The Investigation of Copolymer Composition Sequence on Non-Isothermal Crystallization Kinetics of Bio-Based Polyamide 56/512
Abstract
:1. Introduction
2. Experimental Section
2.1. Materials
2.2. Preparation of Copolymer PA56/512
2.2.1. Neutralization Reaction
2.2.2. Polymerization Reaction
2.3. Characterization of Copolymer PA56/512
3. Results and Discussion
3.1. Structural Characterization of PA56/512
3.2. Thermal Properties of PA56/512
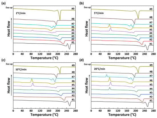
3.3. Non-Isothermal Crystallization Kinetics of PA56/512
4. Conclusions
Author Contributions
Funding
Institutional Review Board Statement
Data Availability Statement
Acknowledgments
Conflicts of Interest
References
- Marchildon, K. Polyamides—Still Strong after Seventy Years. Macromol. React. Eng. 2011, 5, 22–54. [Google Scholar] [CrossRef]
- Chang, H.-H.; Beltsios, K.; Lin, D.-J.; Cheng, L.-P. Formation of polyamide 12 membranes via thermal-nonsolvent induced phase separation. J. Appl. Polym. Sci. 2013, 130, 14–24. [Google Scholar] [CrossRef]
- Lau, W.; Gray, S.; Matsuura, T.; Emadzadeh, D.; Chen, J.P.; Ismail, A. A review on polyamide thin film nanocomposite (TFN) membranes: History, applications, challenges and approaches. Water Res. 2015, 80, 306–324. [Google Scholar] [CrossRef] [PubMed]
- Jang, J.H.; Ahn, S.H. Numerical and experimental analysis of heat sealing of multi-layered laminate films used in lithium polymer battery packaging. J. Plast. Film Sheeting 2016, 33, 142–167. [Google Scholar] [CrossRef]
- Lin, X.T.; Wu, Y.C.; Cui, L.N.; Chen, X.; Fan, S.H.; Liu, Y.J.; Liu, X.C.; Zheng, W. Crystal structure, morphology, and mechanical properties of biaxially oriented polyamide-6 films toughened with poly(ether block amide). Polym. Adv. Technol. 2022, 33, 137–145. [Google Scholar] [CrossRef]
- Froidevaux, V.; Negrell, C.; Caillol, S.; Pascault, J.P.; Boutevin, B. Biobased Amines: From Synthesis to Polymers; Present and Future. Chem. Rev. 2016, 116, 14181–14224. [Google Scholar] [CrossRef]
- Xue, Y.; Zhao, Y.; Ji, X.; Yao, J.; Busk, P.K.; Lange, L.; Huang, Y.; Zhang, S. Advances in bio-nylon 5X: Discovery of new lysine decarboxylases for the high-level production of cadaverine. Green Chem. 2020, 22, 8656–8668. [Google Scholar] [CrossRef]
- Winnacker, M.; Rieger, B. Biobased Polyamides: Recent Advances in Basic and Applied Research. Macromol. Rapid Commun. 2016, 37, 1391–1413. [Google Scholar] [CrossRef]
- Zhang, S.; Ma, J. Study on the unsaturated hydrogen bond behavior of bio-based polyamide 56. E-Polymers 2019, 19, 23–31. [Google Scholar] [CrossRef]
- Huang, W.; Zhai, J.; Zhang, C.; Hu, X.; Zhu, N.; Chen, K.; Guo, K. 100% Bio-Based Polyamide with Temperature/Ultrasound Dually Triggered Reversible Cross-Linking. Ind. Eng. Chem. Res. 2020, 59, 13588–13594. [Google Scholar] [CrossRef]
- Zou, G.; Wang, P.; Feng, W.; Ren, Z.; Ji, J. Bio-based transparent polyamide 10T/10I/1012 with high performance. J. Appl. Polym. Sci. 2019, 136, 47305. [Google Scholar] [CrossRef]
