Additive Manufacturing and Mechanical Characterization of PLA-Based Skull Surrogates
Abstract
1. Introduction and Motivation
2. Materials and Methods
2.1. Polymer 3D Printing
2.2. Printing Material (PLA)
2.3. Skull Bone Flexural Specimens
2.4. Skull Manufacturing
2.5. Mechanical Testing
2.5.1. Three-Point Bending Tests
2.5.2. Skull Compression and Point-Loading Testing
3. Testing Results and Discussion
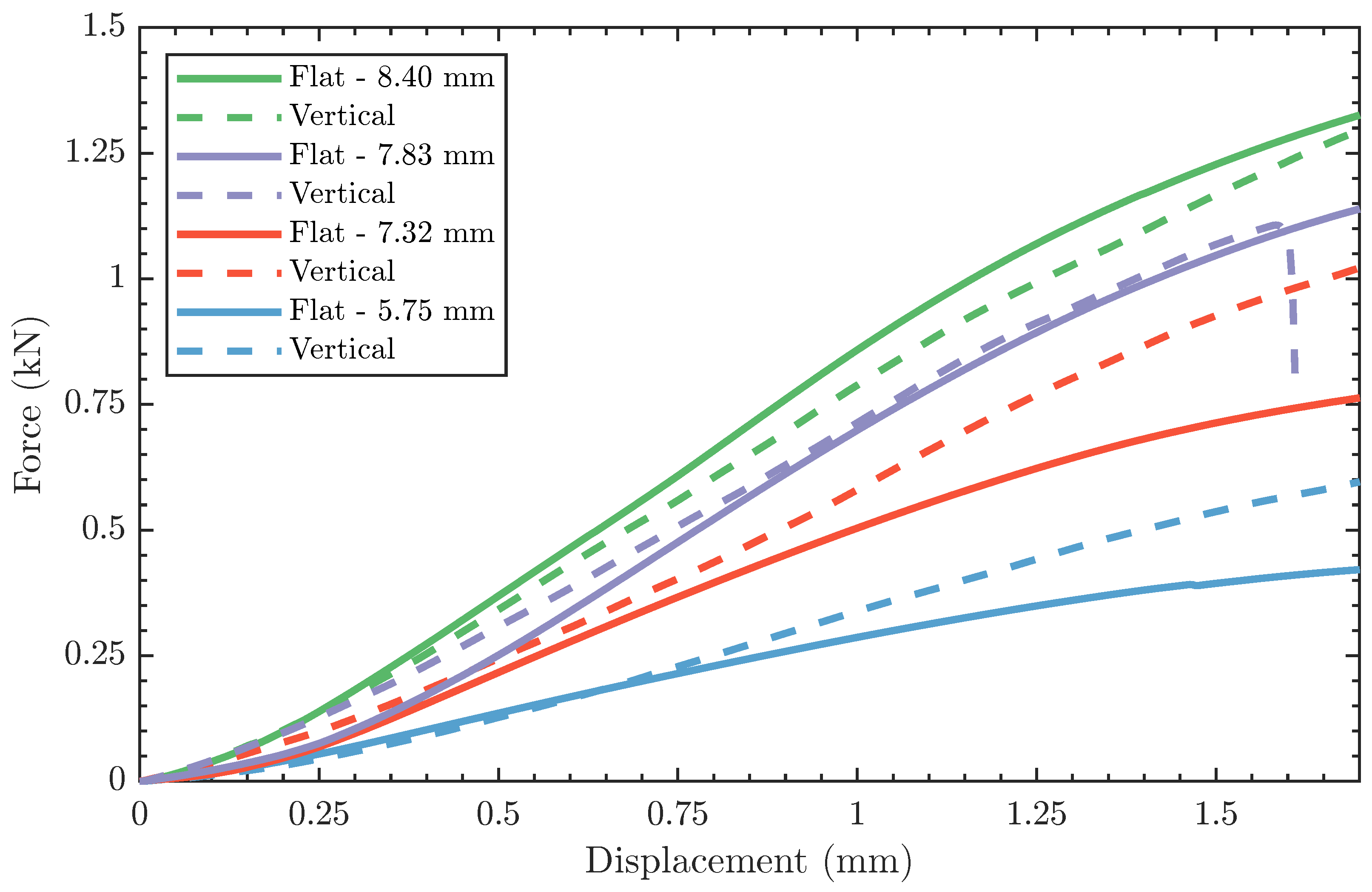
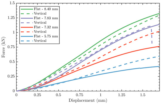
3.1. Flexural Behavior
3.2. Lateral Compression Results
3.3. Frontal Penetration Results
4. Conclusions
Author Contributions
Funding
Institutional Review Board Statement
Data Availability Statement
Conflicts of Interest
Abbreviations
| TBI | Traumatic Brain Injury |
| mTBI | Mild Traumatic Brain Injury |
| PLA | Poly (lactic acid) |
| FFF | Fused Filament Fabrication |
References
- Viano, D.C.; Casson, I.R.; Pellman, E.J. Concussion in Professional Football. Neurosurgery 2007, 61, 313–328. [Google Scholar] [CrossRef] [PubMed]
- Sirisena, D.; Walter, J.; Probert, J. National Football League concussion lawsuit: What it means for other sports and observations from Singapore Rugby. Br. J. Sport. Med. 2016, 51, 696–697. [Google Scholar] [CrossRef] [PubMed]
- Pellman, E.J.; Viano, D.C. Concussion in professional football. Neurosurg. Focus 2006, 21, 1–10. [Google Scholar] [CrossRef] [PubMed]
- Rice, M.; Arruda, E.; Thouless, M. The use of visco-elastic materials for the design of helmets and packaging. J. Mech. Phys. Solids 2020, 141, 103966. [Google Scholar] [CrossRef]
- Breedlove, K.M.; Breedlove, E.L.; Bowman, T.G.; Arruda, E.M.; Nauman, E.A. The effect of football helmet facemasks on impact behavior during linear drop tests. J. Biomech. 2018, 79, 227–231. [Google Scholar] [CrossRef]
- Ramirez, B.; Gupta, V. Evaluation of novel temperature-stable viscoelastic polyurea foams as helmet liner materials. Mater. Des. 2018, 137, 298–304. [Google Scholar] [CrossRef]
- Reed, N.; Huynh, N.U.; Rosenow, B.; Manlulu, K.; Youssef, G. Synthesis and characterization of elastomeric polyurea foam. J. Appl. Polym. Sci. 2019, 137, 48839. [Google Scholar] [CrossRef]
- Mills, N. Polymer Foams Handbook; Butterworth-Heinemann: Oxford, UK, 2007. [Google Scholar] [CrossRef]
- Grujicic, M.; Bell, W.; Pandurangan, B.; He, T. Blast-wave impact-mitigation capability of polyurea when used as helmet suspension-pad material. Mater. Des. 2010, 31, 4050–4065. [Google Scholar] [CrossRef]
- Grujicic, M.; Arakere, A.; Pandurangan, B.; Grujicic, A.; Littlestone, A.; Barsoum, R. Computational investigation of shock-mitigation efficacy of polyurea when used in a combat helmet. Multidiscip. Model. Mater. Struct. 2012, 8, 297–331. [Google Scholar] [CrossRef]
- Roberts, J.C.; Merkle, A.C.; Carneal, C.M.; Voo, L.M.; Johannes, M.S.; Paulson, J.M.; Tankard, S.; Uy, O.M. Development of a Human Cranial Bone Surrogate for Impact Studies. Front. Bioeng. Biotechnol. 2013, 1, 13. [Google Scholar] [CrossRef]
