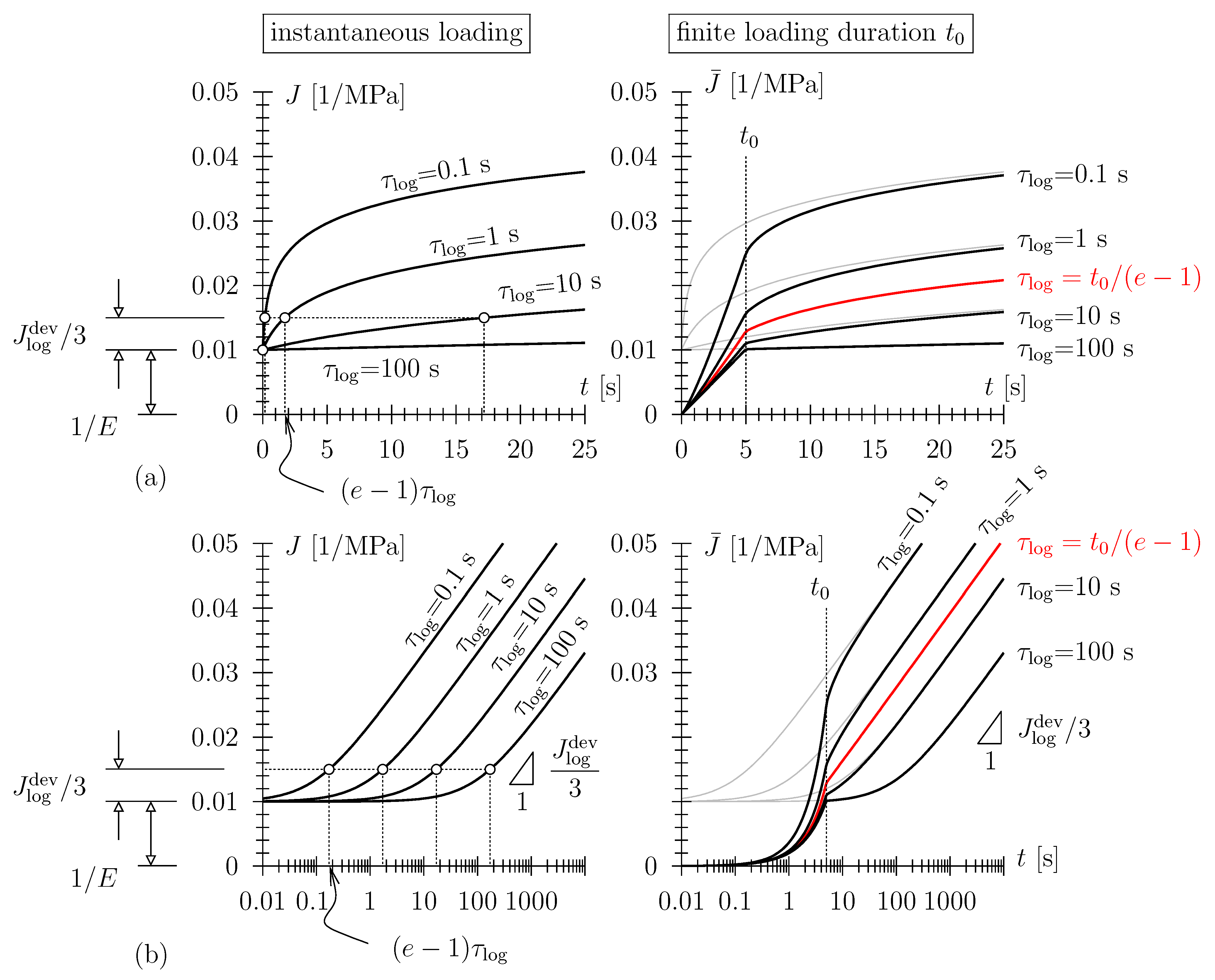
3.1. Consideration of a Loading Ramp for Analysis of Creep Test
3.2. Lomnitz Element
3.3. Scott Blair Element
4. Uniaxial Tensile Creep Experiments
- For three different target stresses of = 0.3, 0.5, and 0.7 MPa = const.;
- With a loading ramp characterized by a constant rate of an applied stress of = 0.1 MPa/s, hence the loading duration can be determined as ;
- With a duration of the dwelling phase of 5000 s;
- At three different temperature levels, at 15, 25, and 35 C;
- At sample mass equilibrium associated to different sample enclosing humidities of h = 0, 40, 60, and 80%, resulting in the physisorbed water contents given in Table 1.
