Interaction Mechanism of Composite Propellant Components under Heating Conditions
Abstract
1. Introduction
2. Materials and Methods
2.1. Materials
2.2. Equipment and Conditions Methods
3. Results and Discussion
3.1. Thermal Decomposition of a Single-Component Propellant
3.1.1. Thermal Decomposition of the HTPB Binder at Various Sampling Temperatures
3.1.2. Thermal Decomposition of the HTPE Binder at Various Sampling Temperatures
3.1.3. Thermal Decomposition of AP Particles at Various Sampling Temperatures
3.2. Study on Cocombustion of Propellant Component
3.2.1. Cocombustion of the HTPB Binder and AP Particles
3.2.2. Cocombustion of the HTPE Binder and AP Particles
3.3. Study of the Interaction of Propellant Component
3.3.1. Interaction between the HTPB Binder and AP Particles
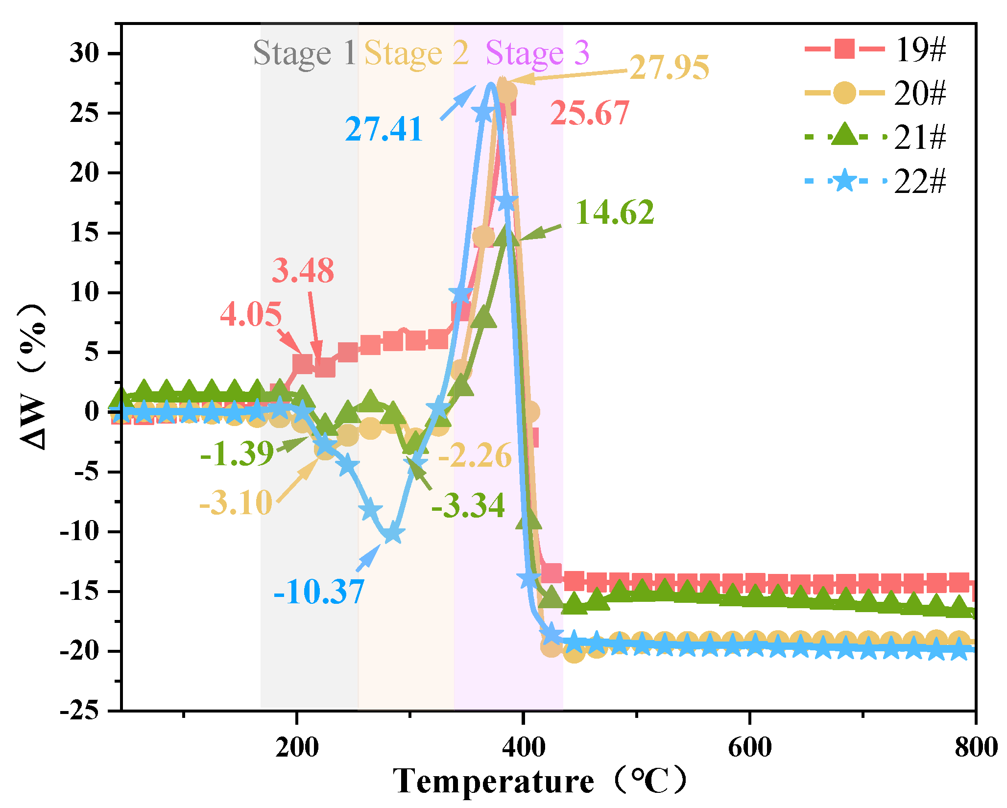
3.3.2. Interaction between the HTPE Binder and AP Particles
4. Conclusions
- (1)
- The first and second weight loss decomposition peak temperatures of the HTPB binder are 85.34 and 55.74 °C higher, respectively, than those of the HTPE binder. Therefore, compared to the HTPB binders, the HTPE binders are more easily decomposed.
- (2)
- As the sampling temperature increases, the S index of the HTPB/AP mixture initially decreases from 3.34 × 10−8 to 2.77 × 10−8, then increases to 4.24 × 10−8, indicating that its combustion characteristics are initially mild and then intensify. In contrast, the S index of the HTPE/AP mixture from 3.78 × 10−8 first increases to 4.05 × 10−8, then decreases to 2.78 × 10−8, indicating that its combustion characteristics are initially rapid and then slow down.