- Lee, M.O.; Kim, J.H.; Park, J.; Kim, S.Y. Bio-based poly(pentamethylene sebacamide) by solid-state polymerization from bio-based monomers. Green Chem. 2021, 23, 6469–6476. [Google Scholar] [CrossRef]
- Kim, H.T.; Baritugo, K.-A.; Oh, Y.H.; Hyun, S.M.; Khang, T.U.; Kang, K.H.; Jung, S.H.; Song, B.K.; Park, K.; Kim, I.-K.; et al. Metabolic Engineering of Corynebacterium glutamicum for the High-Level Production of Cadaverine That Can Be Used for the Synthesis of Biopolyamide 510. ACS Sustain. Chem. Eng. 2018, 6, 5296–5305. [Google Scholar] [CrossRef]
- Gao, A.; Zhang, H.; Sun, G.; Xie, K.; Hou, A. Light-induced antibacterial and UV-protective properties of polyamide 56 biomaterial modified with anthraquinone and benzophenone derivatives. Mater. Des. 2017, 130, 215–222. [Google Scholar] [CrossRef]
- Zhang, Y.; Wang, Y.; Xu, Y.; Liu, X.; Guo, W. Modification of biobased polyamide 56 to achieve ultra-toughening. Polym. Technol. Mater. 2021, 60, 1585–1604. [Google Scholar] [CrossRef]
- Xu, Y.; Zhao, C.; Guo, Z.; Dong, W.; Liu, X.; Guo, W. EPDM-g-MAH toughened bio-based polyamide 56 to prepare thermoplastic polyamide elastomer and the performance characterization. J. Appl. Polym. Sci. 2022, 139, 52346. [Google Scholar] [CrossRef]
- Yan, Y.; Gooneie, A.; Ye, H.; Deng, L.; Qiu, Z.; Reifler, F.A.; Hufenus, R. Morphology and Crystallization of Biobased Polyamide 56 Blended with Polyethylene Terephthalate. Macromol. Mater. Eng. 2018, 303, 1800214. [Google Scholar] [CrossRef]
- Yang, T.; Gao, Y.; Liu, X.; Wang, X.; Yu, J.; Huang, S.; Ma, B.; He, Y. A Strategy to Achieve the Inherently Flame-retardant PA56 by Copolymerization with DDP. J. Polym. Environ. 2022, 30, 3802–3814. [Google Scholar] [CrossRef]
- Yang, K.; Ma, L.; Chen, L.; Li, D.; Lu, D.; Tang, Z. Effect of Copolymerization Sequence Structure on Non-isothermal Crystallization Kinetics of Bio-based Copolymer PA 5T/56. Eng. Plast. Appl. 2022, 50, 129–135. [Google Scholar]
- Ai, T.; Zou, G.; Feng, W.; Ren, Z.; Li, F.; Wang, P.; Lu, B.; Ji, J. Synthesis and properties of biobased copolyamides based on polyamide 10T and polyamide 56 through one-pot polymerization. New J. Chem. 2021, 45, 14677–14686. [Google Scholar] [CrossRef]
- Wang, Y.; Kang, H.L.; Wang, R.; Liu, R.G.; Hao, X.M. Crystallization of polyamide 56/polyamide 66 blends: Non-isothermal crystallization kinetics. J. Appl. Polym. Sci. 2018, 135, 46409. [Google Scholar] [CrossRef]
- Villaseñor, P.; Franco, L.; Subirana, J.A.; Puiggalí, J. On the crystal structure of odd–even nylons: Polymorphism of nylon 5,10. J. Polym. Sci. Part B Polym. Phys. 1999, 37, 2383–2395. [Google Scholar] [CrossRef]
- Cui, X.; Li, W.; Yan, D. A study of the crystalline transitions of polyamides X 18. Polym. Int. 2004, 53, 2031–2037. [Google Scholar] [CrossRef]
