Investigation into Layer Number Effect on Breakdown Strength of Multi-Layer Polymer Films
Abstract
:1. Introduction
2. Experimental Research on Relation between EBD and n
2.1. Experimental Setup
2.2. Experimental Results
3. Review of Different Groups of EBD-n Data
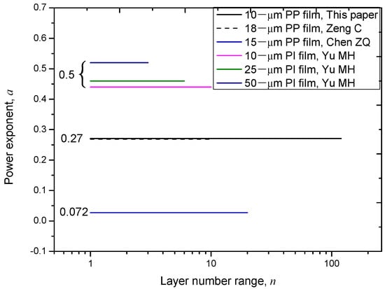
3.1. In Perspective of Layer Number
- (1)
- moderate dependency, which corresponds to a power exponent of 0.27;
- (2)
- fast dependency, which corresponds to a power exponent about 0.5;
- (3)
- slow dependency, which corresponds to a power exponent of 0.072.

3.2. In Perspective of Thickness
4. Mechanism of the Layer Number Effect on EBD
4.1. Review of Solid Dielectric Breakdown Mechanism
4.2. Factors Leading to Decrease of a
4.3. Factors Leading to Increase of a
5. Conclusions
- (1)
- The relation between EBD and n for the layer number effect on EBD conforms to a minus power law. The power exponent, a, range from 0.07 to 0.5 and is averaged to be 0.27.
- (2)
- The value of a is affected by two factors: the inter-layer defects and the intra-layer defects. As the thickness of single-layer decreases, the inter-layer defects decrease in size and a decreases, whereas the intra-layer defects increases in amount and a increases. Both factors together lead to variation of a in a wide range.
Author Contributions
Funding
Institutional Review Board Statement
Informed Consent Statement
Data Availability Statement
Conflicts of Interest
References
- Zhang, J.; Zhang, Y.; Chen, Q.; Chen, X.; Wang, G.; Dong, X.; Yang, J.; Bai, W.; Tang, X. Enhancement of Energy-Storage Density in PZT/PZO-Based Multilayer Ferroelectric Thin Films. Nanomaterials 2021, 11, 2141. [Google Scholar] [CrossRef] [PubMed]
- Wang, W.; Qian, J.; Geng, C.; Fan, M.; Yang, C.; Lu, L.; Cheng, Z. Flexible Lead-Free Ba0.5Sr0.5TiO3/0.4BiFeO3-0.6SrTiO3 Dielectric Film Capacitor with High Energy Storage Performance. Nanomaterials 2021, 11, 3065. [Google Scholar] [CrossRef] [PubMed]
- Liu, T.; Wang, W.; Qian, J.; Li, Q.; Fan, M.; Yang, C.; Huang, S.; Lu, L. Excellent Energy Storage Performance in Bi(Fe0.93Mn0.05Ti0.02)O3 Modified CaBi4Ti4O15 Thin Film by Adjusting Annealing Temperature. Nanomaterials 2022, 12, 730. [Google Scholar] [CrossRef] [PubMed]
- Galvão, R.K.H.; Kienitz, K.H.; Hadjiloucas, S.; Walker, G.C.; Bowen, J.W.; Soares, S.F.C.; Araújo, M.C.U. Multivariate Analysis of the Dielectric Response of Materials Modeled using Networks of Resistors and Capacitors. IEEE Trans. Dielectr. Electr. Insul. 2013, 20, 995–1008. [Google Scholar] [CrossRef]
- Su, J.C.; Li, R.; Cheng, J.; Yu, B.X.; Zhang, X.B.; Zhao, L.; Huang, W.H. A coaxial-output rolled strip pulse forming line based on multi-layer films. Laser Part. Beams 2017, 36, 69–75. [Google Scholar] [CrossRef]
- Yu, B.X.; Su, J.L.R.; Cheng, J.; Zheng, L.; Zeng, B.; Xu, X.D.; Gao, P.C. A quasi-coxial HV rolled pulse forming line. Rev. Sci. Instrum. 2018, 89, 095101. [Google Scholar] [CrossRef]
- Plesa, I.; Notingher, P.V.; Stancu, C.; Wiesbrock, F.; Schlogl, S. Polyethylene Nanocomposites for Power Cable Insulations. Polymers 2018, 11, 24. [Google Scholar] [CrossRef] [Green Version]
- Li, Z.Y.; Sun, W.F.; Zhao, H. Significantly Improved Electrical Properties of Photo-Initiated Auxiliary Crosslinking EPDM Used for Cable Termination. Polymers 2019, 11, 2083. [Google Scholar] [CrossRef] [Green Version]
- Yu, B.X.; Li, R.; Su, J.C.; Zhao, L.; Zhang, Y.; Zheng, L.; Zeng, B.; Cheng, J.; Gao, P.-C.; Qiu, X.-D.; et al. Analysis of the match problem of a capacitive voltage divider with a long measurement cable. Meas. Sci. Technol. 2017, 28, 095009. [Google Scholar] [CrossRef]
- Zhao, L.; Su, J.C.; Li, R.; Xu, X.D.; Yu, B.X.; Zeng, B. A Novel Screw-Based Probe to Measure Pulse Forming Line Voltage in Tesla-Type Generators. IEEE Trans. Plasma Sci. 2020, 48, 3305–3311. [Google Scholar] [CrossRef]