- (3)
- The ΔW deviation between the heated HTPB binder and AP particles is positive, and the maximum deviations are 13.93, 29.25, 3.42, and 18.33, respectively. This indicates a promoting interaction between the HTPB binder and AP particles during the thermal decomposition and combustion stages. The ΔW deviation between the heated HTPE binder and AP particles is negative in the first and second weight loss stages, but positive in the third weight loss stage, with maximum deviations of 25.67, 27.95, 14.62, and 27.41, respectively. During the first and second weight loss stages of the HTPE/AP mixture, there is a blocking effect between the HTPE and AP particles on the surface, and a positive promoting effect appears in the third weight loss stage. The main interaction between the HTPE binder and AP particles occurs in the thermal decomposition stage.
Author Contributions
Funding
Institutional Review Board Statement
Data Availability Statement
Acknowledgments
Conflicts of Interest
References
- Zhang, L.-K.; Zheng, X.-Y. Experimental study on thermal decomposition kinetics of natural ageing AP/HTPB base bleed composite propellant. Def. Technol. 2018, 14, 422–425. [Google Scholar] [CrossRef]
- Wang, Z.-J.; Qiang, H.-F. Mechanical properties of thermal aged HTPB composite solid propellant under confining pressure. Def. Technol. 2022, 18, 618–625. [Google Scholar] [CrossRef]
- Ye, Q.; Yu, Y.-G. Numerical simulation of cook-off characteristics for AP/HTPB. Def. Technol. 2018, 14, 451–456. [Google Scholar] [CrossRef]
- Wang, Z.-J.; Qiang, H.-F.; Wang, G.; Geng, B. Strength criterion of composite solid propellants under dynamic loading. Def. Technol. 2018, 14, 457–462. [Google Scholar] [CrossRef]
- Ji, Y.; Cao, L.; Li, Z.; Chen, G.; Cao, P.; Liu, T. Numerical Conversion Method for the Dynamic Storage Modulus and Relaxation Modulus of Hydroxy-Terminated Polybutadiene (HTPB) Propellants. Polymers 2023, 15, 3. [Google Scholar] [CrossRef] [PubMed]
- Zhang, Y.; Tian, Y.; Zhang, Y.; Fu, X.; Li, H.; Lu, Z.; Zhang, T.; Hu, Y. Improvement in Migration Resistance of Hydroxyl-Terminated Polybutadiene (HTPB) Liners by Using Graphene Barriers. Polymers 2022, 14, 5213. [Google Scholar] [CrossRef]
- Shi, L.; Fu, X.; Li, Y.; Wu, S.; Meng, S.; Wang, J. Molecular Dynamic Simulations and Experiments Study on the Mechanical Properties of HTPE Binders. Polymers 2022, 14, 5491. [Google Scholar] [CrossRef]
- Weigand, A.; Unterhuber, G.; Kupzik, K.; Eich, T.; Bucher, B. Solid Propellant Rocket Motor Insensitive Munitions, Testing and Simulation; Insensitive Munitions and Energetic Materials Symposium (IMEMTS): Munich, Germany, 2010. [Google Scholar]
- Ye, Q.; Yu, Y.; Li, W. Study on cook-off behavior of HTPE propellant in solid rocket motor. Appl. Therm. Eng. 2020, 167, 114798. [Google Scholar] [CrossRef]
- SHo, Y.; Ferschl, T.; Foureur, J. Correlation of Cook-Off Behaviour of Rocket Propellants with Thermal Mechanical and Thermochemical Properties; MRL Technical Report; Materials Research Labs Ascot Vale: Victoria, Australia, 1993; pp. 131–132. [Google Scholar]