5. Results
6. Discussion
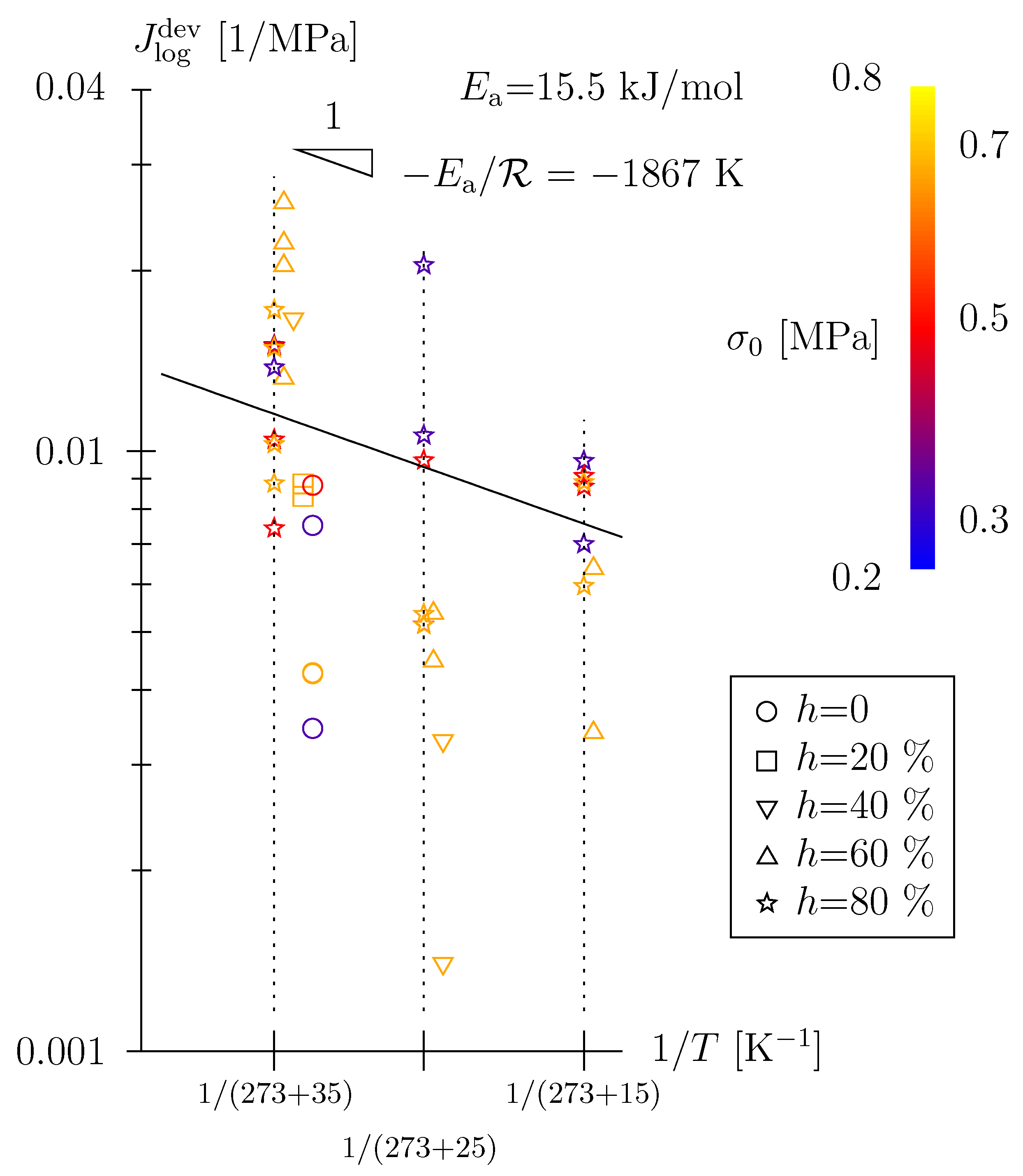
- A load-induced breakage of carbamate H-bonds in the dry state (see Figure 1a, high temperature + low humidity) and a rearrangement of these H-bonds (no physisorbed water involved);
- A breakage of physisorbed water H-bonds (see Figure 1b–d, high humidity, all investigated temperatures), a “microdiffusion” to potential bonding sites and a re-establishment of urethane–water–urethane H-bonds. This breakage/microdiffusion/rearrangement process is characterized by = 15.5 kJ/mol (see Figure 9), which is significantly larger than , characterizing a quasi-instantaneous, Scott Blair-type material response.
