Cu(II)/Guanidine Functionalized Disiloxane Complex of Supramolecular Structures for Visible Light-Driven Photocatalysis of Congo Red
Abstract
:1. Introduction
2. Materials and Methods
2.1. Materials
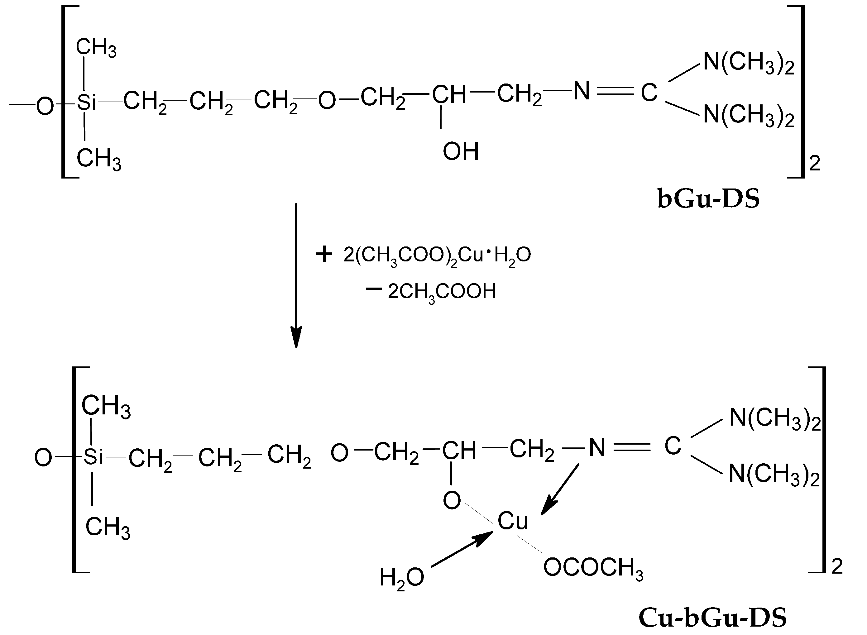
2.2. Preparation of bis(Guanidine Functionalized)-1,1,3,3-Tetramethyldisiloxane Ligand (bGu-DS)
2.3. Complexation of Copper with bGu-DS
2.4. Photocatalytic Activity
2.5. Measurements
3. Results and Discussion
3.1. Structural Characterization of Cu-bGu-DS Complex
3.1.1. X-ray Fluorescence (XRF) and Fourier Transform Infrared (FTIR) Investigation
3.1.2. Theoretical Study of the Conformation of Cu-bGu-DS Complex
3.2. Thermal Behavior of the bGu-DS Ligand and of Its Cu Complex
3.3. Morphology Investigation of Cu-bGu-DS Complex
3.4. Optical Properties of Cu-bGu-DS Complex
3.5. Photocatalytic Activity
4. Conclusions
Supplementary Materials
Author Contributions
Funding
Institutional Review Board Statement
Informed Consent Statement
Acknowledgments
Conflicts of Interest
References
- Rummi, D.S. Textile organic dyes: Polluting effects and elimination methods from textile waste water. Int. J. Chem. Eng. Res. 2017, 9, 121–136. [Google Scholar]
- Al-Sakkaf, B.M.; Nasreen, S.; Ejaz, N. Degradation pattern of textile effluent by using bio and sono chemical reactor. J. Chem. 2020, 2020, 8965627. [Google Scholar] [CrossRef]
- Katheresan, V.; Kansedo, J.; Lau, S.Y. Efficiency of various recent wastewater dye removal methods: A review. J. Environ. Chem. Eng. 2018, 6, 4676–4697. [Google Scholar] [CrossRef]
- Stoilova, O.; Manolova, N.; Rashkov, I. Electrospun Poly(methyl methacrylate)/TiO2 Composites for Photocatalytic Water Treatment. Polymers 2021, 13, 3923. [Google Scholar] [CrossRef] [PubMed]
- Ainali, N.M.; Kalaronis, D.; Evgenidou, E.; Bikiaris, D.N.; Lambropoulou, D.A. Insights into Biodegradable Polymer-Supported Titanium Dioxide Photocatalysts for Environmental Remediation. Macromol 2021, 1, 201–233. [Google Scholar] [CrossRef]
- Wang, Y.; Wang, Q.; Zhan, X.; Wang, F.; Safdar, M.; He, J. Visible light driven type II heterostructures and their enhanced photocatalysis properties: A review. Nanoscale 2013, 5, 8326–8339. [Google Scholar] [CrossRef]
- Paria, S.; Reiser, O. Copper in photocatalysis. ChemCatChem 2014, 6, 2477–2483. [Google Scholar] [CrossRef]
- Nicholls, T.P.; Bissember, A.C. Developments in visible-light-mediated copper photocatalysis. Tetrahedron Lett. 2019, 60, 150883. [Google Scholar] [CrossRef]
- Samira, S.F.; Carvalho, A.C.; Rodrigues, J.; Nakédia, F.L.; Carvalho, M.F. Photocatalytic degradation of dyes by mononuclear copper(II) complexes from bis-(2-pyridylmethyl)amine N,N,N-derivative ligands. Inorg. Chim. Acta 2020, 512, 119881. [Google Scholar]
- Stanek, J.; Rösener, T.; Metz, A.; Mannsperger, J.; Hoffmann, A.; Herres-Pawlis, S. Guanidine metal complexes for bioinorganic chemistry and polymerisation catalysis. In Guanidines as Reagents and Catalysts II. Topics in Heterocyclic Chemistry; Selig, P., Ed.; Springer: Cham, Switzerland, 2015; Volume 51, pp. 95–164. [Google Scholar] [CrossRef]