- Plaisted, T.A.; Gardner, J.M. Development of Cranial Bone Surrogate Structures Using Stereolithographic Additive Manufacturing; US Army Research Laboratory Aberdeen Proving Ground United States: Adelphi, MD, USA, 2017. [Google Scholar]
- Ashby, M.F. Materials Selection in Mechanical Design, 4th ed.; Butterworth-Heinemann: Oxford, UK, 2011. [Google Scholar]
- Lozano-Mínguez, E.; Palomar, M.; Infante-García, D.; Rupérez, M.J.; Giner, E. Assessment of mechanical properties of human head tissues for trauma modelling. Int. J. Numer. Methods Biomed. Eng. 2018, 34, e2962. [Google Scholar] [CrossRef]
- Palomar, M.; Lozano-Mínguez, E.; Rodríguez-Millán, M.; Miguélez, M.H.; Giner, E. Relevant factors in the design of composite ballistic helmets. Compos. Struct. 2018, 201, 49–61. [Google Scholar] [CrossRef]
- King, A.; Yang, K.; Zhang, L.; Hardy, W. Is Head Injury Caused by Linear or Angular Acceleration? In Proceedings of the Ircobi Conference 2003, Lisbon, Portugal, 25–26 September 2003. [Google Scholar]
- Kimpara, H.; Iwamoto, M. Mild Traumatic Brain Injury Predictors Based on Angular Accelerations During Impacts. Ann. Biomed. Eng. 2011, 40, 114–126. [Google Scholar] [CrossRef]
- Boruah, S.; Subit, D.L.; Paskoff, G.R.; Shender, B.S.; Crandall, J.R.; Salzar, R.S. Influence of bone microstructure on the mechanical properties of skull cortical bone—A combined experimental and computational approach. J. Mech. Behav. Biomed. Mater. 2017, 65, 688–704. [Google Scholar] [CrossRef]
- Plaisted, T.; Gardner, J.; Gair, J. Characterization of a Composite Material to Mimic Human Cranial Bone; US Army Research Laboratory: Adelphi, MD, USA, 2018. [Google Scholar]
- Brown, A.D.; Gunnarsson, C.A.; Rafaels, K.A.; Alexander, S.; Plaisted, T.A.; Weerasooriya, T. Shear-Punch Testing of Human Cranial Bone and Surrogate Materials. In The Minerals, Metals & Materials Series; Springer International Publishing: Cham, Switzerland, 2019; pp. 799–808. [Google Scholar] [CrossRef]
- Ward, C.; Chan, M.; Nahum, A. Intracranial Pressure—A Brain Injury Criterion; SAE Technical Paper Series; SAE International: Warrendale, PA, USA, 1980. [Google Scholar] [CrossRef]
- Nahum, A.M.; Smith, R.; Ward, C.C. Intracranial Pressure Dynamics During Head Impact; SAE Technical Paper Series; SAE International: Warrendale, PA, USA, 1977. [Google Scholar] [CrossRef]
- Zhang, J.; Yoganandan, N.; Pintar, F.A. Dynamic biomechanics of the human head in lateral impacts. Ann. Adv. Automot. Med. 2009, 53, 249–256. [Google Scholar]
- Merkle, A.C.; Wing, I.D.; Armiger, R.A.; Carkhuff, B.G.; Roberts, J.C. Development of a Human Head Physical Surrogate Model for Investigating Blast Injury. In Proceedings of the ASME International Mechanical Engineering Congress and Exposition (ASMEDC), Volume 2: Biomedical and Biotechnology Engineering, Lake Buena Vista, FL, USA, 13–19 November 2009. [Google Scholar] [CrossRef]
