An Atomistic Study of the Tensile Deformation of Carbon Nanotube–Polymethylmethacrylate Composites
Abstract
1. Introduction
2. Materials and Method
2.1. Force Field (ReaxFF)
2.2. Molecular Model and MDs Simulation
3. Results and Discussion
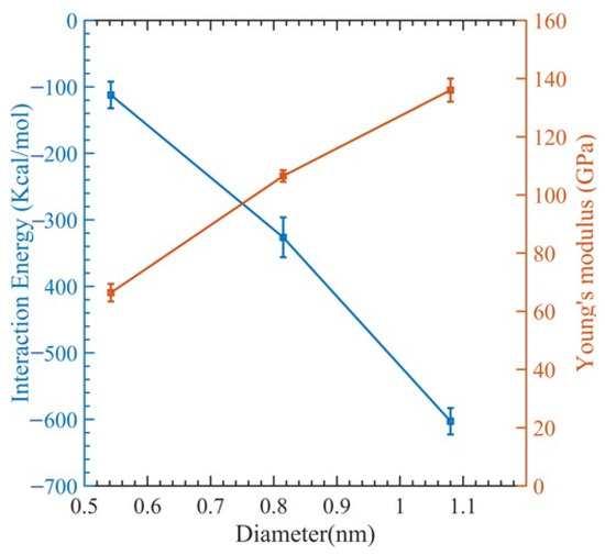
3.1. Effect of Diameters
3.2. Effect of CNT Volume Fraction
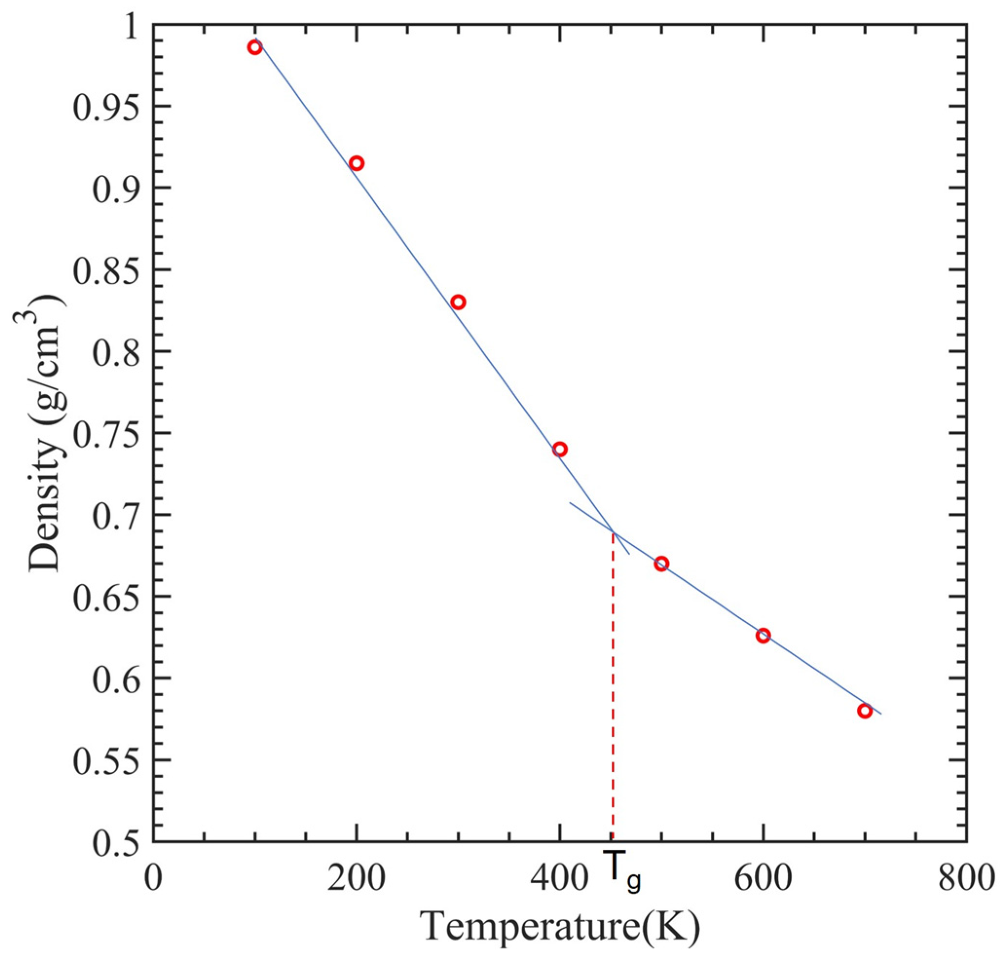
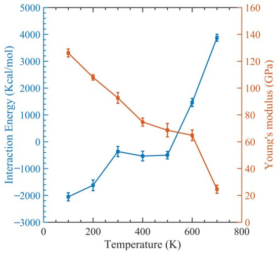
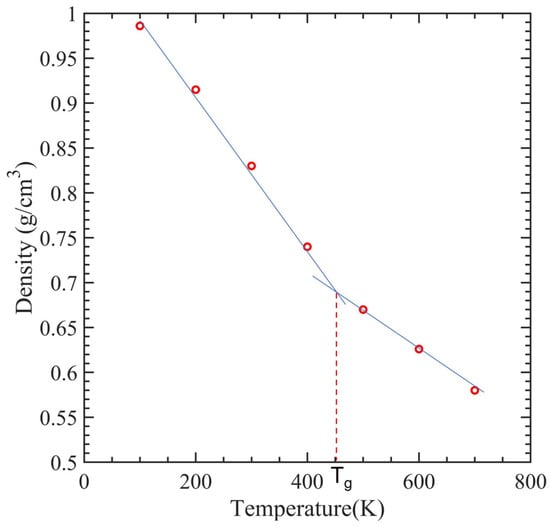
3.3. Effect of Temperature
3.4. Effect of Double-Walled CNT
4. Conclusions
- Temperature is a significant factor affecting the mechanical properties of CNT-PMMA composites. As the temperature of the simulation rises from 100 K to 700 K, several key mechanical properties experience notable changes. Specifically, the ultimate tensile strength diminishes from 17.16 GPa to 4.90 GPa, the ultimate tensile strain decreases from 13.6% to 9.9%, and Young’s modulus undergoes a decrease from 126.16 GPa to 24.63 GPa.
- The diameter and volume fraction of CNTs are crucial parameters that determine the composite’s mechanical characteristics. It is observed that an increase in CNT diameter correlates with an increase in CNT volume fraction. This phenomenon, in turn, leads to notable enhancements in both the ultimate tensile strength, which rises from 9.40 GPa to 17.92 GPa, and Young’s modulus, which elevates from 66.41 GPa to 135.97 GPa. However, it is worth noting that the ultimate tensile strain is largely indifferent to the CNT size, remaining at approximately 13% throughout the experimental range.
- Our simulation results suggest that incorporating CNTs into PMMA can enhance the material’s mechanical properties, making it suitable for both low- and high-temperature applications.
- We observed that DWCNTs exhibit approximately twice the tensile strength of SWCNTs, while maintaining the same simulation cell dimensions.