7. Summary and Concluding Remarks
Author Contributions
Funding
Institutional Review Board Statement
Data Availability Statement
Conflicts of Interest
Appendix A
Appendix A.1. Laplace–Carson Transformation
Appendix A.2. Mechano-Sorptive Coupling Effects Relevant in Creep Experiments
Appendix B
| h (%) | T (C) | (MPa) | (MPa) | (MPa) | (s) | |
|---|---|---|---|---|---|---|
| 0 | 15 | 0.3 | 0.1065 | 0.05550 | ||
| 0 | 15 | 0.3 | 0.1030 | 0.05390 | ||
| 0 | 15 | 0.3 | 0.1124 | 0.05624 | ||
| 0 | 15 | 0.5 | 0.1498 | 0.06795 | ||
| 0 | 15 | 0.5 | 0.1197 | 0.06134 | ||
| 0 | 15 | 0.7 | 0.1281 | 0.06621 | ||
| 0 | 15 | 0.7 | 0.1191 | 0.06315 | ||
| 0 | 25 | 0.3 | 0.1095 | 0.04975 | ||
| 0 | 25 | 0.3 | 0.1127 | 0.05599 | ||
| 0 | 25 | 0.5 | 0.1126 | 0.05015 | ||
| 0 | 25 | 0.5 | 0.1131 | 0.04860 | ||
| 0 | 25 | 0.7 | 0.1199 | 0.05476 | ||
| 0 | 25 | 0.7 | 0.1185 | 0.05707 | ||
| 0 | 35 | 0.3 | 0.1235 | 0.04822 | 0.003452 | 44.0 |
| 0 | 35 | 0.3 | 0.1294 | 0.05455 | 0.007519 | 116.1 |
| 0 | 35 | 0.5 | 0.1552 | 0.05518 | 0.008770 | 188.9 |
| 0 | 35 | 0.5 | 0.1192 | 0.05921 | ||
| 0 | 35 | 0.7 | 0.1614 | 0.06720 | 0.004256 | 380.8 |
| 0 | 35 | 0.7 | 0.1756 | 0.06980 | 0.004270 | 302.4 |
| 20 | 35 | 0.7 | 0.1526 | 0.06933 | 0.008408 | 570.1 |
| 20 | 35 | 0.7 | 0.1420 | 0.07189 | 0.008813 | 398.2 |
| 40 | 15 | 0.7 | 0.1113 | 0.06461 | ||
| 40 | 15 | 0.7 | 0.1045 | 0.05176 | ||
| 40 | 25 | 0.7 | 0.1184 | 0.05773 | 0.003291 | 86.7 |
| 40 | 25 | 0.7 | 0.1227 | 0.05657 | 0.001401 | 68.7 |
| 40 | 35 | 0.7 | 0.1454 | 0.05723 | 0.016617 | 693.6 |
| 60 | 15 | 0.7 | 0.1322 | 0.06342 | 0.003394 | 645.0 |
| 60 | 15 | 0.7 | 0.1193 | 0.07409 | ||
| 60 | 15 | 0.7 | 0.1525 | 0.06356 | 0.006377 | 142.2 |
| 60 | 25 | 0.7 | 0.1516 | 0.06955 | 0.004467 | 82.2 |
| 60 | 25 | 0.7 | 0.1276 | 0.05978 | 0.005368 | 213.1 |
| 60 | 35 | 0.7 | 0.1787 | 0.07364 | 0.022216 | 565.7 |
| 60 | 35 | 0.7 | 0.1738 | 0.07191 | 0.025955 | 516.9 |
| 60 | 35 | 0.7 | 0.1491 | 0.07481 | 0.013237 | 399.8 |
| 60 | 35 | 0.7 | 0.1664 | 0.07116 | 0.020380 | 629.0 |
| h (%) | T (C) | (MPa) | (MPa) | (MPa) | (s) | |
|---|---|---|---|---|---|---|
| 80 | 15 | 0.3 | 0.1242 | 0.05172 | 0.009627 | 119.2 |
| 80 | 15 | 0.3 | 0.1228 | 0.04807 | 0.007002 | 169.3 |
| 80 | 15 | 0.5 | 0.1150 | 0.04642 | 0.009094 | 438.3 |
| 80 | 15 | 0.5 | 0.1138 | 0.04872 | 0.008729 | 571.5 |
| 80 | 15 | 0.7 | 0.1204 | 0.05780 | 0.005961 | 319.9 |
| 80 | 15 | 0.7 | 0.1189 | 0.05426 | 0.008882 | 460.2 |
| 80 | 25 | 0.3 | 0.1501 | 0.05526 | 0.020429 | 147.9 |
| 80 | 25 | 0.3 | 0.1328 | 0.05084 | 0.010625 | 105.8 |
| 80 | 25 | 0.5 | 0.1348 | 0.04695 | 0.005140 | 123.8 |
| 80 | 25 | 0.5 | 0.1291 | 0.05033 | 0.009656 | 156.1 |
| 80 | 25 | 0.7 | 0.1360 | 0.05217 | 0.005354 | 82.1 |
| 80 | 25 | 0.7 | 0.1391 | 0.05197 | 0.005134 | 152.6 |
| 80 | 35 | 0.3 | 0.1382 | 0.04498 | 0.013790 | 240.3 |
| 80 | 35 | 0.3 | 0.1364 | 0.04833 | 0.015013 | 250.5 |
| 80 | 35 | 0.5 | 0.1393 | 0.04506 | 0.010454 | 481.9 |
| 80 | 35 | 0.5 | 0.1473 | 0.05515 | 0.014963 | 246.0 |
| 80 | 35 | 0.5 | 0.1425 | 0.05226 | 0.007438 | 128.9 |
| 80 | 35 | 0.7 | 0.1423 | 0.05055 | 0.010274 | 392.2 |