- Bienemann, O.; Hoffmann, A.; Herres-Pawlis, S. (Guanidine) copper complexes: Structural variety and application in bioinorganic chemistry and catalysis. Rev. Inorg. Chem. 2011, 31, 83–108. [Google Scholar] [CrossRef]
- Boutevin, B.; Guida-Pietrasanta, F.; Ratsimihety, A. Side group modified polysiloxanes. In Silicon-Containing Polymers, The Science and Technology of their Synthesis and Applications; Jones, R.G., Ando, W., Chojnowski, J., Eds.; Kluwer Academic Publishers: Dordrecht, The Netherlands, 2000; pp. 79–112. [Google Scholar]
- Missaghi, M.N.; Kung, M.C.; Kung, H.H. Polysiloxanes in catalysis and catalyst preparation: Opportunities for control of catalytic processes. Top. Catal. 2012, 55, 99–107. [Google Scholar] [CrossRef]
- Pospiech, P.; Chojnowski, J.; Mizerska, U.; Makowski, T.; Strzelec, K.; Sienkiewicz, N. Polysiloxane microspheres functionalized with imidazole groups as a palladium catalyst support. Appl. Organometal. Chem. 2016, 30, 399–407. [Google Scholar] [CrossRef]
- Cypryk, M.; Pospiech, P. Polysiloxanes as supports for catalysts. Chemik 2013, 67, 1173–1180. [Google Scholar]
- Sosnin, I.M.; Vlassov, S.; Dorogin, L.M. Application of polydimethylsiloxane in photocatalyst composite materials: A review. React. Funct. Polym. 2021, 158, 104781. [Google Scholar] [CrossRef]
- Cypryk, M.; Pospiech, P. Polysiloxanes as supports for transition metal catalysts. Polimery 2016, 61, 407–412. [Google Scholar] [CrossRef]
- Wang, Y.; Huang, Z.; Gurney, R.S.; Liu, D. Superhydrophobic and photocatalytic PDMS/TiO2 coatings with environmental stability and multifunctionality. Colloids Surf. 2019, A 561, 101–108. [Google Scholar] [CrossRef]
- Gerasimov, O.V.; Parmon, V.N. Photocatalysis by transition metal complexes. Russ. Chem. Rev. 1992, 61, 154–167. [Google Scholar] [CrossRef]
- Sosnin, I.M.; Vlassov, S.; Akimov, E.G.; Dorogin, L. Transparent ZnO-coated polydimethylsiloxane-based material for photocatalytic purification applications. J. Coat. Technol. Res. 2020, 17, 573–579. [Google Scholar] [CrossRef]
- Jorfi, S.; Mirali, S.; Mostoufi, A.; Ahmadi, M. Visible light photocatalytic degradation of azo dye and a real textile wastewater using Mn, Mo, La/TiO2/AC nanocomposite. Chem. Biochem. Eng. Q. 2018, 32, 215–227. [Google Scholar] [CrossRef]
- Huang, L.; Peng, F.; Yu, H.; Wang, H. Preparation of cuprous oxides with different sizes and their behaviors of adsorption, visible-light driven photocatalysis and photocorrosion. Solid State Sci. 2009, 11, 129–138. [Google Scholar] [CrossRef]
- Lopez, J.B.; Holguin, N.F.; Gonzalez, J.C.; Sanchez, J.A.; Mitnik, D.G. Theoretical study of copper complexes: Molecular structure, properties and its application to solar cells. Int. J. Photoenergy 2013, 2013, 613064. [Google Scholar]
- Nasrollahzadeh, M.; Akbari, R.; Sakhaei, S.; Nezafat, Z.; Banazadeh, S.; Orooji, Y.; Hegde, G. Polymer supported copper complexes/nanoparticles for treatment of environmental contaminants. J. Mol. Liq. 2021, 330, 115668. [Google Scholar] [CrossRef]