Author Contributions
Funding
Data Availability Statement
Acknowledgments
Conflicts of Interest
References
- Popov, V.N. Carbon Nanotubes: Properties and Application. Mater. Sci. Eng. R Rep. 2004, 43, 61–102. [Google Scholar] [CrossRef]
- Kroto, H.W.; Heath, J.R.; O’Brien, S.C.; Curl, R.F.; Smalley, R.E. C60: Buckminsterfullerene. Nature 1985, 318, 162–163. [Google Scholar] [CrossRef]
- Iijima, S. Helical Microtubules of Graphitic Carbon. Nature 1991, 354, 56–58. [Google Scholar] [CrossRef]
- Iijima, S.; Ichihashi, T. Single-shell carbon nanotubes of 1-nm diameter. Nature 1993, 363, 603–605. [Google Scholar] [CrossRef]
- Bethune, D.S.; Kiang, C.H.; de Vries, M.S.; Gorman, G.; Savoy, R.; Vazquez, J.; Beyers, R. Cobalt-catalysed growth of carbon nanotubes with single-atomic-layer walls. Nature 1993, 363, 605–607. [Google Scholar] [CrossRef]
- Shokrieh, M.M.; Rafiee, R. Investigation of nanotube length effect on the reinforcement efficiency in carbon nanotube based composites. Compos. Struct. 2010, 92, 2415–2420. [Google Scholar] [CrossRef]
- Kearns, J.C.; Shambaugh, R.L. Polypropylene fibers reinforced with carbon nanotubes. J. Appl. Polym. Sci. 2002, 86, 2079–2084. [Google Scholar] [CrossRef]
- Qian, D.; Dickey, E.C.; Andrews, R.; Rantell, T. Load transfer and deformation mechanisms in carbon nanotube-polystyrene composites. Appl. Phys. Lett. 2000, 76, 2868–2870. [Google Scholar] [CrossRef]
- Thostenson, E.T.; Chou, T.-W. Aligned multi-walled carbon nanotube-reinforced composites: Processing and mechanical characterization. J. Phys. D Appl. Phys. 2002, 35, L77–L80. [Google Scholar] [CrossRef]
- Schaffer, J.P.; Saxena, A.; Antolovich, S.D.; Sanders, T.H., Jr.; Warner, S.B. The Science and Design of Engineering Materials, 2nd ed.; WCB/McGraw-Hill: Boston, MA, USA, 1999. [Google Scholar]
- Thostenson, E.T.; Ren, Z.; Chou, T.-W. Advances in the science and technology of carbon nanotubes and their composites: A review. Compos. Sci. Technol. 2001, 61, 1899–1912. [Google Scholar] [CrossRef]
- Ajayan, P.M.; Stephan, O.; Colliex, C.; Trauth, D. Aligned Carbon Nanotube Arrays Formed by Cutting a Polymer Resin—Nanotube Composite. Science 1994, 265, 1212–1214. [Google Scholar] [CrossRef]
- Schadler, L.S.; Giannaris, S.C.; Ajayan, P.M. Load transfer in carbon nanotube epoxy composites. Appl. Phys. Lett. 1998, 73, 3842–3844. [Google Scholar] [CrossRef]
- Xu, X.; Thwe, M.M. Mechanical properties and interfacial characteristics of carbon-nanotube-reinforced epoxy thin films. Appl. Phys. Lett. 2002, 81, 2833–2835. [Google Scholar] [CrossRef]
- Du, J.; Cheng, H.-M. The Fabrication, Properties, and Uses of Graphene/Polymer Composites. Macromol. Chem. Phys. 2012, 213, 1060–1077. [Google Scholar] [CrossRef]
- Peigney, A.; Laurent, C.; Flahaut, E.; Rousset, A. Carbon nanotubes in novel ceramic matrix nanocomposites. Ceram. Int. 2000, 26, 677–683. [Google Scholar] [CrossRef]
- Han, Y.; Elliott, J. Molecular dynamics simulations of the elastic properties of polymer/carbon nanotube composites. Comput. Mater. Sci. 2007, 39, 315–323. [Google Scholar] [CrossRef]
