The Tailored Material Removal Distribution on Polyimide Membrane Can Be Obtained by Introducing Additional Electrodes
Abstract
1. Introduction
2. Experimental Setup
3. The Numerical Simulation of CCP with Additional Electrodes
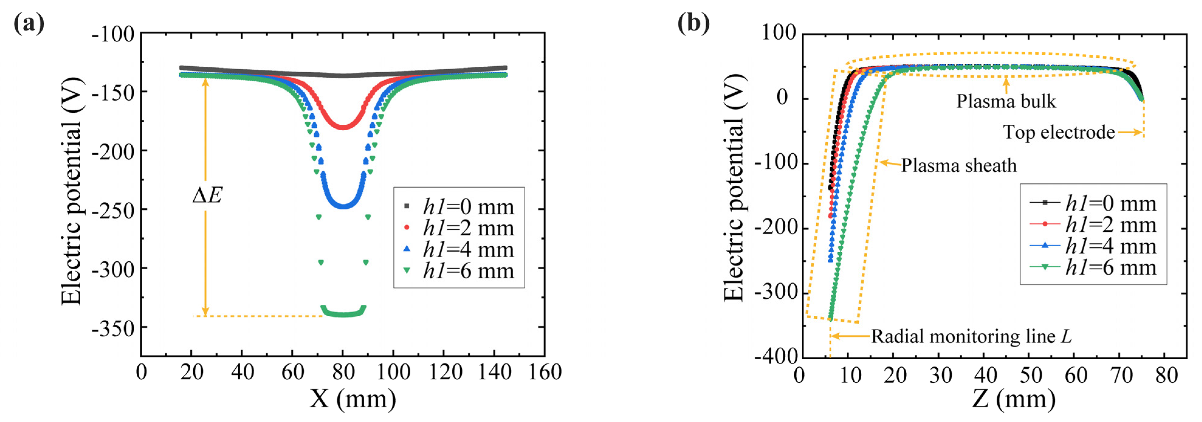
4. Results and Discussion
5. Conclusions
Author Contributions
Funding
Institutional Review Board Statement
Data Availability Statement
Conflicts of Interest
References
- Hyde, R.A. Eyeglass. 1. Very large aperture diffractive telescopes. Appl. Opt. 1999, 38, 4198–4212. [Google Scholar] [CrossRef] [PubMed]
- Atcheson, P.D.; Domber, J.L.; Whiteaker, K. MOIRE: Ground demonstration of a large aperture diffractive transmissive telescope. Proc. SPIE 2014, 9143, 914311. [Google Scholar]
- Atcheson, P.D.; Stewart, C.; Domber, J.L.; Whiteaker, K.; Cole, J.; Spuhler, P.; Seltzer, A.; Britten, J.A.; Dixit, S.N.; Farmer, B.; et al. MOIRE: Initial demonstration of a transmissive diffractive membrane optic for large lightweight optical telescopes. Proc. SPIE 2012, 8442, 844221. [Google Scholar]
- Domber, J.L.; Atcheson, P.D.; Kommers, J. MOIRE: Ground Test Bed Results for a Large Membrane Telescope. In Proceedings of the Spacecraft Structures Conference, National Harbor, DC, USA, 13–17 January 2014; AIAA: Reston, VA, USA, 2014; Volume 1510. [Google Scholar]
- Sroog, C. Polyimides. Prog. Polym. Sci. 1991, 16, 561–694. [Google Scholar] [CrossRef]
- Cheng, S.Z.; Wu, Z.; Eashoo, M.; Hsu, S.L.C.; Harris, F.W. A high-performance aromatic polyimide fibre: 1. Structure, properties and mechanical-history dependence. Polymer 1991, 32, 1803–1810. [Google Scholar] [CrossRef]
- Barton, I.M.; Britten, J.A.; Dixit, S.N.; Summers, L.J.; Thomas, I.M.; Rushford, M.C.; Lu, K.; Hyde, R.A.; Perry, M.D. Fabrication of large-aperture lightweight diffractive lenses for use in space. Appl. Opt. 2001, 40, 447–451. [Google Scholar] [CrossRef]
- Atcheson, J.D.P.; Kevin, W. MOIRE—Ground Demonstration of a Large Aperture Diffractive Transmissive Telescope. In Proceedings of the SPIE Astronomical Telescopes + Instrumentation, Montréal, QC, Canada, 28 August 2014; pp. 1–15. [Google Scholar]
- Gao, G.; Mao, D.; Fan, B.; Guan, C. Effect of Wet Expansion Behavior on Polyimide Membrane Diffractive Lens. Coatings 2019, 9, 559. [Google Scholar] [CrossRef]
