Strength and Deformation Characteristics of Fiber and Cement-Modified Waste Slurry
Abstract
:1. Introduction
2. Materials and Methods
2.1. Materials
2.2. Specimen Preparation
2.3. Test Scheme
3. Results and Discussion
3.1. Strength Characteristics
3.1.1. Stress–Strain Curves
3.1.2. UCS
3.1.3. Elastic Modulus
3.1.4. Ratio of Modulus to Strength
3.2. Dynamic Characteristics
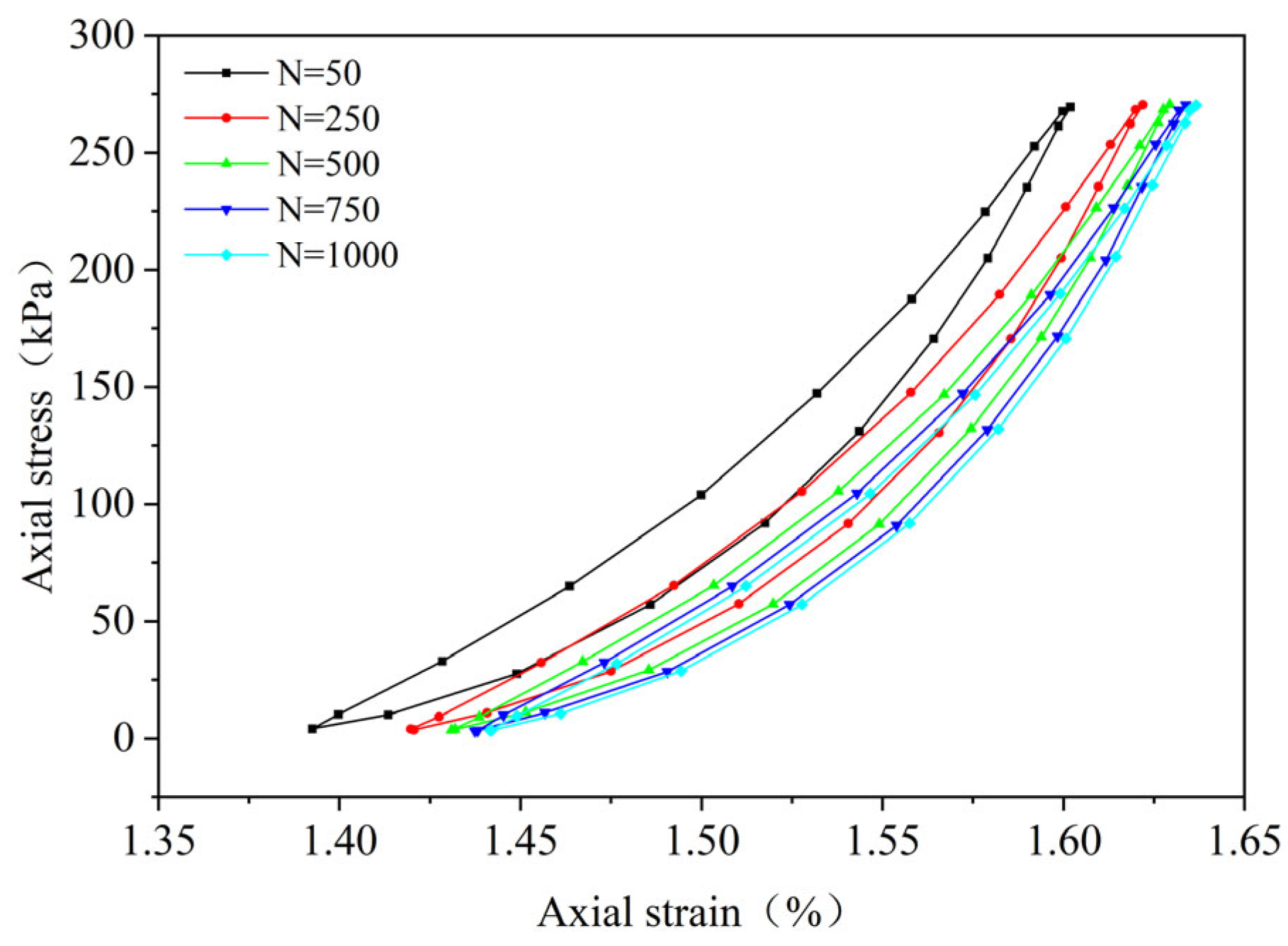
3.2.1. Hysteretic Curves
3.2.2. Dynamic Elastic Modulus
3.2.3. Damping Ratio
3.3. Deformation Characteristics
3.3.1. Cumulative Plastic Strain
3.3.2. Cumulative Deformation Prediction
4. Conclusions
Author Contributions
Funding
Institutional Review Board Statement
Data Availability Statement
Conflicts of Interest
References
- Singh, M.; Trivedi, A.; Shukla, S.K. Strength enhancement of the subgrade soil of unpaved road with geosynthetic reinforcement layers. Transp. Geotech. 2019, 19, 54–60. [Google Scholar] [CrossRef]
- Wang, H.; Guo, J.; Liu, W.; Song, H.; Yan, T.; Fu, D. Use of COVID-19 personal protective equipment pollutants to improve physical properties of silty sand in Yellow River flooded area. Front. Environ. Sci. 2022, 10, 1011685. [Google Scholar] [CrossRef]
- Audo, M.; Mahieux, P.-Y.; Turcry, P. Utilization of sludge from ready-mixed concrete plants as a substitute for limestone fillers. Constr. Build. Mater. 2016, 112, 790–799. [Google Scholar] [CrossRef]
- Yao, K.; Li, N.; Chen, D.-H.; Wang, W. Generalized hyperbolic formula capturing curing period effect on strength and stiffness of cemented clay. Constr. Build. Mater. 2019, 199, 63–71. [Google Scholar] [CrossRef]
- Elghali, A.; Benzaazoua, M.; Bussière, B.; Genty, T. In Situ Effectiveness of Alkaline and Cementitious Amendments to Stabilize Oxidized Acid-Generating Tailings. Minerals 2019, 9, 314. [Google Scholar] [CrossRef]
- Lehua, W.; Yunzhi, T.; Hongxing, W.; Rui, K. Solidification of High Organic Matter Content Sludge by Cement, Lime and Metakaolin. Period. Polytech. Civ. Eng. 2018, 9, 53–62. [Google Scholar]
- Liu, Y.; Jiang, Y.J.; Xiao, H.; Lee, F.H. Determination of representative strength of deep cement-mixed clay from core strength data. Géotechnique 2017, 67, 350–364. [Google Scholar] [CrossRef]
- Haofeng, X.; Feng, X.; Feng, Z. Improvement for the Strength of Salt-rich Soft Soil Reinforced by Cement. Mar. Georesour. Geotec. 2017, 36, 38–42. [Google Scholar] [CrossRef]
- Choobbasti, A.; Soleimani Kutanaei, S. Microstructure characteristics of cement-stabilized sandy soil using nanosilica. J. Rock Mech. Geotech. Eng. 2017, 9, 981–988. [Google Scholar] [CrossRef]
- Jiang, P.; Zhou, L.; Wang, Y.; Qian, B.; Wang, W.; Li, N.; Zhang, F. Freeze–Thaw Damage Model of Polypropylene Fiber Reinforced Cement Stabilized Waste Construction Slurry under Uniaxial Action. Minerals 2021, 11, 743. [Google Scholar] [CrossRef]