- Taha, Z.; Hassan, M.H.A.; Hasanuddin, I.; Aris, M.A.; Majeed, A.P.A. Impact-absorbing Materials in Reducing Brain Vibration Caused by Ball-to-head Impact in Soccer. Procedia Eng. 2014, 72, 515–520. [Google Scholar] [CrossRef][Green Version]
- Rahmoun, J.; Auperrin, A.; Delille, R.; Naceur, H.; Drazetic, P. Characterization and micromechanical modeling of the human cranial bone elastic properties. Mech. Res. Commun. 2014, 60, 7–14. [Google Scholar] [CrossRef]
- Brown, A.; Walters, J.; Zhang, Y.; Saadatfar, M.; Escobedo-Diaz, J.; Hazell, P. The mechanical response of commercially available bone simulants for quasi-static and dynamic loading. J. Mech. Behav. Biomed. Mater. 2019, 90, 404–416. [Google Scholar] [CrossRef]
- Alexander, S.L.; Gunnarsson, C.A.; Rafaels, K.; Weerasooriya, T. Multiscale response of the human skull to quasi-static compression. J. Mech. Behav. Biomed. Mater. 2020, 102, 103492. [Google Scholar] [CrossRef]
- Falland-Cheung, L.; Waddell, J.N.; Li, K.C.; Tong, D.; Brunton, P. Investigation of the elastic modulus, tensile and flexural strength of five skull simulant materials for impact testing of a forensic skin/skull/brain model. J. Mech. Behav. Biomed. Mater. 2017, 68, 303–307. [Google Scholar] [CrossRef]
- Wu, D.; Spanou, A.; Diez-Escudero, A.; Persson, C. 3D-printed PLA/HA composite structures as synthetic trabecular bone: A feasibility study using fused deposition modeling. J. Mech. Behav. Biomed. Mater. 2020, 103, 103608. [Google Scholar] [CrossRef] [PubMed]
- Dussault, A.; Pitaru, A.A.; Weber, M.H.; Haglund, L.; Rosenzweig, D.H.; Villemure, I. Optimizing Design Parameters of PLA 3D-Printed Scaffolds for Bone Defect Repair. Surgeries 2022, 3, 162–174. [Google Scholar] [CrossRef]
- Gao, X.; Qi, S.; Kuang, X.; Su, Y.; Li, J.; Wang, D. Fused filament fabrication of polymer materials: A review of interlayer bond. Addit. Manuf. 2021, 37, 101658. [Google Scholar] [CrossRef]
- Sun, Q.; Rizvi, G.; Bellehumeur, C.; Gu, P. Effect of processing conditions on the bonding quality of FDM polymer filaments. Rapid Prototyp. J. 2008, 14, 72–80. [Google Scholar] [CrossRef]
- Mantecón, R.; Rufo-Martín, C.; Castellanos, R.; Diaz-Alvarez, J. Experimental assessment of thermal gradients and layout effects on the mechanical performance of components manufactured by fused deposition modeling. Rapid Prototyp. J. 2022, 28, 1598–1608. [Google Scholar] [CrossRef]
- Fico, D.; Rizzo, D.; Casciaro, R.; Corcione, C.E. A Review of Polymer-Based Materials for Fused Filament Fabrication (FFF): Focus on Sustainability and Recycled Materials. Polymers 2022, 14, 465. [Google Scholar] [CrossRef]
- Zhang, K.; Nagarajan, V.; Misra, M.; Mohanty, A.K. Supertoughened Renewable PLA Reactive Multiphase Blends System: Phase Morphology and Performance. ACS Appl. Mater. Interfaces 2014, 6, 12436–12448. [Google Scholar] [CrossRef]