- Khan, M.; Hamid, A.; Tiehu, L.; Zada, A.; Attique, F.; Ahmad, N.; Ullah, A.; Hayat, A.; Mahmood, I.; Hussain, A.; et al. Surface optimization of detonation nanodiamonds for the enhanced mechanical properties of polymer/nanodiamond composites. Diam. Relat. Mater. 2020, 107, 107897. [Google Scholar] [CrossRef]
- Frankland, S.; Harik, V.; Odegard, G.; Brenner, D.; Gates, T. The stress–strain behavior of polymer–nanotube composites from molecular dynamics simulation. Compos. Sci. Technol. 2003, 63, 1655–1661. [Google Scholar] [CrossRef]
- Mahboob, M.; Islam, M.Z. Molecular dynamics simulations of defective CNT-polyethylene composite systems. Comput. Mater. Sci. 2013, 79, 223–229. [Google Scholar] [CrossRef]
- Tahreen, N.; Masud, A. Investigation of the mechanical properties of polyethylene/carbon nanotube composite by molecular dynamics simulation. Int. J. Nano Biomater. 2012, 4, 54–68. [Google Scholar] [CrossRef]
- Sharma, K.; Shukla, M. Molecular modeling of the mechanical behavior of carbon fiber-amine functionalized multiwall carbon nanotube/epoxy composites. New Carbon Mater. 2014, 29, 132–142. [Google Scholar] [CrossRef]
- Sharma, K.; Kaushalyayan, K.S.; Shukla, M. Pull-out simulations of interfacial properties of amine functionalized multi-walled carbon nanotube epoxy composites. Comput. Mater. Sci. 2015, 99, 232–241. [Google Scholar] [CrossRef]
- Sun, H. COMPASS: An ab Initio Force-Field Optimized for Condensed-Phase ApplicationsOverview with Details on Alkane and Benzene Compounds. J. Phys. Chem. B 1998, 102, 7338–7364. [Google Scholar] [CrossRef]
- Van Duin, A.C.T.; Dasgupta, S.; Lorant, F.; Goddard, W.A. ReaxFF: A Reactive Force Field for Hydrocarbons. J. Phys. Chem. A 2001, 105, 9396–9409. [Google Scholar] [CrossRef]
- Xiong, Q.-L.; Tian, X.-G. Atomistic Modeling of Mechanical Characteristics of CNT-Polyethylene with Interfacial Covalent Interaction. J. Nanomater. 2015, 2015, 237520. [Google Scholar] [CrossRef]
- Zaminpayma, E. Molecular dynamics simulation of mechanical properties and interaction energy of polythiophene/polyethylene/poly(p -phenylenevinylene) and CNTs composites. Polym. Compos. 2014, 35, 2261–2268. [Google Scholar] [CrossRef]
- Islam, K.; Saha, S.; Masud, A.K.M. Molecular dynamics simulation of the mechanical properties of CNT-polyoxymethylene composite with a reactive forcefield. Mol. Simul. 2020, 46, 380–387. [Google Scholar] [CrossRef]
- Stevens, M.P. Polymer Chemistry: An Introduction, 3rd ed.; Oxford University Press: Oxford, UK; New York, NY, USA, 1998. [Google Scholar]
- Yuksel, N.; Baykara, M.; Shirinzade, H.; Suzen, S. Investigation of triacetin effect on indomethacin release from poly(methyl methacrylate) microspheres: Evaluation of interactions using FT-IR and NMR spectroscopies. Int. J. Pharm. 2011, 404, 102–109. [Google Scholar] [CrossRef]
- Ali, U.; Karim, K.J.B.A.; Buang, N.A. A Review of the Properties and Applications of Poly (Methyl Methacrylate) (PMMA). Polym. Rev. 2015, 55, 678–705. [Google Scholar] [CrossRef]
