Mechanical Investigation on Fiber-Doped Cementitious Materials
Abstract
:1. Introduction
2. Experimental Program
2.1. Material Properties
2.2. Test Method and Mixing Ratio
2.2.1. Ratio of Mixing
2.2.2. Specimen Preparation and Curing
2.3. Experiment Method
2.3.1. Shrinkage Test
2.3.2. Compressive and Bending Tests
3. Experimental Results and Discussion
3.1. Strength Changes with Curing Time
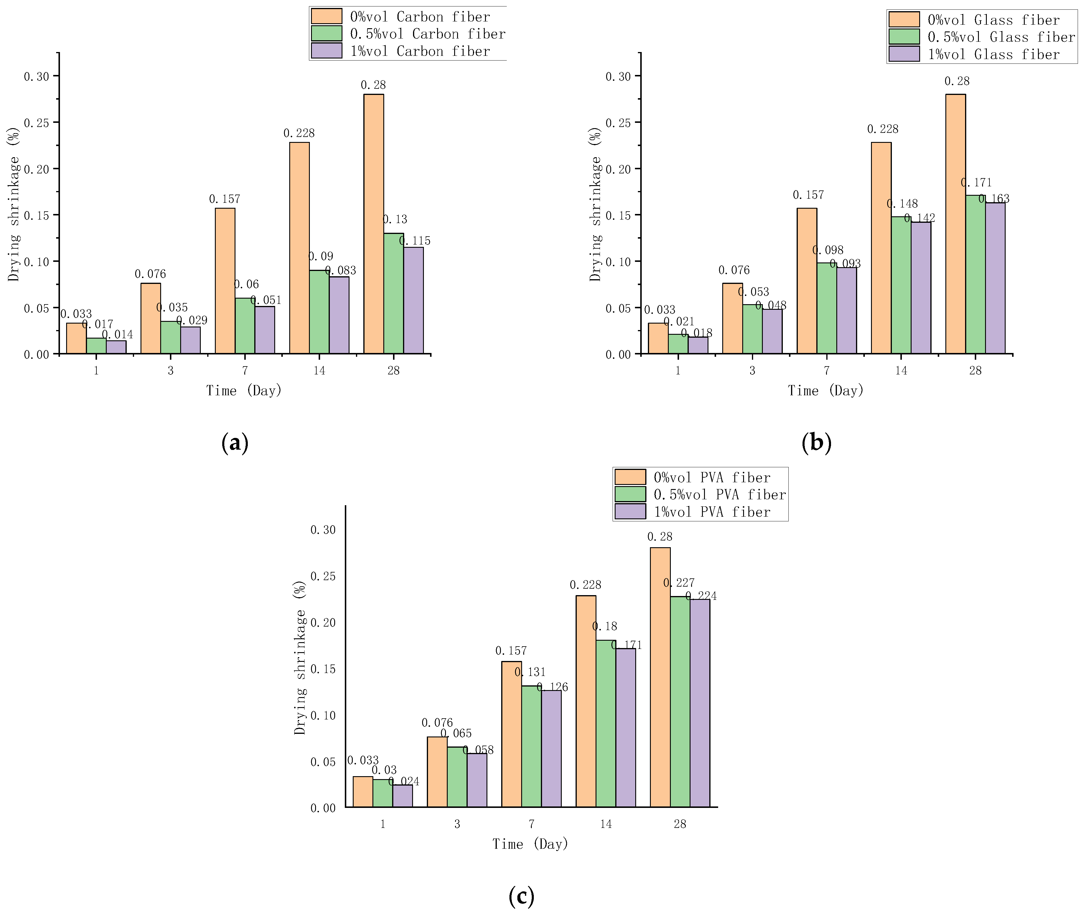
3.2. Change of Drying Shrinkage with Time
3.3. Change of Strength with Volume Content
3.3.1. The Compressive Strength Changes with the Dosage
3.3.2. The Bending Strength Changes with the Dosage
3.3.3. Influence of Content on Bending Compressive Ratio
3.4. Bending Test Failure Surface Microscope Observation
3.5. Bending Strength Theory Affects Calculations
4. Finite Element Simulation Analysis
4.1. Comparison of Failure Stress Cloud Diagrams
4.2. Comparative Analysis of Load and Displacement
5. Conclusions
- (1)
- The compressive and bending strength of carbon fiber cement-based composites at 28 d increased to 41.6 MPa and 7.6 MPa, respectively, higher than those of glass fiber and PVA fiber.