| 80 | 35 | 0.7 | 0.1538 | 0.05272 | 0.008839 | 291.3 |
| 80 | 35 | 0.7 | 0.1594 | 0.06704 | 0.017200 | 544.9 |
| 80 | 35 | 0.7 | 0.1552 | 0.07142 | 0.014856 | 403.7 |
References
- Mollica, F.; Ventre, M.; Sarracino, F.; Ambrosio, L.; Nicolais, L. Mechanical properties and modelling of a hydrophilic composite used as a biomaterial. Compos. Sci. Technol. 2006, 66, 92–101. [Google Scholar] [CrossRef]
- Xu, D.H.; Liu, F.; Pan, G.; Zhao, Z.G.; Yang, X.; Shi, H.C.; Luan, S.F. Softening and hardening of thermal plastic polyurethane blends by water absorbed. Polymer 2021, 218, 123498. [Google Scholar] [CrossRef]
- Possart, W.; Zimmer, B. Water in polyurethane networks: Physical and chemical ageing effects and mechanical parameters. Contin. Mech. Thermodyn. 2022, 5, 1–27. [Google Scholar] [CrossRef]
- Pichler, C.; Oberparleiter, S.; Lackner, R. Surrounding water vapor induced diffusion and physisorption of water within thermoplastic polyurethane TPU samples: A critical analysis of DVS data. Polym. Test. 2023, 120, 107962. [Google Scholar] [CrossRef]
- Bagley, R.L.; Torvik, P.J. A Theoretical Basis for the Application of Fractional Calculus to Viscoelasticity. J. Rheol. 1983, 27, 201–210. [Google Scholar] [CrossRef]
- Koeller, R.C. Applications of Fractional Calculus to the Theory of Viscoelasticity. J. Appl. Mech. 1984, 51, 299–307. [Google Scholar] [CrossRef]
- Mainardi, F.; Spada, G. Creep, relaxation and viscosity properties for basis fractional models in rheology. Eur. Phys. J. Spec. Top. 2011, 193, 133–160. [Google Scholar] [CrossRef]
- Di Paola, M.; Pirrotta, A.; Valenza, A. Visco-elastic behavior through fractional calculus: An easier method for best fitting experimental results. Mech. Mater. 2011, 43, 799–806. [Google Scholar] [CrossRef]
- Sevostianov, I.; Levin, V.; Radi, E. Effective viscoelastic properties of short-fiber reinforced composites. Int. J. Eng. Sci. 2016, 100, 61–73. [Google Scholar] [CrossRef]
- Davis, M.; Thompson, N. Creep in a precipitation-hardened alloy. Proc. Phys. Soc. Lond. B 1950, 63, 847–860. [Google Scholar] [CrossRef]
- Wyatt, O.H. Transient creep in pure metals. Proc. Phys. Soc. Lond. B 1953, 66, 459–480. [Google Scholar] [CrossRef]
- Lomnitz, C. Creep measurements in igneous rocks. J. Geol. 1956, 64, 473–479. [Google Scholar] [CrossRef]
- Lomnitz, C. Linear dissipation in solids. J. Appl. Phys. 1957, 28, 201–205. [Google Scholar] [CrossRef]
- Lomnitz, C. Application of logarithmic creep law to stress wave attenuation in solid earth. J. Geophys. Res. 1962, 67, 365–367. [Google Scholar] [CrossRef]
- Nutting, P.G. A new general law of deformation. J. Frankl. Inst. 1921, 191, 679–685. [Google Scholar] [CrossRef]
- Scott Blair, G.W.; Veinoglou, B.C. A Study of the Firmness of Soft Materials Based on Nuttingś Equation. J. Sci. Instruments 1944, 21, 149. [Google Scholar] [CrossRef]
- Scott Blair, G.W.; Veinoglou, B.C.; Caffyn, J.E. Limitations of the Newtonian Time Scale in Relation to Non-Equilibrium Rheological States and a Theory of Quasi-Properties. Proc. R. Soc. London. Ser. A Math. Phys. Sci. 1947, 189, 69–87. [Google Scholar]