- Hashim, H.; Adam, N.; Zaki, N.; Mahmud, Z.; Said, C.; Yahya, M.; Ali, A. Natural Rubber-Grafted with 30% Poly(Methylmethacrylate) Characterization for Application in Lithium Polymer Battery. In Proceedings of the 2010 International Conference on Science and Social Research (CSSR 2010), Kuala Lumpur, Malaysia, 5–7 December 2010; pp. 485–488. [Google Scholar]
- Shah, J.J.; Geist, J.; Locascio, L.E.; Gaitan, M.; Rao, M.V.; Vreeland, W.N. Surface modification of poly(methyl methacrylate) for improved adsorption of wall coating polymers for microchip electrophoresis. Electrophoresis 2006, 27, 3788–3796. [Google Scholar] [CrossRef]
- Lee, L.-H.; Chen, W.-C. High-Refractive-Index Thin Films Prepared from Trialkoxysilane-Capped Poly(methyl methacrylate)−Titania Materials. Chem. Mater. 2001, 13, 1137–1142. [Google Scholar] [CrossRef]
- Adhikari, B.; Majumdar, S. Polymers in Sensor Applications. Polym. Sci. 2004, 29, 699–766. [Google Scholar]
- Thomson, L.; Law, F.; James, K.; Matthew, C.; Rushton, N. Biocompatibility of particulate polymethylmethacrylate bone cements: A comparative study in vitro and in vivo. Biomaterials 1992, 13, 811–818. [Google Scholar] [CrossRef]
- Kawaguchi, T.; Lassila, L.V.; Tokue, A.; Takahashi, Y.; Vallittu, P.K. Influence of molecular weight of polymethyl(methacrylate) beads on the properties and structure of cross-linked denture base polymer. J. Mech. Behav. Biomed. Mater. 2011, 4, 1846–1851. [Google Scholar] [CrossRef] [PubMed]
- Freitag, C.P.F.; Kruel, C.R.P.; Duarte, M.E.S.; Sanches, P.R.E.; Thomé, P.R.O.; Fornari, F.; Driemeier, D.; Teixeira, F.; Mollerke, R.O.; Callegari-Jacques, S.M.; et al. Endoscopic implantation of polymethylmethacrylate augments the gastroesophageal antireflux barrier: A short-term study in a porcine model. Surg. Endosc. 2008, 23, 1272–1278. [Google Scholar] [CrossRef]
- Itokawa, H.; Hiraide, T.; Moriya, M.; Fujimoto, M.; Nagashima, G.; Suzuki, R.; Fujimoto, T. A 12 month in vivo study on the response of bone to a hydroxyapatite–polymethylmethacrylate cranioplasty composite. Biomaterials 2007, 28, 4922–4927. [Google Scholar] [CrossRef] [PubMed]
- Bux, J.; Manga, M.S.; Hunter, T.N.; Biggs, S. Manufacture of poly(methyl methacrylate) microspheres using membrane emulsification. Philos. Trans. R. Soc. A Math. Phys. Eng. Sci. 2016, 374, 2015013. [Google Scholar] [CrossRef]
- Pan, X.; Mercadé-Prieto, R.; York, D.; Preece, J.A.; Zhang, Z. Structure and Mechanical Properties of Consumer-Friendly PMMA Microcapsules. Ind. Eng. Chem. Res. 2013, 52, 11253–11265. [Google Scholar] [CrossRef]
- Kim, J.-W.; Lee, K.-S.; Ju, H.-K.; Ryu, J.-H.; Han, S.-H.; Chang, I.-S.; Kang, H.-H.; Oh, S.-G.; Suh, K.-D. Microencapsulation of cholesteryl alkanoate by polymerization-induced phase separation and its association with drugs. J. Polym. Sci. Part A Polym. Chem. 2004, 42, 2202–2213. [Google Scholar] [CrossRef]
- Nien, Y.-H.; Lin, S.-W.; Hsu, Y.-N. Preparation and characterization of acrylic bone cement with high drug release. Mater. Sci. Eng. C 2013, 33, 974–978. [Google Scholar] [CrossRef]
