The Effect of Cross-Linking Type on EPDM Elastomer Dynamics and Mechanical Properties: A Molecular Dynamics Simulation Study
Abstract
:1. Introduction
2. Cross-Linking Types of EPDM
2.1. Cross-Linking during Manufacturing
2.2. Cross-Linking during Thermo-Oxidation
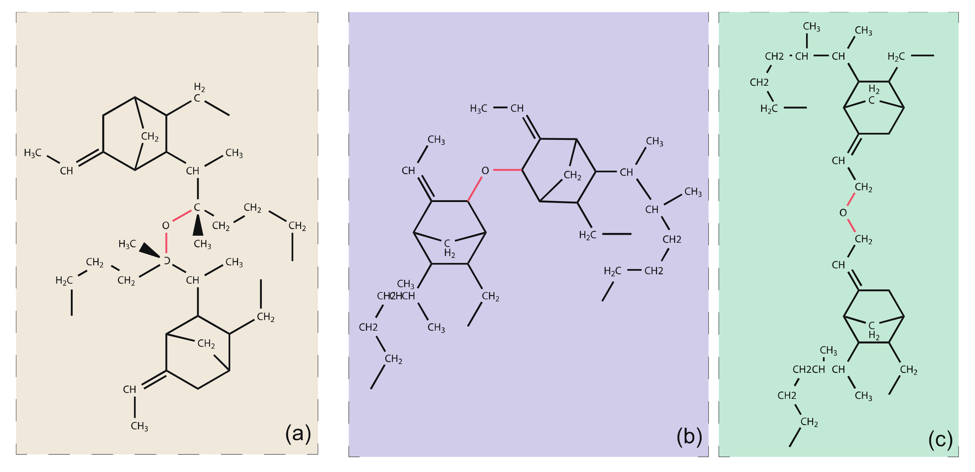
2.3. Construction of EPDM Cross-Linked Molecules
3. Molecular Dynamic Simulation Method
3.1. MD Simulations
3.2. Potentials
3.3. Periodic Boundary Conditions
3.4. Radius of Gyration
3.5. Mean-Squared Displacement
3.6. Uniaxial Stress–Strain Behavior
3.7. Free Volume
4. Results and Discussion
4.1. Relaxation
4.2. Density
4.3. Radical Radius
4.4. Free Volume
4.5. Diffusion
4.6. Uniaxial Tensile Properties
5. Conclusions
- (1)
- The Rg shaped by cross-linked bonds with C9 participation is greater than C2*, the Rg shaped with C3 participation is smaller, and the free volume associated with the Rg follows this pattern as well. In comparison to the origin cross-linking, the Rg shaped by oxidized cross-linking of C2*-O-C2* and C9-O-C9 grows greater, whereas that of C3-O-C3 becomes smaller.
- (2)
- According to the models developed in this paper, cross-linking of C2*-C2*, C3-O-C3, and C9-O-C9 has a significant constraining effect on molecular diffusion motion, C2*-C3, and C3-C3 have a minor inhibiting effect on diffusion, while C2*-C9 and C9-C9 boost molecular self-diffusion motion.
- (3)
- The topological restrictions are weaker in C2*-C9 and C9-C9, and the FFV of M4 and M9 is more than double that of M1, offering greater free space for chain movement, which is why M4 and M6 have superior self-diffusion ability while being more cross-linked than M1.
- (4)
- Cross-links between the main chains significantly provide a positive contribution to the modulus, and the conformational entropy of the cross-linking between the C9 atoms of the side chains is higher than that between the C3 atoms. The effect of cross-links made up of the side chains and the main chain have an entropy in between that of C9-C9 and C3-C3.
- (5)
- The ether cross-linking formed by the oxidation of the side chain cross-linking enhances the inhibition effect on diffusion properties while the main chain cross-linking has the inverse result.