- Yao, K.; Xiao, H.; Chen, D.-H.; Liu, Y. A direct assessment for the stiffness development of artificially cemented clay. Géotechnique 2019, 69, 741–747. [Google Scholar] [CrossRef]
- Anagnostopoulos, C.A. Strength properties of an epoxy resin and cement-stabilized silty clay soil. Appl. Clay Sci. 2015, 114, 517–529. [Google Scholar] [CrossRef]
- Liu, Y.; Lee, F.-H.; Quek, S.; Chen, E.; Yi, J.T. Effect of spatial variation of strength and modulus on the lateral compression response of cement-admixed clay slab. Géotechnique 2015, 65, 851–865. [Google Scholar] [CrossRef]
- He, X.; Zheng, Z.; Ma, M.; Su, Y.; Yang, J.; Tan, H.; Wang, Y.; Strnadel, B. New treatment technology: The use of wet-milling concrete slurry waste to substitute cement. J. Clean. Prod. 2020, 242, 118347. [Google Scholar] [CrossRef]
- Li, N.; Zhu, Q.; Wang, W.; Song, F.; An, D.; Yan, H. Compression Characteristics and Microscopic Mechanism of Coastal Soil Modified with Cement and Fly Ash. Materials 2019, 12, 3182. [Google Scholar] [CrossRef] [PubMed]
- Wang, H.-S.; Tang, C.-S.; Gu, K.; Shi, B.; Inyang, H.I. Mechanical behavior of fiber-reinforced, chemically stabilized dredged sludge. Bull. Eng. Geol. Environ. 2019, 79, 629–643. [Google Scholar] [CrossRef]
- Elkhebu, A.; Zainorabidin, A.; Asadi, A.; Bakar, I.H.; Huat, B.B.K.; Abdeldjouad, L.; Dheyab, W. Effect of incorporating multifilament polypropylene fibers into alkaline activated fly ash soil mixtures. Soils. Found. 2019, 59, 2144–2154. [Google Scholar] [CrossRef]
- Vakili, A.H.; Ghasemi, J.; bin Selamat, M.R.; Salimi, M.; Farhadi, M.S. Internal erosional behaviour of dispersive clay stabilized with lignosulfonate and reinforced with polypropylene fiber. Constr. Build. Mater. 2018, 193, 405–415. [Google Scholar] [CrossRef]
- Chandra Sarath, K.; Krishnaiah, S.; Sahile, K.; Chelladurai, S.J.S. Utilization of Red Mud-Fly Ash Reinforced with Cement in Road Construction Applications. Adv. Mater. Sci. Eng. 2021, 2021, 3728652. [Google Scholar]
- Bo, R.; Linfei, D.; Chao, M.; Fangxing, L.; Wei, D. Experimental Study on Dynamic Characteristics of Rubberized Cemented Soil. J. Railw. Eng. Soc. 2017, 7, 6. [Google Scholar]
- Araya-Letelier, G.; Maturana, P.; Carrasco, M.; Antico, F.C.; Gómez, M.S. Mechanical-Damage Behavior of Mortars Reinforced with Recycled Polypropylene Fibers. Sustainability 2019, 11, 2200. [Google Scholar] [CrossRef]
- Jiang, H.-T.; Cai, Y.-T.; Liu, J. Engineering Properties of Soils Reinforced by Short Discrete Polypropylene Fiber. J. Mater. Civil Eng. 2010, 22, 1315–1322. [Google Scholar] [CrossRef]