- (2)
- The higher the fiber volume content, the greater the drying shrinkage. However, the drying shrinkage remains relatively constant once the volume content exceeds 0.5%. Compared with the control group, the shrinkage resistance of 1% volume fraction carbon fiber is the best, with a shrinkage rate of 0.12% at 28 d, followed by glass fiber and PVA fiber. The strength and shrinkage of different curing days are analyzed by correlation, proving that the shrinkage is related to the early strength.
- (3)
- A certain amount of fiber can significantly enhance the mechanical properties of cement-based materials. The bending strength of fiber cement composites increased rapidly initially and then slowly. Carbon fiber is the most significant, increasing to 6.9 MPa and 7.6 MPa at 0.5% and 1% content. The compressive strength showed a trend of first increasing and then decreasing with the content change. Carbon fiber is the most significant, increasing to 46.8 MPa at 0.5% content and decreasing to 41.6 MPa at 1% content.
- (4)
- Theoretical calculations for the number of fibers, center spacing, and critical tensile length are performed, and their relationship to strength is analyzed. When the calculated number of fibers per mm3 is less than 10, the enhancement effect of PVA is most apparent. The most significant carbon fiber reinforcement effect is when the amount of fiber exceeds 10. The smaller the distance between fiber centers, the greater the strength. When the carbon fiber center spacing is 1 mm, the maximum bending strength is 7.6 MPa. Critical tensile length is inversely proportional to bending strength.
- (5)
- Compression and bending finite element models of carbon fiber, glass fiber, and PVA fiber cement-based materials are established by ABAQUS. The finite element model can predict the mechanical properties of fiber cement-based materials with different volume fractions when comparing the load-displacement relationship between numerical simulation and experimental measurement.
Author Contributions
Funding
Institutional Review Board Statement
Informed Consent Statement
Data Availability Statement
Conflicts of Interest
References
- De Azevedo, A.R.G.; Klyuev, S.; Marvila, M.T.; Vatin, N.; Alfimova, N.; De Lima, T.E.S.; Fediuk, R.; Olisov, A. Investigation of the Potential Use of Curauá Fiber for Reinforcing Mortars. Fibers 2020, 8, 69. [Google Scholar] [CrossRef]
- Gideon, A.-M.; Milan, R. Effects of Nitinol on the Ductile Performance of Ultra High Ductility Fibre Reinforced Cementitious Composite. Case Stud. Constr. Mater. 2021, 15, e00582. [Google Scholar] [CrossRef]
- Abusogi, M.A.; Bakri, M. Behaviour of cementitious composites reinforced with polypropylene fibres using restrained eccentric ring test. Case Stud. Constr. Mater. 2022, 16, e00841. [Google Scholar] [CrossRef]
- Zhang, D.; Yu, J.; Wu, H.; Jaworska, B.; Ellis, B.R.; Li, V.C. Discontinuous micro-fibers as intrinsic reinforcement for ductile Engineered Cementitious Composites (ECC). Compos. Part B Eng. 2020, 184, 107741. [Google Scholar] [CrossRef]
- Li, S.; Hu, B.; Zhang, F. Preparation and Properties of Glass Fiber/Plant Fiber Reinforced Cementitious Composites. Sci. Adv. Mater. 2018, 10, 1028–1035. [Google Scholar] [CrossRef]
- Xie, X.; Zhou, Z.; Jiang, M.; Xu, X.; Wang, Z.; Hui, D. Cellulosic fibers from rice straw and bamboo used as reinforcement of cement-based composites for remarkably improving mechanical properties. Compos. Part B Eng. 2015, 78, 153–161. [Google Scholar] [CrossRef]