- Yin, J.; Hui, H.; Fan, B.; Bian, J.; Du, J.; Yang, H. Preparation and Properties of Polyimide Composite Membrane with High Transmittance and Surface Hydrophobicity for Lightweight Optical System. Membranes 2022, 12, 592. [Google Scholar] [CrossRef]
- Yin, J.; Mao, D.; Fan, B. Copolyamide-Imide Membrane with Low CTE and CME for Potential Space Optical Applications. Polymers 2021, 13, 1001. [Google Scholar] [CrossRef]
- Su, X.; Ji, P.; Jin, Y.; Li, D.; Walker, D.; Yu, G.; Li, H.; Wang, B. Simulation and experimental study on form-preserving capability of bonnet polishing for complex freeform surfaces. Precis. Eng. 2019, 60, 54–62. [Google Scholar] [CrossRef]
- Cao, Z.; Cheung, C. Multi-scale modeling and simulation of material removal characteristics in computer-controlled bonnet polishing. Int. J. Mech. Sci. 2016, 106, 147–156. [Google Scholar] [CrossRef]
- Guo, Y.; Yin, S.; Ohmori, H.; Li, M.; Chen, F.; Huang, S. A novel high efficiency magnetorheological polishing process excited by Halbach array magnetic field. Precis. Eng. 2022, 74, 175–185. [Google Scholar] [CrossRef]
- Mi, S.; Toros, A.; Graziosi, T.; Quack, N. Non-contact polishing of single crystal diamond by ion beam etching. Diam. Relat. Mater. 2019, 92, 248–252. [Google Scholar] [CrossRef]
- Wu, J.; Zhang, P.; Yu, D.; Zhang, S.; Xin, Q.; Wan, Y. Monitoring and diagnosis of the inductively coupled atmospheric pressure plasma jet for deterministic optical processing. Optik 2020, 214, 164815. [Google Scholar] [CrossRef]
- Li, Z.; Shao, J.; Luo, Q.; Lei, B.; Gao, G.; Bian, J.; Wu, S.; Fan, B. Highly accurate positioned, rapid figure correction by reactive ion etching for large aperture lightweight membrane optical elements. OSA Contin. 2019, 2, 3350–3357. [Google Scholar] [CrossRef]
- Sanghoo, P.; Wonho, C.; Holak, K. Electron heating in rf capacitive discharges at atmospheric-to-subatmospheric pressures. Sci. Rep. 2018, 8, 10217. [Google Scholar]
- Liu, D.W.; Iaz, F.; Kong, M.G. Electron heating in radio-frequency capacitively coupled atmospheric-pressure plasmas. Appl. Phys. Lett. 2008, 93, 261503. [Google Scholar] [CrossRef]
- Endiiarova, E.V.; Eritsyan, G.S. Optimization of the geometry of the reactor inductance coil for reactive-ion etching by modeling in the COMSOL Multiphysics software package. Mater. Today Proc. 2020, 30, 496–500. [Google Scholar] [CrossRef]