- Caminero, M.; Chacón, J.; García-Plaza, E.; Núñez, P.; Reverte, J.; Becar, J. Additive Manufacturing of PLA-Based Composites Using Fused Filament Fabrication: Effect of Graphene Nanoplatelet Reinforcement on Mechanical Properties, Dimensional Accuracy and Texture. Polymers 2019, 11, 799. [Google Scholar] [CrossRef]
- Donate, R.; Monzón, M.; Alemán-Domínguez, M.E. Additive manufacturing of PLA-based scaffolds intended for bone regeneration and strategies to improve their biological properties. e-Polymers 2020, 20, 571–599. [Google Scholar] [CrossRef]
- Farah, S.; Anderson, D.G.; Langer, R. Physical and mechanical properties of PLA, and their functions in widespread applications—A comprehensive review. Adv. Drug Deliv. Rev. 2016, 107, 367–392. [Google Scholar] [CrossRef]
- Lunt, J. Large-scale production, properties and commercial applications of polylactic acid polymers. Polym. Degrad. Stab. 1998, 59, 145–152. [Google Scholar] [CrossRef]
- Song, Y.; Li, Y.; Song, W.; Yee, K.; Lee, K.Y.; Tagarielli, V. Measurements of the mechanical response of unidirectional 3D-printed PLA. Mater. Des. 2017, 123, 154–164. [Google Scholar] [CrossRef]
- Gomez-Gras, G.; Jerez-Mesa, R.; Travieso-Rodriguez, J.A.; Lluma-Fuentes, J. Fatigue performance of fused filament fabrication PLA specimens. Mater. Des. 2018, 140, 278–285. [Google Scholar] [CrossRef]
- Valerga, A.; Batista, M.; Salguero, J.; Girot, F. Influence of PLA Filament Conditions on Characteristics of FDM Parts. Materials 2018, 11, 1322. [Google Scholar] [CrossRef]
- Pan, A.Q.; Huang, Z.F.; Guo, R.J.; Liu, J. Effect of FDM Process on Adhesive Strength of Polylactic Acid(PLA) Filament. Key Eng. Mater. 2015, 667, 181–186. [Google Scholar] [CrossRef]
- Alam, F.; Shukla, V.R.; Varadarajan, K.; Kumar, S. Microarchitected 3D printed polylactic acid (PLA) nanocomposite scaffolds for biomedical applications. J. Mech. Behav. Biomed. Mater. 2020, 103, 103576. [Google Scholar] [CrossRef]
- Portan, D.V.; Ntoulias, C.; Mantzouranis, G.; Fortis, A.P.; Deligianni, D.D.; Polyzos, D.; Kostopoulos, V. Gradient 3D Printed PLA Scaffolds on Biomedical Titanium: Mechanical Evaluation and Biocompatibility. Polymers 2021, 13, 682. [Google Scholar] [CrossRef]
- Vasile, C.; Stoleru, E.; Darie-Niţa, R.N.; Dumitriu, R.P.; Pamfil, D.; Tarţau, L. Biocompatible Materials Based on Plasticized Poly(lactic acid), Chitosan and Rosemary Ethanolic Extract I. Effect of Chitosan on the Properties of Plasticized Poly(lactic acid) Materials. Polymers 2019, 11, 941. [Google Scholar] [CrossRef]
- Delye, H.; Verschueren, P.; Depreitere, B.; Verpoest, I.; Berckmans, D.; Sloten, J.V.; Perre, G.V.D.; Goffin, J. Biomechanics of Frontal Skull Fracture. J. Neurotrauma 2007, 24, 1576–1586. [Google Scholar] [CrossRef]