- Scott Blair, G.W.; Caffyn, J.E. An application of the theory of quasi-properties to the treatment of anomalous strain-stress relations. Philos. Mag. VII Ser. 1949, 40, 80–94. [Google Scholar] [CrossRef]
- Deng, R.; Davies, P.; Bajaj, A.K. Flexible polyurethane foam modelling and identification of viscoelastic parameters for automotive seating applications. J. Sound Vib. 2003, 262, 391–417. [Google Scholar] [CrossRef]
- Azizi, Y.; Davies, P.; Bajaj, A.K. Identification of nonlinear viscoelastic models of flexible polyurethane foam from uniaxial compression data. ASME J. Eng. Mater. Technol. 2016, 138, 021008. [Google Scholar] [CrossRef]
- Zheng, Y.; Shangguan, W.B.; Liu, X.A. Modeling of a quasi-zero static stiffness mount fabricated with TPU materials using fractional derivative model. Mech. Syst. Signal Process. 2022, 177, 109258. [Google Scholar] [CrossRef]
- Neubauer, M.; Pohl, M.; Kucher, M.; Böhm, R.; Höschler, K.; Modler, N. DMA of TPU films and the modelling of their viscoelastic properties for noise reduction in jet engines. Polymers 2022, 14, 5285. [Google Scholar] [CrossRef] [PubMed]
- Maier, M.; Pichler, C.; Lackner, R. Viscoelastic response of closed-cell polyurethane foams from half hour-long creep tests: Identification of Lomnitz behavior. ASME J. Eng. Mater. Technol. 2019, 141, 021001. [Google Scholar]
- Su, X.; Yao, D.; Xu, W. A new method for formulating linear viscoelastic models. Int. J. Eng. Sci. 2020, 156, 103375. [Google Scholar] [CrossRef]
- Bazant, Z.P.; Prasannan, S. Solidification theory for concrete creep. I: Formulation. J. Eng. Mech. 1989, 115, 1691–1703. [Google Scholar] [CrossRef]
- Bažant, Z.P.; Hauggard, A.B.; Baweja, S.; Ulm, F.J. Microprestress solidification theory for concrete creep, Part I: Aging and drying effects. J. Eng. Mech. (ASCE) 1997, 123, 1188–1194. [Google Scholar] [CrossRef]
- Acker, P.; Ulm, F.J. Creep and shrinkage of concrete: Physical origins and practical measurements. Nucl. Eng. Des. 2001, 203, 148–158. [Google Scholar] [CrossRef]
- Pichler, C.; Lackner, R.; Mang, H.A. Multiscale model for creep of shotcrete—From logarithmic-type viscous behavior of CSH at the μm-scale to macroscopic tunnel analysis. J. Adv. Concr. Technol. 2008, 6, 91–110. [Google Scholar] [CrossRef]
- Pichler, C.; Lackner, R. Identification of logarithmic-type creep of calcium-silicate-hydrates by means of nanoindentation. Strain 2009, 45, 17–25. [Google Scholar] [CrossRef]
- Hofer, U.; Pichler, C.; Maderebner, R.; Lackner, R. Lomnitz-type viscoelastic behavior of clear spruce wood as identified by creep and relaxation experiments: Influence of moisture content and elevated temperatures up to 80 degrees Celcius. Wood Sci. Technol. 2019, 53, 765–783. [Google Scholar] [CrossRef]
- Pandey, V.; Holm, S. Linking the fractional derivative and the Lomnitz creep law to non-Newtonian time-varying viscosity. Phys. Rev. E 2016, 94, 032606. [Google Scholar] [CrossRef] [PubMed]
- Mainardi, F.; Spada, G. On the viscoelastic characterization of the Jeffreys-Lomnitz law of creep. Rheol. Acta 2012, 51, 783–791. [Google Scholar] [CrossRef]