- Wu, X.; Li, J.; Ren, H.; Jiao, Q. Comparative Study on Thermal Response Mechanism of Two Binders during Slow Cook-Off. Polymers 2022, 14, 3699. [Google Scholar] [CrossRef]
- Essel, J.T.; Nelson, A.P.; Smilowitz, L.B.; Henson, B.F.; Merriman, L.R.; Turnbaugh, D.; Gray, C.; Shermer, K.B. Investigating the effect of chemical ingredient modifications on the slow cook-off violence of ammonium perchlorate solid propellants on the laboratory scale. J. Energetic Mater. 2020, 38, 127–141. [Google Scholar] [CrossRef]
- Yan, Q.-L.; Zhao, F.-Q.; Kuo, K.K.; Zhang, X.-H.; Zeman, S.; DeLuca, L.T. Catalytic effects of nano additives on decomposition and combustion of RDX-, HMX-, and AP-based energetic compositions. Prog. Energy Combust. Sci. 2016, 57, 75–136. [Google Scholar] [CrossRef]
- Trache, D.; Maggi, F.; Palmucci, I.; DeLuca, L.T. Thermal behavior and decomposition kinetics of composite solid propellants in the presence of amide burning rate suppressants. J. Therm. Anal. Calorim. 2018, 132, 1601–1615. [Google Scholar] [CrossRef]
- Wu, W.; Jin, P.; Zhao, S.; Luo, Y. Mechanism of AP effect on slow cook-off response of HTPE propellant. Thermochim. Acta 2022, 715, 179291. [Google Scholar] [CrossRef]
- Wu, W.; Zhang, X.; Jin, P.; Zhao, S.; Luo, Y. Mechanism of PSAN effect on slow cook-off response of HTPE propellant. J. Energetic Mater. 2022, 2, 1–18. [Google Scholar] [CrossRef]
- Luo, Y.-J.; Mao, K.-Z.; Xia, M. Effect of Hydroxyl-Terminated Random Copolyether (PET) and Hydroxyl-Terminated Polybutadiene (HTPB) on Thermal Decomposition Characteristics of Ammonium Perchlorate. J. Res. Update Polym. Sci. 2015, 4, 42–49. [Google Scholar] [CrossRef]
- Mallick, L.; Kumar, S.; Chowdhury, A. Thermal decomposition of ammonium perchlorate—A TGA–FTIR–MS study: Part I. Thermochim. Acta 2015, 610, 57–68. [Google Scholar] [CrossRef]
- Zhu, Y.-L.; Huang, H.; Ren, H.; Jiao, Q.-J. Kinetics of Thermal Decomposition of Ammonium Perchlorate by TG/DSC-MS-FTIR. J. Energetic Mater. 2014, 32, 16–26. [Google Scholar] [CrossRef]
- Kohga, M.; Togashi, R. Mechanical Properties and Thermal Decomposition Behaviors of Hydroxyl-Terminated Polybutadiene/Glycerol Propoxylate Blend and Its Application to Ammonium Nitrate-Based Propellants. Propellants Explos. Pyrotech. 2021, 46, 1016–1022. [Google Scholar] [CrossRef]
- Rocco, J.A.F.F.; Lima, J.E.S.; Frutuoso, A.G.; Iha, K.; Ionashiro, M.; Matos, J.R.; Suárez-Iha, M.E.V. TG studies of a composite solid rocket propellant based on HTPB-binder. J. Therm. Anal. Calorim. 2004, 77, 803–813. [Google Scholar] [CrossRef]
- Tingfa, D.; Junfeng, L. Estimation of major volatile products from the first stage of the thermal decomposition of hydroxy-terminated polybutadiene binder. Thermochim. Acta 1991, 184, 81–90. [Google Scholar] [CrossRef]
- Wibowo, H.B.; Sitompul, H.R.D.; Budi, R.S.; Hartaya, K.; Abdillah, L.H.; Ardianingsih, R.; Wibowo, R.S.M. Hexogen Coating Kinetics with Polyurethane-Based Hydroxyl-Terminated Polybutadiene (HTPB) Using Infrared Spectroscopy. Polymers 2022, 14, 1184. [Google Scholar] [CrossRef] [PubMed]
- Yuan, S.; Zhang, B.; Wen, X.; Chen, K.; Jiang, S.; Luo, Y. Investigation on mechanical and thermal properties of HTPE/PCL propellant for wide temperature range use. J. Therm. Anal. Calorim. 2022, 147, 4971–4982. [Google Scholar] [CrossRef]