- Sukontasukkul, P.; Jamsawang, P. Use of steel and polypropylene fibers to improve flexural performance of deep soil–cement column. Constr. Build. Mater. 2012, 29, 201–205. [Google Scholar] [CrossRef]
- Ruan, B.; Ding, H.; Teng, J.; Deng, W.; Zheng, S.; Ruan, C. Mechanical Properties and Microstructure of Polypropylene Fiber Reinforced Cement Mortar Soil. Ksce J. Civ. Eng. 2021, 25, 1985–1997. [Google Scholar] [CrossRef]
- Zaimoglu, A.S. Optimization of unconfined compressive strength of fine-grained soils modified with polypropylene fibers and additive materials. Ksce J. Civ. Eng. 2015, 19, 578–582. [Google Scholar] [CrossRef]
- Yang, B.-H.; Weng, X.-Z.; Liu, J.-Z.; Kou, Y.-N.; Jiang, L.; Li, H.-L.; Yan, X.-C. Strength characteristics of modified polypropylene fiber and cement-reinforced loess. J. Cent. South Uni. 2017, 24, 560–568. [Google Scholar] [CrossRef]
- Zhang, G.; Ding, Z.; Zhang, R.; Chen, C.; Fu, G.; Luo, X.; Wang, Y.; Zhang, C. Combined Utilization of Construction and Demolition Waste and Propylene Fiber in Cement-Stabilized Soil. Buildings 2022, 12, 350. [Google Scholar] [CrossRef]
- Chen, M.; Shen, S.-L.; Arulrajah, A.; Wu, H.-N.; Hou, D.-W.; Xu, Y.-S. Laboratory evaluation on the effectiveness of polypropylene fibers on the strength of fiber-reinforced and cement-stabilized Shanghai soft clay. Geotext. Geomembr. 2015, 43, 515–523. [Google Scholar] [CrossRef]
- Min-min, W.; Qun, L.; Shao-long, G.; Meng, G.; Zhong-tao, S. Dynamic behavior of soil with fiber and cement under cyclic loading. Rock Mech. Rock Eng. 2018, 39, 7. [Google Scholar]
- Wang, W.; Zhang, C.; Guo, J.; Li, N.; Li, Y.; Zhou, H.; Liu, Y. Investigation on the Triaxial Mechanical Characteristics of Cement-Treated Subgrade Soil Admixed with Polypropylene Fiber. Appl. Sci. 2019, 9, 4557. [Google Scholar] [CrossRef]
- Dai, D.; Peng, J.; Bai, L.; Li, G.; Lin, H. The Effect of Superabsorbent Polymer on the Resilient and Plastic Strain Behavior of Cemented Soil under Traffic Load. Polymers 2022, 14, 929. [Google Scholar] [CrossRef] [PubMed]
- Wang, J.; Li, Y.; Ling, X.; Yang, P.; Zhao, Y. A Contrast Analysis of Deformation Characteristics and Critical Dynamic Stress of Natural and Fiber-Binder Reinforced Subgrade Filler after Different Freeze-Thaw Cycles. Materials 2023, 16, 1520. [Google Scholar] [CrossRef] [PubMed]
- Nie, R.; Mei, H.; Leng, W.; Ruan, B.; Li, Y.; Chen, X. Characterization of permanent deformation of fine-grained subgrade soil under intermittent loading. Soil Dyn. Earthq. Eng. 2020, 139, 106395. [Google Scholar] [CrossRef]
- Guo, L.; Wang, J.; Cai, Y.; Liu, H.; Gao, Y.; Sun, H. Undrained deformation behavior of saturated soft clay under long-term cyclic loading. Soil Dyn. Earthq. Eng. 2013, 50, 28–37. [Google Scholar] [CrossRef]