- Zong, R.; Hu, Y.; Liu, N.; Li, S.; Liao, G. Investigation of thermal degradation and flammability of polyamide-6 and polyamide-6 nanocomposites. J. Appl. Polym. Sci. 2007, 104, 2297–2303. [Google Scholar] [CrossRef]
- Gonçalves, E.S.; Poulsen, L.; Ogilby, P.R. Mechanism of the temperature-dependent degradation of polyamide 66 films exposed to water. Polym. Degrad. Stab. 2007, 92, 1977–1985. [Google Scholar] [CrossRef]
- Yang, K.; Liu, Y.; Zheng, Z.; Lu, G.; Tang, Z.; Chen, X. Synthesis and thermal degradation mechanism of a semi-aromatic copolyamide from renewable sources. Polym. Degrad. Stab. 2022, 203, 110089. [Google Scholar] [CrossRef]
- Li, X.; He, Y.; Dong, X.; Ren, X.; Gao, H.; Hu, W. Effects of hydrogen-bonding density on polyamide crystallization kinetics. Polymer 2020, 189, 122165. [Google Scholar] [CrossRef]
- Xia, J.F.; Xu, S.S.; Zheng, Y.; Zhou, J.; Yu, C.T.; Shan, G.R.; Bao, Y.Z.; Pan, P.J. Isodimorphic Crystallization and Tunable gamma-alpha Phase Transition in Aliphatic Copolyamides: Critical Roles of Comonomer Defects and Conformational Evolution. Macromolecules 2022, 55, 6090–6101. [Google Scholar] [CrossRef]
- Yuan, W.; Zhou, J.; Liu, K.; Li, X.; Xu, W.; Song, H.; Shan, G.; Bao, Y.; Zhao, Q.; Pan, P. Sequence-Rearranged Cocrystalline Polymer Network with Shape Reconfigurability and Tunable Switching Temperature. ACS Macro Lett. 2020, 9, 588–594. [Google Scholar] [CrossRef]
- Yu, Y.; Wei, Z.; Zhou, C.; Zheng, L.; Leng, X.; Li, Y. Miscibility and competition of cocrystallization behavior of poly(hexamethylene dicarboxylate)s aliphatic copolyesters: Effect of chain length of aliphatic diacids. Eur. Polym. J. 2017, 92, 71–85. [Google Scholar] [CrossRef]
- Li, J.; Fang, Z.; Tong, L.; Gu, A.; Liu, F. Effect of multi-walled carbon nanotubes on non-isothermal crystallization kinetics of polyamide 6. Eur. Polym. J. 2006, 42, 3230–3235. [Google Scholar] [CrossRef]
- Liu, Y.; Yang, G.S. Non-isothermal crystallization kinetics of polyamide-6/graphite oxide nanocomposites. Thermochim. Acta 2010, 500, 13–20. [Google Scholar] [CrossRef]
- Sun, X.; Mai, K.; Zhang, C.; Cao, M.; Zhang, Y.; Zhang, X. Nonisothermal crystallization kinetics of bio-based semi-aromatic polyamides. J. Therm. Anal. Calorim. 2017, 130, 1021–1030. [Google Scholar] [CrossRef]
- Raimo, M. “Kinematic” analysis of growth and coalescence of spherulites for predictions on spherulitic morphology and on the crystallization mechanism. Prog. Polym. Sci. 2007, 32, 597–622. [Google Scholar] [CrossRef]
- Di Lorenzo, M.; Silvestre, C. Non-isothermal crystallization of polymers. Prog. Polym. Sci. 1999, 24, 917–950. [Google Scholar] [CrossRef]
- Liu, T.; Mo, Z.; Wang, S.; Zhang, H. Nonisothermal melt and cold crystallization kinetics of poly(aryl ether ether ketone ketone). Polym. Eng. Sci. 1997, 37, 568–575. [Google Scholar] [CrossRef]
- De Melo, C.C.N.; Beatrice, C.A.G.; Pessan, L.A.; de Oliveira, A.D.; Machado, F.M. Analysis of nonisothermal crystallization kinetics of graphene oxide—Reinforced polyamide 6 nanocomposites. Thermochim. Acta 2018, 667, 111–121. [Google Scholar] [CrossRef]