- Lee, J.H.C.; Ondruschka, B.; Falland-Cheung, L.; Scholze, M.; Hammer, N.; Tong, D.C.; Waddell, J.N. An Investigation on the Correlation between the Mechanical Properties of Human Skull Bone, Its Geometry, Microarchitectural Properties, and Water Content. J. Healthc. Eng. 2019, 2019, 6515797. [Google Scholar] [CrossRef]
- Eisová, S.; de Lázaro, G.R.; Píšová, H.; Pereira-Pedro, S.; Bruner, E. Parietal Bone Thickness and Vascular Diameters in Adult Modern Humans: A Survey on Cranial Remains. Anat. Rec. 2016, 299, 888–896. [Google Scholar] [CrossRef] [PubMed]
- Youssef, G. Applied Mechanics of Polymers; Elsevier: Amsterdam, The Netherlands, 2022. [Google Scholar] [CrossRef]
- Zohdi, N.; Yang, R.C. Material Anisotropy in Additively Manufactured Polymers and Polymer Composites: A Review. Polymers 2021, 13, 3368. [Google Scholar] [CrossRef] [PubMed]
- Ondruschka, B.; Lee, J.H.C.; Scholze, M.; Zwirner, J.; Tong, D.; Waddell, J.N.; Hammer, N. A biomechanical comparison between human calvarial bone and a skull simulant considering the role of attached periosteum and dura mater. Int. J. Leg. Med. 2019, 133, 1603–1610. [Google Scholar] [CrossRef] [PubMed]
- Beer, F.; Johnston, E., Jr.; DeWolf, J.; Mazurek, D. Mechanics of Materials; McGraw-Hill Education: New York, NY, USA, 2011. [Google Scholar]
- Currey, J.D. Tensile yield in compact bone is determined by strain, post-yield behaviour by mineral content. J. Biomech. 2004, 37, 549–556. [Google Scholar] [CrossRef] [PubMed]
- McElhaney, J.H.; Fogle, J.L.; Melvin, J.W.; Haynes, R.R.; Roberts, V.L.; Alem, N.M. Mechanical properties of cranial bone. J. Biomech. 1970, 3, 495–511. [Google Scholar] [CrossRef]
- Delille, C. Identification des lois de comportement du crâne à partir d’essais de flexionIdentification of skull behavior laws starting from bending tests. Mec. Ind. 2003, 4, 119–123. [Google Scholar] [CrossRef]
- Ghorbani, J.; Koirala, P.; Shen, Y.L.; Tehrani, M. Eliminating voids and reducing mechanical anisotropy in fused filament fabrication parts by adjusting the filament extrusion rate. J. Manuf. Process. 2022, 80, 651–658. [Google Scholar] [CrossRef]
- Datta, P.; Vyas, V.; Dhara, S.; Chowdhury, A.R.; Barui, A. Anisotropy Properties of Tissues: A Basis for Fabrication of Biomimetic Anisotropic Scaffolds for Tissue Engineering. J. Bionic Eng. 2019, 16, 842–868. [Google Scholar] [CrossRef]
- Deering, J.; Dowling, K.I.; DiCecco, L.A.; McLean, G.D.; Yu, B.; Grandfield, K. Selective Voronoi tessellation as a method to design anisotropic and biomimetic implants. J. Mech. Behav. Biomed. Mater. 2021, 116, 104361. [Google Scholar] [CrossRef]
- Argon, A.S. The Physics of Deformation and Fracture of Polymers; Cambridge University Press: Cambridge, UK, 2013. [Google Scholar] [CrossRef]









| Skull 1 Bare | Skull 1 Covered | Skull 2 Bare | Skull 2 Covered | |
|---|---|---|---|---|
| Thickness (mm) | 7.32 ± 1.87 | 5.75 ± 1.84 | 7.83 ± 1.63 | 8.40 ± 1.96 |
