Configuration Design and Dynamic Characteristics Analysis of Spacecraft Membrane Sunshield
Abstract
1. Introduction
2. Configuration Design of Membrane Sunshield
3. Dynamic Analysis of Membrane Sunshield
3.1. Free Vibration Equation
3.2. Fundamental Frequency Mathematical Model Establishment
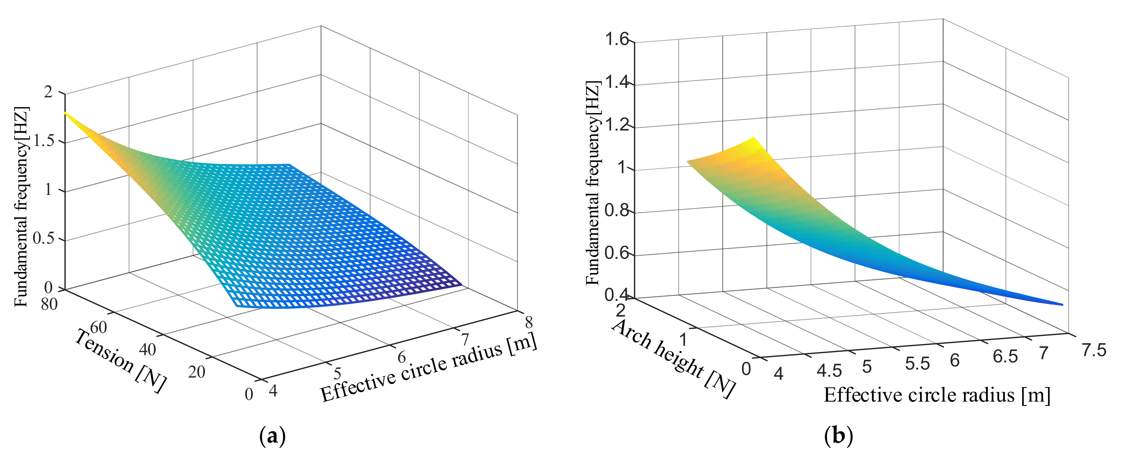
3.3. The Law of Variable Influence on Fundamental Frequency and Multi-Objective Optimization
4. Dynamic Test Analysis of Membrane Sunshield
4.1. Sample Preparation
4.2. Experiment Design
4.3. Test Analysis
4.3.1. Finite Element Simulation Analysis
4.3.2. Prototype Test Analysis
5. Conclusions
Author Contributions
Funding
Institutional Review Board Statement
Informed Consent Statement
Conflicts of Interest
Appendix A
| Effective Circle Radius | Arch Height | Fundamental Frequency under Different Tension Levels (Hz) | |||||||
|---|---|---|---|---|---|---|---|---|---|
| 10/N | 20/N | 30/N | 40/N | 50/N | 60/N | 70 N | 80 N | ||
| 4000 | 150 | 0.70635 | 0.99888 | 1.2233 | 1.4125 | 1.5792 | 1.7298 | 1.8683 | 1.9972 |
| 300 | 0.68585 | 0.96989 | 1.1878 | 1.3715 | 1.5333 | 1.6796 | 1.8140 | 1.9392 | |
| 450 | 0.66203 | 0.93620 | 1.1465 | 1.3238 | 1.4800 | 1.6212 | 1.7510 | 1.8718 | |
| 600 | 0.63965 | 0.90455 | 1.1078 | 1.2791 | 1.4300 | 1.5664 | 1.6918 | 1.8085 | |
| 750 | 0.61907 | 0.87544 | 1.0721 | 1.2379 | 1.3839 | 1.5159 | 1.6373 | 1.7502 | |
| 900 | 0.60028 | 0.84887 | 1.0396 | 1.2003 | 1.3419 | 1.4699 | 1.5875 | 1.6970 | |
| 1050 | 0.58320 | 0.82471 | 1.0100 | 1.1661 | 1.3037 | 1.4280 | 1.5423 | 1.6486 | |
| 1200 | 0.56764 | 0.80270 | 0.98301 | 1.1350 | 1.2688 | 1.3898 | 1.5011 | 1.6045 | |
| 4500 | 150 | 0.58186 | 0.82284 | 1.0077 | 1.1636 | 1.3008 | 1.4249 | 1.5390 | 1.6452 |
| 300 | 0.56496 | 0.79893 | 0.97844 | 1.1298 | 1.2630 | 1.3835 | 1.4943 | 1.5974 | |
| 450 | 0.54658 | 0.77294 | 0.94661 | 1.0930 | 1.2219 | 1.3385 | 1.4457 | 1.5454 | |
| 600 | 0.52931 | 0.74851 | 0.91669 | 1.0584 | 1.1833 | 1.2962 | 1.4000 | 1.4966 | |
| 750 | 0.51345 | 0.72609 | 0.88922 | 1.0267 | 1.1478 | 1.2573 | 1.3580 | 1.4517 | |
| 900 | 0.49887 | 0.70546 | 0.86395 | 0.99755 | 1.1152 | 1.2216 | 1.3194 | 1.4140 | |
| 1050 | 0.48548 | 0.68653 | 0.84077 | 0.97077 | 1.0853 | 1.1888 | 1.2839 | 1.3725 | |
| 1200 | 0.47319 | 0.66914 | 0.81947 | 0.94618 | 1.0578 | 1.1587 | 1.2514 | 1.3377 | |
| 5000 | 150 | 0.48922 | 0.69183 | 0.84728 | 0.97831 | 1.0937 | 1.1981 | 1.2940 | 1.3833 |