- Zhang, Q.; Zhang, Z.; Zhang, H.; Mo, Z. Isothermal and nonisothermal crystallization kinetics of nylon-46. J. Polym. Sci. Part B Polym. Phys. 2002, 40, 1784–1793. [Google Scholar] [CrossRef]
- Cui, X.; Qing, S.; Yan, D. Isothermal and nonisothermal crystallization kinetics of novel odd–odd polyamide 9 11. Eur. Polym. J. 2005, 41, 3060–3068. [Google Scholar] [CrossRef]
- Liu, M.; Zhao, Q.; Wang, Y.; Zhang, C.; Mo, Z.; Cao, S. Melting behaviors, isothermal and non-isothermal crystallization kinetics of nylon 1212. Polymer 2003, 44, 2537–2545. [Google Scholar] [CrossRef]
- Puiggalí, J.; Franco, L.; Alemán, C.; Subirana, J.A. Crystal Structures of Nylon 5,6. A Model with Two Hydrogen Bond Directions for Nylons Derived from Odd Diamines. Macromolecules 1998, 31, 8540–8548. [Google Scholar] [CrossRef]
- Deshmukh, Y.S.; Wilsens, C.H.R.M.; Verhoef, R.; Hansen, M.R.; Dudenko, D.; Graf, R.; Klop, E.A.; Rastogi, S. Conformational and Structural Changes with Increasing Methylene Segment Length in Aromatic–Aliphatic Polyamides. Macromolecules 2016, 49, 950–962. [Google Scholar] [CrossRef]












| Sample | S#a:S#b:S#c:S#d | Relative Viscosity | [NH2] (mol/t) | Mn−[NH2] (g/mol) | |
|---|---|---|---|---|---|
| Theoretical Value | Experimental Value | ||||
| #1 | 1:1:2:0.5 | 1:1:2:0.53 | 2.89 | 38.4 | 26,041.7 |
| #2 | 1:1:2:1.1 | 1:1:2:1.04 | 2.82 | 41.3 | 24,213.1 |
| #3 | 1:1:2:1.4 | 1:1:2:1.33 | 2.71 | 45.7 | 21,881.8 |
| #4 | 1:1:2:1.7 | 1:1:2:1.63 | 2.69 | 46.4 | 21,551.7 |
| #5 | 1:1:2:2.0 | 1:1:2:1.94 | 2.60 | 48.2 | 20,746.9 |
| #6 | 1:1:2:2.3 | 1:1:2:2.25 | 2.53 | 51.2 | 19,531.3 |
| #7 | 1:1:2:2.6 | 1:1:2:2.59 | 2.59 | 48.5 | 20,618.6 |
| #8 | 1:1:2:2.9 | 1:1:2:2.82 | 2.55 | 49.1 | 20,366.6 |
| #9 | 1:1:2:3.5 | 1:1:2:3.54 | 2.46 | 50.4 | 19,841.3 |
| Sample | TD/°C | T20%/°C | TM/°C |
|---|---|---|---|
| #1 | 277.1 | 416.5 | 444.6 |
| #2 | 281.8 | 416.7 | 445.6 |
| #3 | 284.8 | 416.9 | 450.4 |
| #4 | 297.6 | 422.6 | 454.9 |
| #5 | 299.2 | 428.2 | 460.4 |
| #6 | 309.4 | 429.7 | 463.6 |
| #7 | 311.4 | 436.4 | 464.7 |
| #8 | 318.8 | 440.1 | 466.2 |
| #9 | 316.4 | 441.6 | 462.6 |
| Sample | Φ (°C/min) | T0 (°C) | Tp (°C) | Te (°C) | ΔTc (°C) | ΔHc (J/g) | t1/2 (min) |
|---|---|---|---|---|---|---|---|
| #1 | 2 | 227.4 | 213.2 | 203.0 | 24.4 | 50.0 | 6.30 |
| 5 | 225.9 | 206.6 | 193.0 | 32.9 | 50.0 | 3.56 | |
| 10 | 224.1 | 199.4 | 175.5 | 48.6 | 54.3 | 2.36 | |
| 20 | 219.8 | 185.0 | 155.3 | 64.5 | 49.4 | 1.50 | |
| #2 | 2 | 200.1 | 187.3 | 169.3 | 30.8 | 44.6 | 6.52 |
| 5 | 198.7 | 182.6 | 156.2 | 42.5 | 43.5 | 3.25 | |
| 10 | 197.1 | 172.4 | 142.7 | 54.4 | 49.5 | 2.32 | |
| 20 | 193.1 | 163.5 | 128.9 | 64.2 | 49.9 | 1.44 | |
| #3 | 2 | 181.3 | 163.7 | 145.4 | 35.9 | 36.3 | 8.58 |
| 5 | 179.7 | 152.5 | 124.1 | 55.6 | 37.1 | 5.17 | |
| 10 | 178.2 | 142.8 | 102.4 | 75.8 | 44.0 | 3.48 | |