| Depth (mm) | 10.12 ± 0.21 | 10.08 ± 0.32 | 10.46 ± 0.23 | 10.09 ± 0.32 |
| 8.40 mm | 7.83 mm | 7.32 mm | 5.75 mm | |||||
|---|---|---|---|---|---|---|---|---|
| Flat | Vertical | Flat | Vertical | Flat | Vertical | Flat | Vertical | |
| Bending Modulus | 2.71 GPa | 2.47 GPa | 2.68 GPa | 2.80 GPa | 2.10 GPa | 2.32 GPa | 1.81 GPa | 3.35 GPa |
| Ref. Bending Modulus 1 | 3.95 ± 0.89 GPa | 2.74 ± 1.3 GPa | 1.70 ± 0.71 GPa | 2.28 ± 0.81 GPa | ||||
| Relative Difference 2 | 46.1% | 60.3% | 2.1% | 2.2% | 19.1% | 26.8% | 26.1% | 31.9% |
| Bending Strength | 123 MPa | 119 MPa | 111 MPa | 111 MPa | 92 MPa | 113 MPa | 102 MPa | 133 MPa |
| Ref. Bending Strength 1 | 99 ± 14 MPa | 53 ± 13 MPa | 42 ± 14 MPa | 68 ± 13 MPa | ||||
| Relative Difference 2 | 19.8% | 16.5% | 52.2% | 52.2% | 54.2% | 62.7% | 33.3% | 49.0% |
| Skull 1—Sagittal Cut | Skull 2—Sagittal Cut | Skull 3—Whole Skull | |
|---|---|---|---|
| Stiffness (N/mm) | 502.1 | 484.6 | 486.7 |
| Displacement at fracture (mm) | 13.32 | 15.26 | 6.321 |
| Max. Force (N) | 8539 | 8246 | 2468 |
| Skull 1—Coronal Cut | Skull 2—Coronal Cut | Skull 3—Whole Skull | |
|---|---|---|---|
| Stiffness (N/mm) | 231.1 | 278.3 | 235.8 |
| Displacement at yielding (mm) | 10.02 | 6.317 | 12.37 |
| Max. Force (N) | 1319 | 1131 | 1756 |
Disclaimer/Publisher’s Note: The statements, opinions and data contained in all publications are solely those of the individual author(s) and contributor(s) and not of MDPI and/or the editor(s). MDPI and/or the editor(s) disclaim responsibility for any injury to people or property resulting from any ideas, methods, instructions or products referred to in the content. |
© 2022 by the authors. Licensee MDPI, Basel, Switzerland. This article is an open access article distributed under the terms and conditions of the Creative Commons Attribution (CC BY) license (https://creativecommons.org/licenses/by/4.0/).
Share and Cite
Mantecón, R.; Marco, M.; Muñoz-Sanchez, A.; Youssef, G.; Díaz-Álvarez, J.; Miguélez, H. Additive Manufacturing and Mechanical Characterization of PLA-Based Skull Surrogates. Polymers 2023, 15, 58. https://doi.org/10.3390/polym15010058
Mantecón R, Marco M, Muñoz-Sanchez A, Youssef G, Díaz-Álvarez J, Miguélez H. Additive Manufacturing and Mechanical Characterization of PLA-Based Skull Surrogates. Polymers. 2023; 15(1):58. https://doi.org/10.3390/polym15010058
Chicago/Turabian StyleMantecón, Ramiro, Miguel Marco, Ana Muñoz-Sanchez, George Youssef, José Díaz-Álvarez, and Henar Miguélez. 2023. "Additive Manufacturing and Mechanical Characterization of PLA-Based Skull Surrogates" Polymers 15, no. 1: 58. https://doi.org/10.3390/polym15010058
APA StyleMantecón, R., Marco, M., Muñoz-Sanchez, A., Youssef, G., Díaz-Álvarez, J., & Miguélez, H. (2023). Additive Manufacturing and Mechanical Characterization of PLA-Based Skull Surrogates. Polymers, 15(1), 58. https://doi.org/10.3390/polym15010058