- Wang, Y.-H.; Liu, L.-L.; Xiao, L.-Y.; Wang, Z.-X. Thermal decomposition of HTPB/AP and HTPB/HMX mixtures with low content of oxidizer. J. Therm. Anal. Calorim. 2015, 119, 1673–1678. [Google Scholar] [CrossRef]
- Padwal, M.B.; Varma, M. Thermal decomposition and combustion characteristics of HTPB-coarse AP composite solid propellants catalyzed with Fe2O3. Combust. Sci. Technol. 2018, 190, 1614–1629. [Google Scholar] [CrossRef]
- Wen, X.; Chen, K.; Sang, C.; Yuan, S.; Luo, Y. Applying modified hyperbranched polyester in hydroxyl-terminated polyether/ammonium perchlorate/aluminium/cyclotrimethylenetrinitramine (HTPE/AP/Al/RDX) composite solid propellant. Polym. Int. 2020, 70, 123–134. [Google Scholar] [CrossRef]
- Kim, K.-H.; Kim, C.-K.; Yoo, J.-C.; Yoh, J.J. Test-Based Thermal Decomposition Simulation of AP/HTPB and AP/HTPE Propellants. J. Propuls. Power 2011, 27, 822–827. [Google Scholar] [CrossRef]
- Zhang, H.; Nie, J.; Wang, L.; Wang, D.; Hu, F.; Guo, X. Effect of preignition on slow cook-off response characteristics of composite propellant. Explos. Shock. Waves 2022, 42, 102901. [Google Scholar]
- Gołofit, T.; Ganczyk-Specjalska, K.; Jamroga, K.; Kufel, L. Rheological and thermal properties of mixtures of hydroxyl-terminated polybutadiene and plasticizer (Rapid communication). Polimery 2018, 63, 53–56. [Google Scholar] [CrossRef]
- Zhang, H.-J.; Nie, J.-X.; Jiao, G.-L.; Xu, X.; Guo, X.-Y.; Yan, S.; Jiao, Q.-J. Effect of the microporous structure of ammonium perchlorate on thermal behaviour and combustion characteristics. Def. Technol. 2022, 18, 1156–1166. [Google Scholar] [CrossRef]
- Qi, N. Thermogravimetric analysis on the combustion characteristics of brown coal blends. Combust. Sci. Technol. 2001, 7, 72–76. [Google Scholar]
- Li, X.-G.; Ma, B.-G.; Xu, L.; Hu, Z.-W.; Wang, X.-G. Thermogravimetric analysis of the co-combustion of the blends with high ash coal and waste tyres. Thermochim. Acta 2006, 441, 79–83. [Google Scholar] [CrossRef]
- Yu, L.J.; Wang, S.; Jiang, X.M.; Wang, N.; Zhang, C.Q. Thermal analysis studies on combustion characteristics of seaweed. J. Therm. Anal. Calorim. 2008, 93, 611–617. [Google Scholar] [CrossRef]
- Xie, Z.; Ma, X. The thermal behaviour of the co-combustion between paper sludge and rice straw. Bioresour. Technol. 2013, 146, 611–618. [Google Scholar] [CrossRef] [PubMed]















| System | Sample | HTPB | DOA a | TDI b | AP | Al | |
|---|---|---|---|---|---|---|---|
| HTPB system | HTPB binder | 42.00 | 54.67 | 3.33 | |||
| AP | 100.00 | ||||||
| HTPB/AP mixture | 7.56 | 9.84 | 0.60 | 82.00 | |||
| HTPB/AP/Al propellant | HTPB 6.30 | DOA 8.20 | TDI 0.50 | AP 68.00 | Al 17.00 | ||
| HTPE | A3 c | IPDI d | Butanetriol | AP | Al | ||
| HTPE system | HTPE binder | 37.33 | 54.67 | 7.33 | 0.67 | ||
| HTPE/AP mixture | 6.72 | 9.84 | 1.32 | 0.12 | 82.00 | ||
| HTPE propellant | 5.60 | 8.20 | 1.10 | 0.10 | 68.00 | 17.00 |
| System | Sample | Experiment Number | Sampling Temperature |
|---|---|---|---|
| AP | AP | 1# | original |
| 2# | 160 °C | ||
| 3# | 180 °C | ||
| 4# | 220 °C | ||