- Sun, L.; Gu, C.; Wang, P. Effects of cyclic confining pressure on the deformation characteristics of natural soft clay. Soil Dyn. Earthq. Eng. 2015, 78, 99–109. [Google Scholar] [CrossRef]
- Cerni, G.; Cardone, F.; Virgili, A.; Camilli, S. Characterisation of permanent deformation behaviour of unbound granular materials under repeated triaxial loading. Constr. Build. Mater. 2012, 28, 79–87. [Google Scholar] [CrossRef]
- Zhang, S.; Tang, C.-A.; Hu, P.; Zhang, X.-D.; Zhang, Z.-C. Reversible and irreversible strain behavior of frozen aeolian soil under dynamic loading. Environ. Earth Sci. 2016, 75, 254. [Google Scholar] [CrossRef]
- Geng, M.; Wang, D.; Li, P. Undrained Dynamic Behavior of Reinforced Subgrade under Long-Term Cyclic Loading. Adv. Mater. Sci. Eng. 2018, 2018, 1–9. [Google Scholar] [CrossRef]
- JGJ/T233-2011; Specification for Mix Proportion Design of Cement Soil. China Architecture & Building Press: Beijing, China, 2011.
- GB/T 50123-2019; Chinese Code. Standard for Geotechnical Testing Method National Standards of the People’s Republic of China: Beijing, China, 2019.
- Jiang, P.; Chen, L.; Li, N. Study on the mechanical properties of fiber-modified iron tailings stabilized by lime and fly ash based on energy analysis. Case Stud. Constr. Mater. 2022, 17, e01638. [Google Scholar] [CrossRef]
- Zhu, H.-H.; Zhang, C.-C.; Tang, C.-S.; Shi, B.; Wang, B.-J. Modeling the pullout behavior of short fiber in reinforced soil. Geotext. Geomembr. 2014, 42, 329–338. [Google Scholar] [CrossRef]
- Wyrzykowski, M.; Scrivener, K.; Lura, P. Basic creep of cement paste at early age-the role of cement hydration. Cem. Concr. Res. 2019, 116, 191–201. [Google Scholar] [CrossRef]
- Rai, S.; Tiwari, S. Nano silica in cement hydration. Mater. Today Proc. 2018, 5, 9196–9202. [Google Scholar] [CrossRef]
- Mingyuan, W.; Qun, L.; Shaolong, G.; Minmin, W. Experimental Study on Dynamic Characteristics of Plain Cement Soil and Fiber Cement Soil, Meng, G. J. Disaster Prev. Mitig. 2018, 49, 6. [Google Scholar]
- Feng, C.-W.; Qing, L.-W.; Ming, D.; Qing, B.-L. Experimental study on unconfined compressive strength of fiber reinforced cement soil. J. Disaster Prev. Mitig. 2017, 34, 5. [Google Scholar]
- Yan, C.-L.; Tang, Y.-Q.; Wang, Y.-D.; Ren, X.-W. Accumulated deformation characteristics of silty soil under the subway loading in Shanghai. Nat. Hazards. 2011, 62, 375–384. [Google Scholar] [CrossRef]
























| Index | Specific Gravity | Liquid Limit/% | Plastic Limit/% | Plasticity Index/% | Moisture Content/% |
|---|---|---|---|---|---|
| Value | 2.68 | 42.4 | 21.9 | 20.5 | 100 |
| Composition | SiO2 | Al2O3 | Fe2O3 | CaO | K2O | MgO | Others |
|---|---|---|---|---|---|---|---|