- Sugino, A.; Miyazaki, T.; Kawachi, G.; Kikuta, K.; Ohtsuki, C. Relationship between apatite-forming ability and mechanical properties of bioactive PMMA-based bone cement modified with calcium salts and alkoxysilane. J. Mater. Sci. Mater. Med. 2007, 19, 1399–1405. [Google Scholar] [CrossRef] [PubMed]
- MacRae, S.M.; Matsuda, M.; Phillips, D.S. The Long-term Effects of Polymethylmethacrylate Contact Lens Wear on the Corneal Endothelium. Ophthalmology 1994, 101, 365–370. [Google Scholar] [CrossRef]
- Hosaka, S.; Yamada, A.; Tanzawa, H.; Momose, T.; Magatani, H.; Nakajima, A. Mechanical properties of the soft contact lens of poly(methyl methacrylate-N-vinylpyrrolidone). J. Biomed. Mater. Res. 1980, 14, 557–566. [Google Scholar] [CrossRef]
- Isha, A.; Yusof, N.A.; Ahmad, M.; Suhendra, D.; Yunus, W.M.Z.W.; Zainal, Z. A chemical sensor for trace V(V) ion determination based on fatty hydroxamic acid immobilized in polymethylmethacrylate. Sens. Actuators B Chem. 2006, 114, 344–349. [Google Scholar] [CrossRef]
- Kost, J.; Langer, R. Responsive polymeric delivery systems. Adv. Drug Deliv. Rev. 2001, 46, 125–148. [Google Scholar] [CrossRef] [PubMed]
- Beruto, D.T.; Botter, R.; Fini, M. The effect of water in inorganic microsponges of calcium phosphates on the porosity and permeability of composites made with polymethylmethacrylate. Biomaterials 2001, 23, 2509–2517. [Google Scholar] [CrossRef]
- Shi, M.; Kretlow, J.D.; Spicer, P.P.; Tabata, Y.; Demian, N.; Wong, M.E.; Kasper, F.K.; Mikos, A.G. Antibiotic-releasing porous polymethylmethacrylate/gelatin/antibiotic constructs for craniofacial tissue engineering. J. Control. Release 2011, 152, 196–205. [Google Scholar] [CrossRef] [PubMed]
- Mishra, S.; Sen, G. Microwave initiated synthesis of polymethylmethacrylate grafted guar (GG-g-PMMA), characterizations and applications. Int. J. Biol. Macromol. 2011, 48, 688–694. [Google Scholar] [CrossRef]
- Heini, P.F.; Wälchli, B.; Berlemann, U. Percutaneous transpedicular vertebroplasty with PMMA: Operative technique and early results. A Prospective Study for the Treatment of Osteoporotic Compression Fractures. Eur. Spine J. 2000, 9, 445–450. [Google Scholar] [CrossRef]
- Harper, C.A.; Petrie, E.M. Plastics Materials and Processes: A Concise Encyclopedia; Wiley: Hoboken, NJ, USA, 2003. [Google Scholar]
- van Krevelen, D.W.; Nijenhuis, K.T. Properties of Polymers, 4th ed.; Elsevier: Amsterdam, The Netherlands, 2009. [Google Scholar]
- Wang, M.; Pramoda, K.; Goh, S.H. Enhancement of the mechanical properties of poly(styrene-co-acrylonitrile) with poly(methyl methacrylate)-grafted multiwalled carbon nanotubes. Polymer 2005, 46, 11510–11516. [Google Scholar] [CrossRef]
- Skountzos, E.N.; Mermigkis, P.G.; Mavrantzas, V.G. Molecular Dynamics Study of an Atactic Poly(methyl methacrylate)–Carbon Nanotube Nanocomposite. J. Phys. Chem. B 2018, 122, 9007–9021. [Google Scholar] [CrossRef] [PubMed]
- Rahmat, M.; Hubert, P. Molecular Dynamics Simulation of Single-Walled Carbon Nanotube—PMMA Interaction. J. Nano Res. 2012, 18–19, 117–128. [Google Scholar] [CrossRef]