- Zhao, L.; Su, J.C.; Li, R.; Yu, B.X.; Zeng, B.; Cheng, J.; Zheng, L.; Zhang, Y.; Xu, X.D. Two compact coaxial cable connectors for measuring nanosecond-pulse signals in pulsed power system. IEEE Trans. Plasma Sci. 2018, 46, 3291–3299. [Google Scholar] [CrossRef]
- Zeng, C.; Zheng, X. Experimental Investigation of the Influence of Gaseous Defects on Glycerin-Impregnated Multilayer Film Insulation for LTD. IEEE Trans. Plasma Sci. 2014, 42, 3573–3578. [Google Scholar] [CrossRef]
- Zeng, C.; Zheng, X. Effects of Gaseous Defects on Glycerin-impregnated Multi-layer Film Insulation under Impulse of 160-nanosecond Wave-front. IEEE Trans. Dielectr. Elect. Insul. 2015, 22, 535–540. [Google Scholar] [CrossRef]
- Diaham, S.; Zelmat, S.; Locatelli, M.L. Dielectric Breakdown of Polyimide Films: Area, Thickness and Temperature Dependence. IEEE Trans. Dielectr. Electr. Insul. 2010, 17, 18–27. [Google Scholar] [CrossRef]
- Guinane, L.; Tofail, S.A.M.; Stenson, B.; O’Malley, J.; Glynn, C.; Geary, S.; Diaham, S. Electric field DC conductivity dependency of polyimide films. IEEE Trans. Dielectr. Electr. Insul. 2020, 25, 1440–1445. [Google Scholar] [CrossRef]
- Yang, Q.; Wang, X.; Yang, C.K.; Deng, J.; Nie, R.; Deng, Q.; Chen, X.; Yang, H.; Xu, K.; Wang, F. The Positive Temperature Coefficient of Resistivity in BiFeO3 Films. Nanomaterials 2022, 12, 892. [Google Scholar] [CrossRef] [PubMed]
- Forlani, F.; Minnaja, N. Thickness influence in breakdown phenomena of thin dielectric films. Phys. Status Solid 1964, 4, 311–324. [Google Scholar] [CrossRef]
- Merrill, R.C.; West, R.A. Thickness effect of some common dielectrics. In Proceedings of the Spring Meeting of the Electrochemistry Society, Philadelphia, PA, USA, 8–13 May 1977. [Google Scholar]
- Plessner, K.W. Thickness Measurements of Thin Films. Nature 1946, 158, 915. [Google Scholar] [CrossRef]
- Zhao, L.; Liu, C.L. Review and Mechanism of the Thickness Effect of Solid Dielectrics. Nanomaterials 2020, 10, 2473. [Google Scholar] [CrossRef]
- Cygan, S.; Laghari, J.R. Dependence of the Electric Strength on Thickness Area and Volume of Polypropylene. IEEE Trans. Electr. Insul. 1987, EI-22, 835–837. [Google Scholar] [CrossRef]
- Laihonen, S.J.; Gafvert, U.; Schutte, T.; Gedde, U.W. DC Breakdown Strength of Polypropylene Films: Area Dependence and Statistical Behavior. IEEE Trans. Dielectr. Electr. Insul. 2007, 14, 275–286. [Google Scholar] [CrossRef]
- Yilmaz, G.; Kalenderli, O. The effect of thickness and area on the electric strength of thin dielectric films. In Proceedings of the IEEE International Symposium on Electrical Insulation, Montreal, QC, Canada, 16–19 June 1996; pp. 478–481. [Google Scholar]
- Chen, Z.Q.; Jia, W.; Cheng, L.; Fu, M.Y.; Xie, L.S.; Guo, F.; Wu, W.; Wang, H.Q.; Ji, S.C. Prediction of breakdown field strength for large-area and multi-layer film dielectrics. IEEE Trans. Dielectr. Elect. Insul. 2022, 29. [Google Scholar] [CrossRef]
- Morton, V.M.; Stannett, A.W. Volume dependence of electric strength of polymers. Proc. Inst. Electr. Eng. 1968, 115, 1857. [Google Scholar] [CrossRef]
- Zhao, L.; Su, J.C.; Pan, Y.F.; Li, R.; Zeng, B.; Cheng, J.; Yu, B.X. Correlation between volume effect and lifetime effect of solid dielectrics on nanosecond time scale. IEEE Trans. Dielectr. Electr. Insul. 2015, 22, 1769–1776. [Google Scholar] [CrossRef]
- Su, J.C.; Zhao, L.; Rui, L.; Zeng, B.; Cheng, J. A Unified Expression for Enlargement Law on Electric Breakdown Strength of Polymers under Short Pulses: Mechanism and Review. IEEE Trans. Dielectr. Electr. Insul. 2016, 23, 2319–2327. [Google Scholar] [CrossRef]
- Attachment 5: Brands and Properties of Common PP Films. Available online: https://wk.baidu.com/view/fbb4918cf705cc17552709dd?fromShare=1&fr=copy©fr=copylinkpop (accessed on 28 January 2022).