- Zhu, J.; Wei, J.; Yu, Q.; Xu, M.; Luo, Y. Hybrid Effect of Wollastonite Fiber and Carbon Fiber on the Mechanical Properties of Oil Well Cement Pastes. Adv. Mater. Sci. Eng. 2020, 2020, 4618035. [Google Scholar] [CrossRef]
- Hambach, M.; Möller, H.; Neumann, T.; Volkmer, D. Portland cement paste with aligned carbon fibers exhibiting exceptionally high flexural strength (>100 MPa). Cem. Concr. Res. 2016, 89, 80–86. [Google Scholar] [CrossRef]
- Wang, C.; Li, K.-Z.; Li, H.-J.; Jiao, G.-S.; Lu, J.; Hou, D.-S. Effect of carbon fiber dispersion on the mechanical properties of carbon fiber-reinforced cement-based composites. Mater. Sci. Eng. A 2008, 487, 52–57. [Google Scholar] [CrossRef]
- Witek, A.; Gawin, D. Experimental and numerical study on the efficiency of the polypropylene fibers admixture in reducing pore pressure in heated concrete. J. Build. Phys. 2014, 38, 121–137. [Google Scholar] [CrossRef]
- Tajdini, M.; Bonab, M.H.; Golmohamadi, S. An Experimental Investigation on Effect of Adding Natural and Synthetic Fibres on Mechanical and Behavioural Parameters of Soil-Cement Materials. Int. J. Civ. Eng. 2018, 16, 353–370. [Google Scholar] [CrossRef]
- Mu, R.; Wang, Z.; Wang, X.; Qing, L.; Li, H. Experimental study on shear properties of aligned steel fiber reinforced cement-based composites. Constr. Build. Mater. 2018, 184, 27–33. [Google Scholar] [CrossRef]
- Luo, J.; Faivre, J.; Engqvist, H.; Persson, C. The Addition of Poly(Vinyl Alcohol) Fibers to Apatitic Calcium Phosphate Cement Can Improve Its Toughness. Materials 2019, 12, 1531. [Google Scholar] [CrossRef] [PubMed] [Green Version]
- Zhao, Y.; Yang, X.; Zhang, Q.; Liang, N.; Xiang, Y.; Qin, M. Crack Resistance and Mechanical Properties of Polyvinyl Alcohol Fiber-Reinforced Cement-Stabilized Macadam Base. Adv. Civ. Eng. 2020, 2020, 6564076. [Google Scholar] [CrossRef]
- Corinaldesi, V.; Nardinocchi, A. Mechanical characterization of Engineered Cement-based Composites prepared with hybrid fibres and expansive agent. Compos. Part B Eng. 2016, 98, 389–396. [Google Scholar] [CrossRef]
- Curosu, I.; Liebscher, M.; Burk, S.; Li, H.; Hempel, S.; Raak, N.; Rohm, H.; Mechtcherine, V. Influence of fiber type on the tensile behavior of high-strength strain-hardening cement-based composites (SHCC) at elevated temperatures. Mater. Des. 2021, 198, 109397. [Google Scholar] [CrossRef]
- Kozicki, J.; Tejchman, J. Effect of steel fibres on concrete behavior in 2D and 3D simulations using lattice model. Arch. Mech. 2010, 62, 465–492. [Google Scholar]
- Ma, P.; Xin, M.; Zhang, Y.; Ge, S.; Wang, D.; Jiang, C.; Zhang, L.; Cheng, X. Facile synthesis of novel dopamine-modified glass fibers for improving alkali resistance of fibers and flexural strength of fiber-reinforced cement. RSC Adv. 2021, 11, 18818–18826. [Google Scholar] [CrossRef]
- Hu, J.-H.; Sun, M.-Q.; Li, J.; Wei, Y.-P.; Chen, J.-Z. Tensile characteristics of strain-hardening cement-based composites with different curing ages. Constr. Build. Mater. 2019, 221, 709–719. [Google Scholar] [CrossRef]
- Li, Q.-H.; Sun, C.-J.; Xu, S.-L. Thermal and mechanical properties of ultrahigh toughness cementitious composite with hybrid PVA and steel fibers at elevated temperatures. Compos. Part B Eng. 2019, 176, 107201. [Google Scholar] [CrossRef]
- Chen, W.; Ji, X.; Huang, Z. Influence of fiber type on mechanical properties of lightweight cement-based composites. Sci. Eng. Compos. Mater. 2021, 28, 249–263. [Google Scholar] [CrossRef]