- Litefti, K.; Freire, M.S.; Stitou, M.; González-Álvarez, J. Adsorption of an anionic dye (Congo red) from aqueous solutions by pine bark. Sci. Rep. 2019, 9, 16530. [Google Scholar] [CrossRef]
- Pricop, L.; Fortună, M.E.; Popovici, D.; Asandulesa, M.; Racles, C.; Zaltariov, M.F.; Marangoci, N.; Savin, M.; Harabagiu, V. Nickel complexes of guanidine functionalized trisiloxane. J. Ing. Organomet. Polym. Mat. 2019, 29, 2024–2034. [Google Scholar] [CrossRef]
- Liu, H.; Kobayashi, T.; Yu, H. Easy fabrication and morphology control of supramolecular liquid-crystalline polymer microparticles. Macromol. Rapid Commun. 2011, 32, 378–383. [Google Scholar] [CrossRef]
- Zelenak, V.; Vargova, Z.; Gyoryova, K. Correlation of infrared spectra of zinc(II) carboxylates with their structures. Spectrochim. Acta Part A 2007, 66, 262–272. [Google Scholar] [CrossRef] [PubMed]
- Racles, C.; Zaltariov, M.F.; Iacob, M.; Silion, M.; Avadanei, M.; Bargan, A. Siloxane-based metal–organic frameworks with remarkable catalyticactivity in mild environmental photodegradation of azo dyes. Appl. Catal. B Environ. 2017, 205, 78–92. [Google Scholar] [CrossRef]
- Socrates, G. Infrared and Raman Characteristic Group Frequencies: Tables and Charts, 3rd ed.; A John Wiley & Sons, Inc. Publication: New York, NY, USA, 2004; pp. 82–86. [Google Scholar]
- Stewart, J.J. Computational Chemistry; Stewart Computational Chemistry: Colorado Springs, CO, USA, 2016; Available online: http://OpenMOPAC.net (accessed on 2 July 2021).
- Lee, C.; Yang, W.; Parr, R.G. Development of the Colle-Salvetti correlation-energy formula into a functional of the electron density. Phys. Rev. B Condens. Mater. 1988, 37, 785–789. [Google Scholar] [CrossRef]
- Schmidt, M.W.; Baldridge, K.K.; Boatz, J.A.; Elbert, S.T.; Gordon, M.S.; Jensen, J.H.; Koseki, S.; Matsunaga, N.; Nguyen, K.A.; Su, S.; et al. General atomic and molecular electronic structure system. J. Comput. Chem. 1993, 14, 1347–1363. [Google Scholar] [CrossRef]
- Schmider, H.L.; Becke, A.D. Optimized density functionals from the extended G2 test set. J. Chem. Phys. 1998, 108, 9624–9631. [Google Scholar] [CrossRef]
- Merrick, J.P.; Moran, D.; Radom, L. An evaluation of harmonic vibrational frequency scale factors. J. Phys. Chem. A 2007, 111, 11683. [Google Scholar] [CrossRef] [PubMed]
- Vlad, A.; Cazacu, M.; Zaltariov, M.F.; Shova, S.; Turta, C.; Airinei, A. Metallopolymeric structures containing highly flexible siloxane sequence. Polymer 2013, 54, 43–53. [Google Scholar] [CrossRef]
- Zaltariov, M.F.; Cazacu, M.; Sacarescu, L.; Vlad, A.; Novitchi, G.; Train, C.; Shova, S.; Arion, V.B. Oxime-bridged mn6 clusters inserted in one-dimensional coordination polymer. Macromolecules 2016, 49, 6163–6172. [Google Scholar] [CrossRef]
- Escobedo, M.A.; Ruiz-Lopez, I.I.; Ruiz-Peralta, M.d.L.; Tepech-Carrillo, L.; Sanchez-Cantu, M.; Moreno-Orea, J.E. Automated method for the determination of the band gap energy of pure and mixed powder samples using diffuse reflectance spectroscopy. Heliyon 2019, 5, e01505. [Google Scholar] [CrossRef] [PubMed]