- Kim, H.J.; Kim, J.S.; Lee, H.J. Numerical analysis for optimization of the sidewall conditions in a capacitively coupled plasma deposition reactor. J. Appl. Phys. 2019, 126, 173301. [Google Scholar] [CrossRef]
- Zhang, Q.Z.; Jiang, W.; Hou, L.J.; Wang, Y.N. Numerical simulations of electrical asymmetry effect on electronegative plasmas in capacitively coupled rf discharge. J. Appl. Phys. 2011, 109, 013308. [Google Scholar] [CrossRef]
- Zhang, Q.Z.; Zhao, S.X.; Jiang, Z.W.; Wang, Y.N. Separate control between geometrical and electrical asymmetry effects in capacitively coupled plasma. J. Phys. D Appl. Phys. 2012, 45, 305203. [Google Scholar] [CrossRef]
- Heil, B.G.; Czarnetzki, U.; Brinkmann, R.P.; Mussenbrock, T. On the possibility of making a geometrically symmetric RF-CCP discharge electrically asymmetric. J. Phys. Appl. Phys. 2008, 41, 165202. [Google Scholar] [CrossRef]
- Wu, X.; Bin, F.; Jiao, P.Q.; Xin, Q.; Liang, Z.Y. Study on radial uniformity of large aperture capacitively coupled plasma. Proc. SPIE 2023, 12507, 125070A. [Google Scholar]
- Rebiai, S.; Bahouh, H.; Sahli, S. 2-D simulation of dual frequency capacitively coupled helium plasma, using COMSOL Multiphysics. IEEE Trans. Dielectr. Electr. Insul. 2013, 20, 1616–1624. [Google Scholar] [CrossRef]
- Boeuf, J.P.; Pitchford, L.C. Two-dimensional model of a capacitively coupled rf discharge and comparisons with experiments in the Gaseous Electronics Conference reference reactor. Phys. Rev. E Stat. Phys. Plasmas Fluids Relat. Interdiscip. Top. 1995, 51, 1376–1390. [Google Scholar] [CrossRef]
- Lymberopoulos, D.P.; Economou, D.J. Tow-Dimensional Simulation of Polysilicon Etching with Chlorine in a High Density Plasma Reactor. IEEE Trans. Plasma Sci. 1995, 23, 573–580. [Google Scholar] [CrossRef]
- Hagelaar, G.J.M.; Pitchford, L.C. Solving the Boltzmann equation to obtain electron transport coefficients and rate coefficients for fluid models. Plasma Sources Sci. Technol. 2005, 14, 722–733. [Google Scholar] [CrossRef]
- Chung, T.H.; Meng, L.; Yoon, H.J.; Lee, J.K. Two-Dimensional Fluid Simulation of Capacitively Coupled RF Electronegative Plasma. J. Appl. Phys. 1997, 36, 2874–2882. [Google Scholar] [CrossRef]
- Salabasa, A.; Goussetb, G.; Alvesa, L.L. Charged particle transport modelling in silane-hydrogen radio-frequency capacitively coupled discharges. Vacuum 2003, 69, 213–219. [Google Scholar] [CrossRef]
- Phelps Database. Available online: www.lxcat.net (accessed on 17 February 2023).