Author Contributions
Funding
Institutional Review Board Statement
Informed Consent Statement
Data Availability Statement
Conflicts of Interest
References
- Liu, X.; Gao, J.; Liu, W.; Wang, Q. Reinforcing effects of waterproof substrate on the photo-, thermal and pH stabilities of perovskite nanocrystals. J. Alloys Compd. 2020, 817, 152693. [Google Scholar] [CrossRef]
- Wang, Z.-N.; Shen, S.-L.; Zhou, A.-N.; Xu, Y.-S. Experimental evaluation of aging characteristics of EPDM as a sealant for undersea shield tunnels. J. Mater. Civ. Eng. 2020, 32, 04020182. [Google Scholar] [CrossRef]
- Movahed, S.O.; Ansarifar, A.; Estagy, S. Review of the reclaiming of rubber waste and recent work on the recycling of ethylene–propylene–diene rubber waste. Rubber Chem. 2016, 89, 54–78. [Google Scholar] [CrossRef] [Green Version]
- Wang, Y.J.; Yang, Y.Y.; Su, F.; Wang, L.B. Multiscale Analytical Method and Its Parametric Study for Lining Joint Leakage of Shield Tunnel. Appl. Sci. 2020, 10, 8528. [Google Scholar] [CrossRef]
- Endstra, W.C.; Wreesmann, C.T. Peroxide crosslinking of EPDM rubbers. In Elastomer Technology Handbook; CRC Press: Boca Raton, FL, USA, 2020; pp. 495–518. [Google Scholar]
- Saleesung, T.; Reichert, D.; Saalwächter, K.; Sirisinha, C. Correlation of crosslink densities using solid state NMR and conventional techniques in peroxide-crosslinked EPDM rubber. Polymer 2015, 56, 309–317. [Google Scholar] [CrossRef]
- Winters, R.; Heinen, W.; Verbruggen, M.A.L.; Lugtenburg, J.; van Duin, M.; de Groot, H.J.M. Solid-State 13C NMR Study of Accelerated-Sulfur-Vulcanized 13C-Labeled ENB−EPDM. Macromolecules 2002, 35, 1958–1966. [Google Scholar] [CrossRef]
- Orza, R.A.; Magusin, P.C.M.M.; Litvinov, V.M.; van Duin, M.; Michels, M.A.J. Mechanism for Peroxide Cross-Linking of EPDM Rubber from MAS 13C NMR Spectroscopy. Macromolecules 2009, 42, 8914–8924. [Google Scholar] [CrossRef]
- Van Duin, M.; Orza, R.; Peters, R.; Chechik, V. Mechanism of Peroxide Cross-Linking of EPDM Rubber. In Polymer Networks: Synthesis, Properties, Theory and Applications; Patrickios, C.S., Ed.; Wiley-V C H Verlag Gmbh: Weinheim, Germany, 2010; Volume 291–292, pp. 66–74. [Google Scholar]
- Kruželák, J.; Sýkora, R.; Hudec, I. Vulcanization of rubber compounds with peroxide curing systems. Rubber Chem. Technol. 2017, 90, 60–88. [Google Scholar] [CrossRef]
- Zachary, M.; Camara, S.; Whitwood, A.C.; Gilbert, B.C.; van Duin, M.; Meier, R.J.; Chechik, V. EPR study of persistent free radicals in cross-linked EPDM rubbers. Eur. Polym. J. 2008, 44, 2099–2107. [Google Scholar] [CrossRef]
- Verbruggen, M.; Van der Does, L.; Noordermeer, J.W.; Van Duin, M. Influence of the diene monomer on devulcanization of EPDM rubber. J. Appl. Polym. Sci. 2008, 109, 976–986. [Google Scholar] [CrossRef]
- Liu, Q.; Li, J.; Jiang, Y.; Cong, C.; Xu, L.; Zhang, Y.; Meng, X.; Zhou, Q. Effect of crosslinked structure on the chemical degradation of EPDM rubber in an acidic environment. Polym. Degrad. Stabil. 2021, 185, 109475. [Google Scholar] [CrossRef]
- Radosavljević, J.; Nikolić, L.; Nikolić, M.; Ilić-Stojanović, S. Effect of ZnO on mechanical and electrical properties of peroxide cured EPDM. Int. Polym. Processing 2018, 33, 695–705. [Google Scholar] [CrossRef]
- Rivaton, A.; Cambon, S.; Gardette, J.-L. Radiochemical ageing of EPDM elastomers. 3. Mechanism of radiooxidation. Nucl. Instrum. Methods Phys. Res. Sect. B: Beam Interact. Mater. At. 2005, 227, 357–368. [Google Scholar] [CrossRef]
- Zhao, Q.; Li, X.; Gao, J. Aging of ethylene–propylene–diene monomer (EPDM) in artificial weathering environment. Polym. Degrad. Stabil. 2007, 92, 1841–1846. [Google Scholar] [CrossRef]
- Kok, C.; Yee, V. The effects of crosslink density and crosslink type on the tensile and tear strengths of NR, SBR and EPDM gum vulcanizates. Eur. Polym. J. 1986, 22, 341–345. [Google Scholar] [CrossRef]
- Ellul, M.D.; Tsou, A.H.; Hu, W. Crosslink densities and phase morphologies in thermoplastic vulcanizates. Polymer 2004, 45, 3351–3358. [Google Scholar] [CrossRef]
- Wang, A.; Vargas-Lara, F.; Younker, J.M.; Iyer, K.A.; Shull, K.R.; Keten, S. Quantifying Chemical Composition and Cross-link Effects on EPDM Elastomer Viscoelasticity with Molecular Dynamics. Macromolecules 2021, 54, 6780–6789. [Google Scholar] [CrossRef]