- Zanatta, A.R. Revisiting the optical bandgap of semiconductors and the proposal of a unified methodology to its determination. Sci. Rep. 2019, 9, 11225. [Google Scholar] [CrossRef] [PubMed]
- Arora, P.; Fermah, A.; Rajput, J.K.; Singh, H.; Badhan, J. Efficient solar light-driven degradation of Congo red with novel Cu-loaded Fe3O4@TiO2 nanoparticles. Environ. Sci. Pollut. Res. 2017, 24, 19546–19560. [Google Scholar] [CrossRef]












| Experimental (cm−1) | Calculated (cm−1) | Assignment |
|---|---|---|
| 210 | 216 | O → Cu–O sym scissoring |
| 231 | 232 | O–Cu–O sym scissoring |
| 252 | 263 | N → Cu ← O asym scissoring |
| 287 | 288 | O → Cu–O sym scissoring |
| Photocatalyst | Time | Organic Pollutant | Light Wavelength | Efficiency (%) | Ref. |
|---|---|---|---|---|---|
| PDMS/TiO2, coating | 6 days | Methylene blue (3.19 mg/L) | 365 nm, natural | 100% | [18] |
| PDMS-ZnO, powder | 50 h | Phenol (1 mg/L) | 410 nm, 18 W | above 95% | [20] |
| Mn, Mo, La/TiO2/AC, powder | 5 h | Reactive Red 198 (20 mg/L) | Visible light Xenon lamp, 50 W | 84% | [21] |
| Cu-loaded Fe3O4@TiO2 particles | 10 min | Congo red (10 mg/L) | Natural solar irradiation | 95% | [40] |
| Cu-bGu-DS complex | 50 min | Congo red (200 mg/L) | 589.3 nm, 400 W | >97% | This work |
Publisher’s Note: MDPI stays neutral with regard to jurisdictional claims in published maps and institutional affiliations. |
© 2022 by the authors. Licensee MDPI, Basel, Switzerland. This article is an open access article distributed under the terms and conditions of the Creative Commons Attribution (CC BY) license (https://creativecommons.org/licenses/by/4.0/).
Share and Cite
Fortună, M.E.; Pricop, L.; Zaltariov, M.; Popovici, D.; Ignat, M.; Harabagiu, V.; Simionescu, B.C. Cu(II)/Guanidine Functionalized Disiloxane Complex of Supramolecular Structures for Visible Light-Driven Photocatalysis of Congo Red. Polymers 2022, 14, 817. https://doi.org/10.3390/polym14040817
Fortună ME, Pricop L, Zaltariov M, Popovici D, Ignat M, Harabagiu V, Simionescu BC. Cu(II)/Guanidine Functionalized Disiloxane Complex of Supramolecular Structures for Visible Light-Driven Photocatalysis of Congo Red. Polymers. 2022; 14(4):817. https://doi.org/10.3390/polym14040817
Chicago/Turabian StyleFortună, Maria E., Lucia Pricop, Mirela Zaltariov, Dumitru Popovici, Maria Ignat, Valeria Harabagiu, and Bogdan C. Simionescu. 2022. "Cu(II)/Guanidine Functionalized Disiloxane Complex of Supramolecular Structures for Visible Light-Driven Photocatalysis of Congo Red" Polymers 14, no. 4: 817. https://doi.org/10.3390/polym14040817
APA StyleFortună, M. E., Pricop, L., Zaltariov, M., Popovici, D., Ignat, M., Harabagiu, V., & Simionescu, B. C. (2022). Cu(II)/Guanidine Functionalized Disiloxane Complex of Supramolecular Structures for Visible Light-Driven Photocatalysis of Congo Red. Polymers, 14(4), 817. https://doi.org/10.3390/polym14040817