| 20 | 175.1 | 130.7 | 89.8 | 85.3 | 33.8 | 2.13 | |
| #8 | 2 | 162.5 | 142.7 | 116.6 | 45.9 | 55.6 | 9.37 |
| 5 | 161.2 | 135.7 | 102.7 | 58.5 | 60.5 | 4.81 | |
| 10 | 155.0 | 125.4 | 94.1 | 60.9 | 55.1 | 2.81 | |
| 20 | 153.3 | 114.9 | 72.8 | 80.5 | 33.6 | 1.90 | |
| #9 | 2 | 188.4 | 176.9 | 169.0 | 19.4 | 53.9 | 5.51 |
| 5 | 183.4 | 171.1 | 160.4 | 23.0 | 54.9 | 2.39 | |
| 10 | 181.1 | 166.3 | 152.3 | 28.8 | 53.5 | 1.44 | |
| 20 | 175.6 | 156.1 | 139.2 | 36.4 | 57.9 | 0.94 |
| Sample | Parameter | X(t) = 20% | X(t) = 40% | X(t) = 60% | X(t) = 80% |
|---|---|---|---|---|---|
| #1 | F(T) | 21.18 | 32.64 | 44.82 | 56.52 |
| a | 1.58 | 1.59 | 1.62 | 1.63 | |
| #2 | F(T) | 22.32 | 30.98 | 38.00 | 45.45 |
| a | 1.56 | 1.55 | 1.53 | 1.50 | |
| #3 | F(T) | 41.45 | 64.06 | 85.15 | 111.98 |
| a | 1.64 | 1.66 | 1.67 | 1.68 | |
| #8 | F(T) | 23.56 | 38.77 | 55.34 | 77.90 |
| a | 1.32 | 1.39 | 1.45 | 1.50 | |
| #9 | F(T) | 11.47 | 15.26 | 18.64 | 22.76 |
| a | 1.23 | 1.27 | 1.30 | 1.34 |
| Sample | #1 | #2 | #3 | #8 | #9 |
|---|---|---|---|---|---|
| ΔE (kJ/mol) | 156.6 | 154.2 | 109.1 | 113.6 | 181.5 |
Disclaimer/Publisher’s Note: The statements, opinions and data contained in all publications are solely those of the individual author(s) and contributor(s) and not of MDPI and/or the editor(s). MDPI and/or the editor(s) disclaim responsibility for any injury to people or property resulting from any ideas, methods, instructions or products referred to in the content. |
© 2023 by the authors. Licensee MDPI, Basel, Switzerland. This article is an open access article distributed under the terms and conditions of the Creative Commons Attribution (CC BY) license (https://creativecommons.org/licenses/by/4.0/).
Share and Cite
Gan, D.; Liu, Y.; Hu, T.; Fan, S.; Liu, X.; Cui, L.; Yang, L.; Wu, Y.; Chen, L.; Mo, Z. The Investigation of Copolymer Composition Sequence on Non-Isothermal Crystallization Kinetics of Bio-Based Polyamide 56/512. Polymers 2023, 15, 2345. https://doi.org/10.3390/polym15102345
Gan D, Liu Y, Hu T, Fan S, Liu X, Cui L, Yang L, Wu Y, Chen L, Mo Z. The Investigation of Copolymer Composition Sequence on Non-Isothermal Crystallization Kinetics of Bio-Based Polyamide 56/512. Polymers. 2023; 15(10):2345. https://doi.org/10.3390/polym15102345
Chicago/Turabian StyleGan, Diansong, Yuejun Liu, Tianhui Hu, Shuhong Fan, Xiaochao Liu, Lingna Cui, Ling Yang, Yincai Wu, Lily Chen, and Zhixiang Mo. 2023. "The Investigation of Copolymer Composition Sequence on Non-Isothermal Crystallization Kinetics of Bio-Based Polyamide 56/512" Polymers 15, no. 10: 2345. https://doi.org/10.3390/polym15102345
APA StyleGan, D., Liu, Y., Hu, T., Fan, S., Liu, X., Cui, L., Yang, L., Wu, Y., Chen, L., & Mo, Z. (2023). The Investigation of Copolymer Composition Sequence on Non-Isothermal Crystallization Kinetics of Bio-Based Polyamide 56/512. Polymers, 15(10), 2345. https://doi.org/10.3390/polym15102345