- Malagù, M.; Lyulin, A.; Benvenuti, E.; Simone, A. A Molecular-Dynamics Study of Size and Chirality Effects on Glass-Transition Temperature and Ordering in Carbon Nanotube-Polymer Composites. Macromol. Theory Simul. 2016, 25, 571–581. [Google Scholar] [CrossRef]
- Wang, J.F.; Yang, J.P.; Tam, L.-H.; Zhang, W. Molecular Dynamics-Based Multiscale Nonlinear Vibrations of PMMA/CNT Composite Plates. Mech. Syst. Signal Process. 2021, 153, 107530. [Google Scholar] [CrossRef]
- Buehler, M.J. (Ed.) Deformation and Dynamical Failure of Brittle Materials. In Atomistic Modeling of Materials Failure; Springer: Boston, MA, USA, 2008; pp. 185–326. [Google Scholar]
- Liu, F.; Hu, N.; Ning, H.; Liu, Y.; Li, Y.; Wu, L. Molecular dynamics simulation on interfacial mechanical properties of polymer nanocomposites with wrinkled graphene. Comput. Mater. Sci. 2015, 108, 160–167. [Google Scholar] [CrossRef]
- Beese, A.M.; Sarkar, S.; Nair, A.; Naraghi, M.; An, Z.; Moravsky, A.; Loutfy, R.O.; Buehler, M.J.; Nguyen, S.T.; Espinosa, H.D. Bio-Inspired Carbon Nanotube–Polymer Composite Yarns with Hydrogen Bond-Mediated Lateral Interactions. ACS Nano 2013, 7, 3434–3446. [Google Scholar] [CrossRef] [PubMed]
- Saha, B.; Furmanchuk, A.; Dzenis, Y.; Schatz, G.C. Multi-step mechanism of carbonization in templated polyacrylonitrile derived fibers: ReaxFF model uncovers origins of graphite alignment. Carbon 2015, 94, 694–704. [Google Scholar] [CrossRef]
- AThompson, A.P.; Aktulga, H.M.; Berger, R.; Bolintineanu, D.S.; Brown, W.M.; Crozier, P.S.; Veld, P.J.I.; Kohlmeyer, A.; Moore, S.G.; Nguyen, T.D.; et al. LAMMPS—A flexible simulation tool for particle-based materials modeling at the atomic, meso, and continuum scales. Comput. Phys. Commun. 2021, 271, 108171. [Google Scholar] [CrossRef]
- Plimpton, S. Fast Parallel Algorithms for Short-Range Molecular Dynamics. J. Comput. Phys. 1995, 117, 1–19. [Google Scholar] [CrossRef]
- Sharma, K.; Saxena, K.K.; Shukla, M. Effect of Multiple Stone-Wales and Vacancy Defects on the Mechanical Behavior of Carbon Nanotubes Using Molecular Dynamics. Procedia Eng. 2012, 38, 3373–3380. [Google Scholar] [CrossRef]
- Salvetat, J.-P.; Briggs, G.A.D.; Bonard, J.-M.; Bacsa, R.R.; Kulik, A.J.; Stöckli, T.; Burnham, N.A.; Forró, L. Elastic and Shear Moduli of Single-Walled Carbon Nanotube Ropes. Phys. Rev. Lett. 1999, 82, 944–947. [Google Scholar] [CrossRef]
- Krishnan, A.; Dujardin, E.; Ebbesen, T.W.; Yianilos, P.N.; Treacy, M.M.J. Young’s Modulus of Single-Walled Nanotubes. Phys. Rev. B 1998, 58, 14013. [Google Scholar] [CrossRef]
- Lu, Q.; Bhattacharya, B. Effect of randomly occurring Stone–Wales defects on mechanical properties of carbon nanotubes using atomistic simulation. Nanotechnology 2005, 16, 555–566. [Google Scholar] [CrossRef]
- WenXing, B.; ChangChun, Z.; WanZhao, C. Simulation of Young’s modulus of single-walled carbon nanotubes by molecular dynamics. Phys. B Condens. Matter 2004, 352, 156–163. [Google Scholar] [CrossRef]
- BIOVIA Materials Studio—BIOVIA—Dassault Systèmes. Available online: https://www.3ds.com/products-services/biovia/products/molecular-modeling-simulation/biovia-materials-studio/ (accessed on 1 February 2023).