- Zeng, C.; Lei, W.Q.; Zheng, X.Q. Breakdown Probability for Multi-layer Film Insulation of LTDs Secondary-turn. High Volt. Eng. 2016, 42, 931–935. [Google Scholar]
- Yu, M.H.; Yang, L.J.; Lin, T.Y.; Zhang, Y.P.; Liu, G.; Ding, J. Insulation Properties of Polyimide Film Laminated Structures Under Repeated Nanosecond Pulse Volta. High Volt. Eng. 2021, 47, 695–704. [Google Scholar]
- Zhao, L.; Su, J.C.; Pan, Y.F.; Li, R.; Yu, B.X.; Zeng, B.; Cheng, J.; Zheng, L.; Zhang, Y.; Xu, X.D. Phenomena on Cumulative Breakdown Process of Organic Glass under DC Microsecond Pulses: Comparison and Basic Understanding. IEEE Trans. Dielectr. Electr. Insul. 2018, 25, 993–1002. [Google Scholar] [CrossRef]
- Wang, T.; Jue, W.; Ping, Y. Research of electrical treeing characteristics in PMMA under nanosecond pulses. Adv. Technol. Electr. Eng. Energy 2017, 36, 62–68. [Google Scholar]








| Index | Value | Unit | Condition |
|---|---|---|---|
| Relative dielectric constant | 2.2 | / | 23 °C: 50 Hz |
| 2.2 | 23 °C: 1 kHz | ||
| Dielectric loss factor | 2 × 10−4 | / | 23 °C: 50 Hz |
| 2 × 10−4 | 23 °C: 1 kHz | ||
| Surface resistance | 1014 | Ω | 23 °C |
| Breakdown field | 700 400 | V/μm | dcac, 23 °C, 50 Hz |
| Longitude tensile strength | 175 | MPa | Speed: 100%/min. 23 °C, 50% r.h |
| Horizontal tensile strength | 290 | MPa | |
| Longitude elastic modulus | 2900 | MPa | Speed: 100%/min. 23 °C, 50% r.h |
| Horizontal elastic modulus | 4900 | MPa | |
| Longitude elongation at break | 165 | % | Speed: 100%/min. 23 °C, 50% r.h |
| Horizontal elongation at break | 55 | % | |
| Longitude thermal shrinkage | 2.5 | % | 120 °C in air, 15 min |
| Horizontal thermal shrinkage | 0.6 | % | |
| Density | 0.91 | g/cm3 | 23 °C |
| Water absorption | <−0.1 | % | 23 °C immersed in water for 4 days |
| Layer Number Range | Thickness per Layer/μm | Value of a | Test Object | Test Condition | Researcher /Year |
|---|---|---|---|---|---|
| 1–10 | 18 | 0.27 | PP films | Immersed in Glycerin; ns second pulse; | Zeng C/2014 [12,13,29] |
| 1–10 | 10 | 0.44 | PI films * | Immersed in transformer oil; ns second pulse; | Yu MH/2021 [30] |
| 1–6 | 25 | 0.46 | |||
| 1–3 | 50 | 0.56 | |||
| 1–20 | 15 | 0.072 | PP films | Immersed in transformer oil; dc voltage; | Chen ZQ/2022 [24] |
| 1–120 | 10 | 0.27 | PP films | Immersed in transformer oil; dc voltage; | This paper/2022 |
Publisher’s Note: MDPI stays neutral with regard to jurisdictional claims in published maps and institutional affiliations. |
© 2022 by the authors. Licensee MDPI, Basel, Switzerland. This article is an open access article distributed under the terms and conditions of the Creative Commons Attribution (CC BY) license (https://creativecommons.org/licenses/by/4.0/).
Share and Cite
Zhao, L.; Yu, B.; Shang, W. Investigation into Layer Number Effect on Breakdown Strength of Multi-Layer Polymer Films. Polymers 2022, 14, 1653. https://doi.org/10.3390/polym14091653
Zhao L, Yu B, Shang W. Investigation into Layer Number Effect on Breakdown Strength of Multi-Layer Polymer Films. Polymers. 2022; 14(9):1653. https://doi.org/10.3390/polym14091653
Chicago/Turabian StyleZhao, Liang, Binxiong Yu, and Wei Shang. 2022. "Investigation into Layer Number Effect on Breakdown Strength of Multi-Layer Polymer Films" Polymers 14, no. 9: 1653. https://doi.org/10.3390/polym14091653
APA StyleZhao, L., Yu, B., & Shang, W. (2022). Investigation into Layer Number Effect on Breakdown Strength of Multi-Layer Polymer Films. Polymers, 14(9), 1653. https://doi.org/10.3390/polym14091653