- Garra, R.; Mainardi, F.; Spada, G. A generalization of the Lomnitz logarithmic creep law via Hadamard fractional calculus. Chaos Solitons Fractals 2017, 102, 333–338. [Google Scholar] [CrossRef]
- Marquardt, D.W. An algorithm for least-squares estimation of nonlinear parameters. J. Soc. Ind. Appl. Math. 1963, 11, 431–441. [Google Scholar] [CrossRef]
- Press, H.P.; Flannery, B.P.; Teukolsky, S.A.; Vetterling, W.T. Numerical Recipes in Fortran 77: The Art of Scientific Computing, 2nd ed.; Cambridge University Press: Cambridge, UK, 1992. [Google Scholar]
- Moreland, J.C.; Wilkes, G.L.; Turner, R.B. Viscoelastic behavior of flexible slabstock polyurethane foams as a function of temperature and relative humidity. II. Compressive creep behavior. J. Appl. Polym. Sci. 1994, 52, 569–576. [Google Scholar] [CrossRef]
- Xia, H.; Song, M.; Zhang, Z.; Richardson, M. Microphase separation, stress relaxation, and creep behavior of polyurethane nanocomposites. J. Appl. Polym. Sci. 2007, 103, 2992–3002. [Google Scholar] [CrossRef]
- Moreland, J.C.; Wilkes, G.L.; Turner, R.B. Viscoelastic behavior of flexible slabstock polyurethane foams—Dependence on temperature and relative humidity. I. Tensile and compression stress (load) relaxation. J. Appl. Polym. Sci. 1994, 52, 549–568. [Google Scholar] [CrossRef]









| Sample Enclosing Humidity h (%) | Water Content (–) |
|---|---|
| 0 | 0 |
| 20 | 0.0025 |
| 40 | 0.0053 |
| 60 | 0.0091 |
| 80 | 0.0135 |
| T = 35 C | T = 25 C | T = 15 C | |
|---|---|---|---|
| h = 0 | SB + L | SB | SB |
| h = 20% | SB + L | no data | no data |
| h = 40% | SB + L | SB + L | SB |
| h = 60% | SB + L | SB + L | SB + L |
| h = 80% | SB + L | SB + L | SB + L |
Disclaimer/Publisher’s Note: The statements, opinions and data contained in all publications are solely those of the individual author(s) and contributor(s) and not of MDPI and/or the editor(s). MDPI and/or the editor(s) disclaim responsibility for any injury to people or property resulting from any ideas, methods, instructions or products referred to in the content. |
© 2023 by the authors. Licensee MDPI, Basel, Switzerland. This article is an open access article distributed under the terms and conditions of the Creative Commons Attribution (CC BY) license (https://creativecommons.org/licenses/by/4.0/).
Share and Cite
Pichler, C.; Oberparleiter, S.; Lackner, R. Scott Blair Fractional-Type Viscoelastic Behavior of Thermoplastic Polyurethane. Polymers 2023, 15, 3770. https://doi.org/10.3390/polym15183770
Pichler C, Oberparleiter S, Lackner R. Scott Blair Fractional-Type Viscoelastic Behavior of Thermoplastic Polyurethane. Polymers. 2023; 15(18):3770. https://doi.org/10.3390/polym15183770
Chicago/Turabian StylePichler, Christian, Stefan Oberparleiter, and Roman Lackner. 2023. "Scott Blair Fractional-Type Viscoelastic Behavior of Thermoplastic Polyurethane" Polymers 15, no. 18: 3770. https://doi.org/10.3390/polym15183770
APA StylePichler, C., Oberparleiter, S., & Lackner, R. (2023). Scott Blair Fractional-Type Viscoelastic Behavior of Thermoplastic Polyurethane. Polymers, 15(18), 3770. https://doi.org/10.3390/polym15183770