- Bezerra, E.M.; Joaquim, A.P.; Savastano, H., Jr.; John, V.M.; Agopyan, V. The effect of different mineral additions and synthetic fiber contents on properties of cement based composites. Cem. Concr. Compos. 2006, 28, 555–563. [Google Scholar] [CrossRef]
- Loh, Z.P.; Mo, K.H.; Tan, C.G.; Yeo, S.H. Mechanical characteristics and flexural behaviour of fibre-reinforced cementitious composite containing PVA and basalt fibres. Sādhanā 2019, 44. [Google Scholar] [CrossRef] [Green Version]
- Özkan, Ş.; Demir, F. The hybrid effects of PVA fiber and basalt fiber on mechanical performance of cost effective hybrid cementitious composites. Constr. Build. Mater. 2020, 263, 120564. [Google Scholar] [CrossRef]
- Halvaei, M.; Jamshidi, M.; Latifi, M.; Ejtemaei, M. Effects of volume fraction and length of carbon short fibers on flexural properties of carbon textile reinforced engineered cementitious composites (ECCs); an experimental and computational study. Constr. Build. Mater. 2020, 245, 118394. [Google Scholar] [CrossRef]
- Kizilkanat, A.B. Experimental Evaluation of Mechanical Properties and Fracture Behavior of Carbon Fiber Reinforced High Strength Concrete. Period. Polytech. Civ. Eng. 2016, 60, 289–296. [Google Scholar] [CrossRef] [Green Version]
- Ma, Y.; Yang, X.; Wang, P. Effect of Fiber Reinforcement on Early Drying Shrinkage Cracking of Hardened Cement Based Material. J. Tongji Univ. Nat. Sci. 2007, 35, 644–648. [Google Scholar]
- Cho, S.-J.; Li, F.; Bandalos, D. Accuracy of the Parallel Analysis Procedure with Polychoric Correlations. Educ. Psychol. Meas. 2009, 69, 748–759. [Google Scholar] [CrossRef]
- Ashkezari, G.D.; Fotouhi, F.; Razmara, M. Experimental relationships between steel fiber volume fraction and mechanical properties of ultra-high performance fiber-reinforced concrete. J. Build. Eng. 2020, 32, 101613. [Google Scholar] [CrossRef]
- Jiang, Y.; Chen, T.; Du, H. Effect of Steel Fiber on Performance of Reactive Powder Concrete. Bull. Chin. Ceram. Soc. 2017, 36, 2173–2177. [Google Scholar]
- Han, B.; Zhang, L.; Zhang, C.; Wang, Y.; Yu, X.; Ou, J. Reinforcement effect and mechanism of carbon fibers to mechanical and electrically conductive properties of cement-based materials. Constr. Build. Mater. 2016, 125, 479–489. [Google Scholar] [CrossRef] [Green Version]
- Romualdi, J.P.; Mandel, J.A. Tensile strength of concrete affected by uniformly distributed and closely spaced short lengths of wire reinforcement. J. Am. Concr. Inst. 1964, 61, 27–37. [Google Scholar]
- Ji, Y.; Zou, Y.; Ma, Y.; Wang, H.; Li, W.; Xu, W. Frost Resistance Investigation of Fiber-Doped Cementitious Composites. Materials 2022, 15, 2226. [Google Scholar] [CrossRef] [PubMed]


















| Material Type | Diameter (μm) | Length (mm) | Density (g/cm3) | Tensile Strength (MPa) | Elastic Modulus (GPa) | Elongation (%) |
|---|---|---|---|---|---|---|
| Carbon | 6.8–20 | 3–18 | 1.57–1.80 | 523–4660 | 33–268 | 0.8–2.4 |
| Glass | 6–20 | 3–6 | 2.6 | 2000–4000 | 70–80 | 2.0–3.5 |
| PVA | 39 | 8–12 | 1.3 | 1600 | 42.8 | 6 |
| PBO | 13 | 6 | 1.54–1.56 | 5800 | 180–270 | 2.5–3.5 |
| Steel | 150–1000 | 13–25 | 7.8 | 350–2000 | 210 | 2–4 |
| PE | 24–38 | 12 | 0.97 | 1950–3000 | 39–100 | 3.1–8.0 |
| Basalt | 15–16 | 12 | 2.6–2.8 | 2230–4840 | 85.8–89.0 | 2.58–3.15 |
| Aramid | 12 | 6 | 1.39 | 3400 | 74 | 4.5 |
| PP | 12–41 | 6–12 | 0.91–0.97 | 850–928 | 2.7–9.0 | 7.3–30 |