| Content/% | 63.28 | 18.88 | 5.89 | 3.96 | 2.82 | 2.45 | 2.73 |
| Composition | CaO | SiO2 | Al2O3 | Fe2O3 | SO3 | MgO | Others |
|---|---|---|---|---|---|---|---|
| Content/% | 47.6 | 26.8 | 7.5 | 5.9 | 4.1 | 2.9 | 5.2 |
| Specific Gravity | Diameter/µm | Tensile Strength/MPa | Elastic Modulus/GPa | Tensile Limitv /% |
|---|---|---|---|---|
| 0.91 | 48 | 385 | 4.2 | 15–18 |
| Test | NO | Fiber Content (%) | Amplitude (kPa) | Loading Rate (mm/min) | Frequency (Hz) | Number of Vibrations |
|---|---|---|---|---|---|---|
| UCS | PP-0 | 0% | — | 1 mm/min | — | — |
| PP-0.25 | 0.25% | — | ||||
| PP-0.50 | 0.5% | — | ||||
| PP-0.75 | 0.75% | — | ||||
| PP-1 | 1% | — | ||||
| DT | PP-0 | 0% | 0.1 UCS | — | 1 | 1000 |
| PP-0.25 | 0.25% | 0.1 UCS | ||||
| PP-0.50 | 0.5% | 0.1 UCS | ||||
| PP-0.75 | 0.75% | 0.1 UCS 0.2 UCS 0.3 UCS | ||||
| PP-1 | 1% | 0.1 UCS |
| PP Fiber Content/% | Stress Amplitude/kPa | a | b | R2 |
|---|---|---|---|---|
| 0 | 0.1 UCS | 0.01097 | 1.05438 | 0.99 |
| 0.25 | 0.01556 | 0.94541 | 0.99 | |
| 0.5 | 0.0228 | 0.88687 | 0.99 | |
| 0.75 | 0.01556 | 1.05155 | 0.99 | |
| 1 | 0.02569 | 0.83172 | 0.99 | |
| 0.75 | 0.1 UCS | 0.01556 | 1.05154 | 0.99 |
| 0.2 UCS | 0.02408 | 0.94723 | 0.99 | |
| 0.3 UCS | 0.02517 | 1.06808 | 0.99 |
Disclaimer/Publisher’s Note: The statements, opinions and data contained in all publications are solely those of the individual author(s) and contributor(s) and not of MDPI and/or the editor(s). MDPI and/or the editor(s) disclaim responsibility for any injury to people or property resulting from any ideas, methods, instructions or products referred to in the content. |
© 2023 by the authors. Licensee MDPI, Basel, Switzerland. This article is an open access article distributed under the terms and conditions of the Creative Commons Attribution (CC BY) license (https://creativecommons.org/licenses/by/4.0/).
Share and Cite
Ye, J.; Jiang, P.; Chen, L.; Zhou, X.; Rao, F.; Tang, X. Strength and Deformation Characteristics of Fiber and Cement-Modified Waste Slurry. Polymers 2023, 15, 3435. https://doi.org/10.3390/polym15163435
Ye J, Jiang P, Chen L, Zhou X, Rao F, Tang X. Strength and Deformation Characteristics of Fiber and Cement-Modified Waste Slurry. Polymers. 2023; 15(16):3435. https://doi.org/10.3390/polym15163435
Chicago/Turabian StyleYe, Jiahao, Ping Jiang, Lejie Chen, Xuhui Zhou, Fei Rao, and Xinyi Tang. 2023. "Strength and Deformation Characteristics of Fiber and Cement-Modified Waste Slurry" Polymers 15, no. 16: 3435. https://doi.org/10.3390/polym15163435
APA StyleYe, J., Jiang, P., Chen, L., Zhou, X., Rao, F., & Tang, X. (2023). Strength and Deformation Characteristics of Fiber and Cement-Modified Waste Slurry. Polymers, 15(16), 3435. https://doi.org/10.3390/polym15163435