- Faiyad, A.; Munshi, A.M.; Islam, M.; Saha, S. Deformation mechanisms of Inconel-718 at the nanoscale by molecular dynamics. Phys. Chem. Chem. Phys. 2021, 23, 10650–10661. [Google Scholar] [CrossRef]
- Harik, V. Ranges of applicability for the continuum beam model in the mechanics of carbon nanotubes and nanorods. Solid State Commun. 2001, 120, 331–335. [Google Scholar] [CrossRef]
- Gissinger, J.R.; Pramanik, C.; Newcomb, B.; Kumar, S.; Heinz, H. Nanoscale Structure–Property Relationships of Polyacrylonitrile/CNT Composites as a Function of Polymer Crystallinity and CNT Diameter. ACS Appl. Mater. Interfaces 2017, 10, 1017–1027. [Google Scholar] [CrossRef]
- Arash, B.; Park, H.S.; Rabczuk, T. Mechanical properties of carbon nanotube reinforced polymer nanocomposites: A coarse-grained model. Compos. Part B Eng. 2015, 80, 92–100. [Google Scholar] [CrossRef]













| Study | Young’s Modulus (GPa) |
|---|---|
| Our work | 1130 |
| Salvetat et al. (experimental) [67] | 800 ± 410 |
| WenXing et al. (LJ and REBO potential) [70] | 935.805 ± 0.618 |
| Qiang et al. (Morse potential) [69] | 840 ± 20 |
| Temperature (K) | CNT Diameter (nm) | CNT Volume Fraction (%) | Young’s Modulus (GPa) | Ultimate Tensile Strength (GPa) | Ultimate Tensile Strain (%) |
|---|---|---|---|---|---|
| 300 | 0.542 | 7.5 | 66.41 ± 1.67 | 9.40 | 13.1 |
| 0.815 | 11.7 | 106.52 ± 2.72 | 13.47 | 12.9 | |
| 1.08 | 16.3 | 135.97 ± 4.34 | 17.92 | 13.2 | |
| 300 | 0.815 | 8.1 | 74.87 ± 4.12 | 9.28 | 12.3 |
| 11.7 | 106.52 ± 2.72 | 13.52 | 13.4 | ||
| 16.5 | 129.77 ± 2.96 | 17.26 | 13.3 | ||
| 100 | 0.815 | 11.7 | 126.16 ± 3.23 | 17.16 | 13.6 |
| 200 | 107.92 ± 2.01 | 14.89 | 13.8 | ||
| 300 | 92.65 ± 4.32 | 12.13 | 13.1 | ||
| 400 | 74.67 ± 3.11 | 9.11 | 12.2 | ||
| 500 | 68.79 ± 4.14 | 7.83 | 11.5 | ||
| 600 | 64.76 ± 3.87 | 6.93 | 10.7 | ||
| 700 | 24.63 ± 3.12 | 4.90 | 9.9 |
Disclaimer/Publisher’s Note: The statements, opinions and data contained in all publications are solely those of the individual author(s) and contributor(s) and not of MDPI and/or the editor(s). MDPI and/or the editor(s) disclaim responsibility for any injury to people or property resulting from any ideas, methods, instructions or products referred to in the content. |
© 2023 by the authors. Licensee MDPI, Basel, Switzerland. This article is an open access article distributed under the terms and conditions of the Creative Commons Attribution (CC BY) license (https://creativecommons.org/licenses/by/4.0/).
Share and Cite
Raj, A.; Alvi, S.M.A.A.; Islam, K.; Motalab, M.; Xu, S. An Atomistic Study of the Tensile Deformation of Carbon Nanotube–Polymethylmethacrylate Composites. Polymers 2023, 15, 2956. https://doi.org/10.3390/polym15132956
Raj A, Alvi SMAA, Islam K, Motalab M, Xu S. An Atomistic Study of the Tensile Deformation of Carbon Nanotube–Polymethylmethacrylate Composites. Polymers. 2023; 15(13):2956. https://doi.org/10.3390/polym15132956
Chicago/Turabian StyleRaj, Anshu, Sk Md Ahnaf Akif Alvi, Khayrul Islam, Mohammad Motalab, and Shuozhi Xu. 2023. "An Atomistic Study of the Tensile Deformation of Carbon Nanotube–Polymethylmethacrylate Composites" Polymers 15, no. 13: 2956. https://doi.org/10.3390/polym15132956
APA StyleRaj, A., Alvi, S. M. A. A., Islam, K., Motalab, M., & Xu, S. (2023). An Atomistic Study of the Tensile Deformation of Carbon Nanotube–Polymethylmethacrylate Composites. Polymers, 15(13), 2956. https://doi.org/10.3390/polym15132956