- Veselov, D.S.; Bakun, A.D.; Voronov, Y.A.; Kireev, V.Y.; Vasileva, O.V. Analytical model of plasma-chemical etching in planar reactor. J. Phys. Conf. Ser. 2016, 748, 012015. [Google Scholar] [CrossRef]
- Balcon, N.; Hagelaar, G.J.M.; Boeuf, J.P. Numerical Model of an Argon Atmospheric Pressure RF Discharge. IEEE Trans. Plasma Sci. 2008, 36, 2782–2787. [Google Scholar] [CrossRef]
- Chang, J.; Coburn, J. Plasma–surface interactions. J. Vac. Sci. Technol. A 2003, 21, S145–S151. [Google Scholar] [CrossRef]
- Yonemura, S.; Nanbu, K.; Iwata, N. Synthesis of sheath voltage drops in asymmetric radio-frequency discharges. J. Appl. Phys. 2004, 96, 127. [Google Scholar] [CrossRef]
- Sun, L.; Liu, H.; Huang, J.; Ye, X.; Xia, H.; Li, Q.; Jiang, X.; Wu, W.; Yang, L.; Zeng, W. Reaction Ion Etching Process for Im-proving Laser Damage Resistance of Fused Silica Optical Surface. Opt. Express 2016, 24, 199–211. [Google Scholar] [CrossRef]
- Zhang, Y.; Zhang, L.; Chen, K.; Liu, D.; Lu, D.; Deng, H. Rapid subsurface damage detection of SiC using inductivity coupled plasma. Int. J. Extrem. Manuf. 2021, 3, 035202. [Google Scholar] [CrossRef]






| Material Removal Method | Processing Mechanism | Materials | Application |
|---|---|---|---|
| Small tool polishing [12,13] | Contact polishing | SiO2, SiC, ULE, Microcrystalline glass, etc. | Low frequency figure correction |
| Magnetorheological [14] | Sheared material removal | Same as above | Mid-spatial frequency figure correction |
| Ion beam [15] | Spot removal function | Same as above | High frequency figure correction |
| Plasma jet [16] | Gaussian-shaped plasma removal function | Si, SiO2, SiC, etc | Mid-spatial frequency figure correction |
| Reactive ion etching using masking [17] | Full-aperture low-temperature plasma processing | General optics, PI membrane | Low frequency figure correction |
| Reactive ion etching using additional electrode [This paper] | Full-aperture low-temperature plasma processing | Ultra-lightweight optics, PI membrane | Low frequency figure correction; Etching uniformity correction |
| Reaction | Formula | Type | Δε (eV) |
|---|---|---|---|
| 1 | e + He → e + He | Elastic | 0 |
| 2 | e + He → e + He* | Excitation | 19.8 |
| 3 | e + He → 2e + He+ | Ionization | 24.6 |
Disclaimer/Publisher’s Note: The statements, opinions and data contained in all publications are solely those of the individual author(s) and contributor(s) and not of MDPI and/or the editor(s). MDPI and/or the editor(s) disclaim responsibility for any injury to people or property resulting from any ideas, methods, instructions or products referred to in the content. |
© 2023 by the authors. Licensee MDPI, Basel, Switzerland. This article is an open access article distributed under the terms and conditions of the Creative Commons Attribution (CC BY) license (https://creativecommons.org/licenses/by/4.0/).
Share and Cite
Wu, X.; Fan, B.; Xin, Q.; Gao, G.; Jiao, P.; Shao, J.; Luo, Q.; Liang, Z. The Tailored Material Removal Distribution on Polyimide Membrane Can Be Obtained by Introducing Additional Electrodes. Polymers 2023, 15, 2394. https://doi.org/10.3390/polym15102394
Wu X, Fan B, Xin Q, Gao G, Jiao P, Shao J, Luo Q, Liang Z. The Tailored Material Removal Distribution on Polyimide Membrane Can Be Obtained by Introducing Additional Electrodes. Polymers. 2023; 15(10):2394. https://doi.org/10.3390/polym15102394
Chicago/Turabian StyleWu, Xiang, Bin Fan, Qiang Xin, Guohan Gao, Peiqi Jiao, Junming Shao, Qian Luo, and Zhaoyu Liang. 2023. "The Tailored Material Removal Distribution on Polyimide Membrane Can Be Obtained by Introducing Additional Electrodes" Polymers 15, no. 10: 2394. https://doi.org/10.3390/polym15102394
APA StyleWu, X., Fan, B., Xin, Q., Gao, G., Jiao, P., Shao, J., Luo, Q., & Liang, Z. (2023). The Tailored Material Removal Distribution on Polyimide Membrane Can Be Obtained by Introducing Additional Electrodes. Polymers, 15(10), 2394. https://doi.org/10.3390/polym15102394