| Nylon | 8 | 1 | 1.14 | 966 | 6 | 18 |
| Nitinol | 500–1000 | / | 6.45 | 895 | 41 | 38 |
| Curauá | / | / | 1.37–1.47 | 495.9 + 2.33 | 35.2 + 1.88 | / |
| Fineness Modulus | Water Requirement of Normal Consistency (%) | Stabilities | Setting Time (min) | Bending Strength (MPa) | Compressive Strength (MPa) | |||
|---|---|---|---|---|---|---|---|---|
| Initial Setting | Final Setting | 3 d | 28 d | 3 d | 28 d | |||
| 3.2 | 25.4 | 18 | 160 | 210 | 5.6 | 9.4 | 25.8 | 45.2 |
| Square Hole Sieve Diameter (mm) | 2.00 | 1.60 | 1.00 | 0.50 | 0.16 | 0.08 |
|---|---|---|---|---|---|---|
| Cumulative sieve (%) | 0 | 7 ± 5 | 33 ± 5 | 67 ± 5 | 87 ± 5 | 99 ± 5 |
| Material Type | Tensile Strength (MPa) | Elongation (%) | Fiber Density (g/cm3) | Elastic Modulus (GPa) | Diameter (mm) |
|---|---|---|---|---|---|
| Carbon fiber | 3500 | 1.5 | 1.6 | 230 | 0.007 |
| Glass fiber | 2500 | 3.6 | 4.8 | 70 | 0.008 |
| PVA fiber | 1900 | 8 | 1.3 | 35 | 0.012 |
| Mixture ID | Cement | Sand | Water | Carbon Fiber | Glass Fiber | PVA Fiber | Superplasticizer |
|---|---|---|---|---|---|---|---|
| 0% | 700 | 1400 | 350 | 0 | 0 | 0 | 0 |
| Carbon 0.5% | 700 | 1400 | 350 | 0.8 | 0 | 0 | 5 |
| Carbon 1% | 700 | 1400 | 350 | 1.6 | 0 | 0 | 15 |
| Glass 0.5% | 700 | 1400 | 350 | 0 | 2.4 | 0 | 5 |
| Glass 1% | 700 | 1400 | 350 | 0 | 4.8 | 0 | 15 |
| PVA 0.5% | 700 | 1400 | 350 | 0 | 0 | 0.65 | 5 |
| PVA 1% | 700 | 1400 | 350 | 0 | 0 | 1.3 | 15 |
| Material Type | A1 | B1 | Compressive Strength Formula | R2 |
|---|---|---|---|---|
| Carbon fiber | 12.9 | 0.33 | y = 12.9x0.33 | 0.985 |
| Glass fiber | 6.9 | 0.53 | y = 6.9x0.53 | 0.994 |
| PVA fiber | 7.0 | 0.49 | y = 7.0x0.49 | 0.997 |
| Control group | 16.4 | 0.29 | y = 16.4x0.29 | 0.964 |
| Material Type | A2 | B2 | Bending Strength Formula | R2 |
|---|---|---|---|---|
| Carbon fiber | 3.17 | 0.22 | y = 3.17x0.22 | 0.994 |
| Glass fiber | 2.57 | 0.32 | y = 2.57x0.32 | 0.978 |
| PVA fiber | 2.73 | 0.26 | y = 2.73x0.26 | 0.924 |
| Control group | 2.43 | 0.2 | y = 2.43x0.2 | 0.99 |
| Pearson Correlation | |||||
|---|---|---|---|---|---|
| Fiber Type | Curing Day | Bending Strength | Compressive Strength | Drying Shrinkage | |
| Fiber type | 1 | ||||
| Curing day | 0.000 | 1 | |||
| bending strength | −0.354 | 0.832 ** | 1 | ||
| Compressive strength | 0.210 | 0.920 ** | 0.739 ** | 1 | |
| Drying shrinkage | 0.536 | 0.785 ** | 0.453 | 0.831 ** | 1 |
Publisher’s Note: MDPI stays neutral with regard to jurisdictional claims in published maps and institutional affiliations. |
© 2022 by the authors. Licensee MDPI, Basel, Switzerland. This article is an open access article distributed under the terms and conditions of the Creative Commons Attribution (CC BY) license (https://creativecommons.org/licenses/by/4.0/).
Share and Cite
Ji, Y.; Zou, Y.; Wan, X.; Li, W. Mechanical Investigation on Fiber-Doped Cementitious Materials. Polymers 2022, 14, 1663. https://doi.org/10.3390/polym14091663
Ji Y, Zou Y, Wan X, Li W. Mechanical Investigation on Fiber-Doped Cementitious Materials. Polymers. 2022; 14(9):1663. https://doi.org/10.3390/polym14091663
Chicago/Turabian StyleJi, Yongcheng, Yunfei Zou, Xucheng Wan, and Wei Li. 2022. "Mechanical Investigation on Fiber-Doped Cementitious Materials" Polymers 14, no. 9: 1663. https://doi.org/10.3390/polym14091663
APA StyleJi, Y., Zou, Y., Wan, X., & Li, W. (2022). Mechanical Investigation on Fiber-Doped Cementitious Materials. Polymers, 14(9), 1663. https://doi.org/10.3390/polym14091663