| HTPB system | HTPB binder | 5# | original |
| 6# | 160 °C | ||
| 7# | 180 °C | ||
| 8# | 220 °C | ||
| HTPB/AP mixture | 9# | original | |
| 10# | 160 °C | ||
| 11# | 180 °C | ||
| 12# | 220 °C | ||
| HTPB/AP/Al propellant | 13# | original | |
| 14# | 160 °C | ||
| 15# | 180 °C | ||
| 16# | 220 °C | ||
| HTPE system | HTPE binder | 17# | original |
| 18# | 160 °C | ||
| HTPE/AP mixture | 19# | original | |
| 20# | 160 °C | ||
| 21# | 180 °C | ||
| 22# | 220 °C | ||
| HTPE/AP/Al propellant | 23# | original | |
| 24# | 160 °C | ||
| 25# | 180 °C | ||
| 26# | 220 °C |
| Propellant Samples | Experiment Number | (%/°C) | (%/°C) | Ti (°C) | Th (°C) | S × 10−8 |
|---|---|---|---|---|---|---|
| HTPB/AP mixture | 9# | 1.88 | 0.92 | 353.65 | 413.45 | 3.34 |
| 10# | 1.55 | 0.81 | 333.16 | 407.96 | 2.77 | |
| 11# | 1.77 | 0.96 | 352.34 | 415.34 | 3.30 | |
| 12# | 2.28 | 1.17 | 353.77 | 406.57 | 4.24 | |
| HTPB/AP/Al propellant | 13# | 1.83 | 0.84 | 339.22 | 391.82 | 3.41 |
| 14# | 1.19 | 0.66 | 326.11 | 401.91 | 1.84 | |
| 15# | 1.42 | 0.71 | 330.85 | 399.05 | 2.31 | |
| 16# | 1.45 | 0.66 | 332.83 | 400.23 | 2.42 |
| Propellant Samples | Experiment Number | (%/°C) | (%/°C) | Ti (°C) | Th (°C) | S × 10−8 |
|---|---|---|---|---|---|---|
| HTPE/AP mixture | 19# | 2.00 | 0.97 | 353.35 | 411.35 | 3.78 |
| 20# | 1.92 | 0.99 | 342.99 | 399.19 | 4.05 | |
| 21# | 1.65 | 0.87 | 337.85 | 408.45 | 3.10 | |
| 22# | 1.43 | 0.87 | 333.92 | 405.72 | 2.78 | |
| HTPE/AP/Al propellant | 23# | 1.83 | 0.84 | 339.42 | 392.22 | 3.40 |
| 24# | 1.77 | 0.85 | 335.23 | 391.03 | 3.42 | |
| 25# | 1.50 | 0.72 | 333.21 | 400.81 | 2.43 | |
| 26# | 1.25 | 0.65 | 308.27 | 390.87 | 2.19 |
Disclaimer/Publisher’s Note: The statements, opinions and data contained in all publications are solely those of the individual author(s) and contributor(s) and not of MDPI and/or the editor(s). MDPI and/or the editor(s) disclaim responsibility for any injury to people or property resulting from any ideas, methods, instructions or products referred to in the content. |
© 2023 by the authors. Licensee MDPI, Basel, Switzerland. This article is an open access article distributed under the terms and conditions of the Creative Commons Attribution (CC BY) license (https://creativecommons.org/licenses/by/4.0/).
Share and Cite
Liang, J.; Nie, J.; Zhang, H.; Guo, X.; Yan, S.; Han, M. Interaction Mechanism of Composite Propellant Components under Heating Conditions. Polymers 2023, 15, 2485. https://doi.org/10.3390/polym15112485
Liang J, Nie J, Zhang H, Guo X, Yan S, Han M. Interaction Mechanism of Composite Propellant Components under Heating Conditions. Polymers. 2023; 15(11):2485. https://doi.org/10.3390/polym15112485
Chicago/Turabian StyleLiang, Jiahao, Jianxin Nie, Haijun Zhang, Xueyong Guo, Shi Yan, and Ming Han. 2023. "Interaction Mechanism of Composite Propellant Components under Heating Conditions" Polymers 15, no. 11: 2485. https://doi.org/10.3390/polym15112485
APA StyleLiang, J., Nie, J., Zhang, H., Guo, X., Yan, S., & Han, M. (2023). Interaction Mechanism of Composite Propellant Components under Heating Conditions. Polymers, 15(11), 2485. https://doi.org/10.3390/polym15112485