- Wang, Y.; Yang, Y.; Tao, M. Understanding Free Volume Characteristics of Ethylene-Propylene-Diene Monomer (EPDM) through Molecular Dynamics Simulations. Materials 2019, 12, 612. [Google Scholar] [CrossRef] [Green Version]
- Wu, C.F.; Xu, W.J. Atomistic molecular modelling of crosslinked epoxy resin. Polymer 2006, 47, 6004–6009. [Google Scholar] [CrossRef]
- Wu, C.F.; Xu, W.J. Atomistic simulation study of absorbed water influence on structure and properties of crosslinked epoxy resin. Polymer 2007, 48, 5440–5448. [Google Scholar] [CrossRef]
- Ma, L.X.; Yang, G.; Tang, Y.Z.; He, Y. The Effect of AIREBO on Thermal Conductivity of EPDM Networks. Key Eng. Mater. 2013, 561, 164–168. [Google Scholar] [CrossRef]
- Wang, W.; Tanaka, Y.; Takada, T.; Iwata, S.; Uehara, H.; Li, S. Influence of oxidation on the dynamics in amorphous ethylene-propylene-diene-monomer copolymer: A molecular dynamics simulation. Polym. Degrad. Stabil. 2018, 147, 187–196. [Google Scholar] [CrossRef]
- Wang, Y.J.; Yang, Y.Y.; Wang, L.B. Effect of thermo-oxidation on the dynamical and physical properties of ethylene-propylene-diene monomer elastomer. J. Zhejiang Univ. -Sci. A 2021, 22, 499–513. [Google Scholar] [CrossRef]
- Sun, H.; Ren, P.; Fried, J.R. The COMPASS force field: Parameterization and validation for phosphazenes. Comput. Theor. Polym. Sci. 1998, 8, 229–246. [Google Scholar] [CrossRef]
- Wang, Y.; Yang, G.; Wang, W.; Zhu, S.; Guo, L.; Zhang, Z.; Li, P. Effects of different functional groups in graphene nanofiber on the mechanical property of polyvinyl alcohol composites by the molecular dynamic simulations. J. Mol. Liq. 2019, 277, 261–268. [Google Scholar] [CrossRef]
- Lee, S.; Mattice, W.L. A “phantom bubble” model for the distribution of free volume in polymers. Comput. Theor. Polym. Sci. 1999, 9, 57–61. [Google Scholar] [CrossRef]
- Madkour, T.M. Development of the molecular design rules of ultra-permeable poly 1-(trimethylsilyl)-1-propyne membranes. Polymer 2000, 41, 7489–7497. [Google Scholar] [CrossRef]
- Cifra, P.; Bleha, T. Free energy of deformation of the radius of gyration in semiflexible chains. Macromol. Theory Simul. 2007, 16, 501–512. [Google Scholar] [CrossRef]
- Yamakawa, H. Modern Theory of Polymer Solutions; Harper & Row: Kyoto, Japan, 1971. [Google Scholar]
- Vorov, O.K.; Livesay, D.R.; Jacobs, D.J. Conformational Entropy of an Ideal Cross-Linking Polymer Chain. Entropy 2008, 10, 285–308. [Google Scholar] [CrossRef]














| Molecular Types | M1 | M2 | M3 | M4 | M5 | M6 | M7 | M8 | M9 | |
|---|---|---|---|---|---|---|---|---|---|---|
| E1 | Free chain | 40 | 20 | 20 | 20 | 20 | 20 | 20 | 20 | 20 |
| E2 | C2*-C2* | 10 | ||||||||
| E3 | C2*-C3 | 10 | ||||||||
| E4 | C2*-C9 | 10 | ||||||||
| E5 | C3-C3 | 10 | ||||||||
| E6 | C9-C9 | 10 | ||||||||
| E7 | C2*-O-C2* | 10 | ||||||||
| E8 | C3-O-C3 | 10 | ||||||||
| E9 | C9-O-C9 | 10 |
Publisher’s Note: MDPI stays neutral with regard to jurisdictional claims in published maps and institutional affiliations. |
© 2022 by the authors. Licensee MDPI, Basel, Switzerland. This article is an open access article distributed under the terms and conditions of the Creative Commons Attribution (CC BY) license (https://creativecommons.org/licenses/by/4.0/).
Share and Cite
Wang, Y.; Liu, H.; Li, P.; Wang, L. The Effect of Cross-Linking Type on EPDM Elastomer Dynamics and Mechanical Properties: A Molecular Dynamics Simulation Study. Polymers 2022, 14, 1308. https://doi.org/10.3390/polym14071308
Wang Y, Liu H, Li P, Wang L. The Effect of Cross-Linking Type on EPDM Elastomer Dynamics and Mechanical Properties: A Molecular Dynamics Simulation Study. Polymers. 2022; 14(7):1308. https://doi.org/10.3390/polym14071308
Chicago/Turabian StyleWang, Yajian, Huifang Liu, Pengpeng Li, and Linbing Wang. 2022. "The Effect of Cross-Linking Type on EPDM Elastomer Dynamics and Mechanical Properties: A Molecular Dynamics Simulation Study" Polymers 14, no. 7: 1308. https://doi.org/10.3390/polym14071308
APA StyleWang, Y., Liu, H., Li, P., & Wang, L. (2022). The Effect of Cross-Linking Type on EPDM Elastomer Dynamics and Mechanical Properties: A Molecular Dynamics Simulation Study. Polymers, 14(7), 1308. https://doi.org/10.3390/polym14071308