| 300 | 0.47495 | 0.67165 | 0.82256 | 0.94976 | 1.0618 | 1.1631 | 1.2562 | 1.3429 | |
| 450 | 0.46085 | 0.65170 | 0.79813 | 0.92156 | 1.0303 | 1.1286 | 1.2189 | 1.3031 | |
| 600 | 0.44729 | 0.63254 | 0.77466 | 0.89446 | 0.99998 | 1.0954 | 1.1831 | 1.2647 | |
| 750 | 0.43481 | 0.61489 | 0.75304 | 0.86949 | 0.97207 | 1.0648 | 1.1501 | 1.2294 | |
| 900 | 0.42321 | 0.59848 | 0.73294 | 0.84628 | 0.94612 | 1.0364 | 1.1193 | 1.1966 | |
| 1050 | 0.41251 | 0.58335 | 0.71441 | 0.82488 | 0.92219 | 1.0101 | 1.0910 | 1.1663 | |
| 1200 | 0.40260 | 0.56933 | 0.69724 | 0.80505 | 0.90002 | 0.98586 | 1.0648 | 1.1382 | |
| 5500 | 150 | 0.41812 | 0.59128 | 0.72414 | 0.83613 | 0.93478 | 1.0240 | 1.1060 | 1.1823 |
| 300 | 0.40647 | 0.57482 | 0.70397 | 0.81284 | 0.90874 | 0.99543 | 1.0751 | 1.1493 | |
| 450 | 0.39506 | 0.55868 | 0.68420 | 0.79002 | 0.88322 | 0.96748 | 1.0449 | 1.1170 | |
| 600 | 0.38434 | 0.54352 | 0.66564 | 0.76858 | 0.85926 | 0.94123 | 1.0166 | 1.0876 | |
| 750 | 0.37430 | 0.52931 | 0.64825 | 0.74850 | 0.83681 | 0.91663 | 0.99003 | 1.0583 | |
| 900 | 0.36494 | 0.51608 | 0.63204 | 0.72978 | 0.81588 | 0.89371 | 0.96527 | 1.0319 | |
| 1050 | 0.35624 | 0.50378 | 0.61697 | 0.71238 | 0.79642 | 0.87239 | 0.94224 | 1.0072 | |
| 1200 | 0.34814 | 0.49232 | 0.60293 | 0.69617 | 0.77830 | 0.85253 | 0.92079 | 0.98431 | |
| 6000 | 150 | 0.36241 | 0.51250 | 0.62765 | 0.72472 | 0.81023 | 0.88752 | 0.95860 | 1.0247 |
| 300 | 0.35278 | 0.49888 | 0.61097 | 0.70546 | 0.78869 | 0.86393 | 0.93311 | 0.99750 | |
| 450 | 0.34351 | 0.48577 | 0.59492 | 0.68692 | 0.76797 | 0.84124 | 0.90860 | 0.97130 | |
| 600 | 0.33477 | 0.47342 | 0.57979 | 0.66946 | 0.74845 | 0.81985 | 0.88550 | 0.94660 | |
| 750 | 0.32657 | 0.46183 | 0.56560 | 0.65307 | 0.73012 | 0.79977 | 0.86382 | 0.92342 | |
| 900 | 0.31890 | 0.45097 | 0.55230 | 0.63771 | 0.71295 | 0.78096 | 0.84350 | 0.90170 | |
| 1050 | 0.31173 | 0.44084 | 0.53989 | 0.62338 | 0.69692 | 0.76341 | 0.82454 | 0.88143 | |
| 1200 | 0.30502 | 0.43134 | 0.52826 | 0.60995 | 0.68191 | 0.74696 | 0.80677 | 0.86243 | |
| 6500 | 150 | 0.31780 | 0.44941 | 0.55040 | 0.63552 | 0.71050 | 0.77829 | 0.84061 | 0.89862 |
| 300 | 0.30979 | 0.43809 | 0.53653 | 0.61950 | 0.69260 | 0.75867 | 0.81943 | 0.87597 | |
| 450 | 0.30217 | 0.42732 | 0.52334 | 0.60427 | 0.67557 | 0.74003 | 0.79929 | 0.85445 | |
| 600 | 0.29493 | 0.41707 | 0.51079 | 0.58979 | 0.65938 | 0.72228 | 0.78012 | 0.83396 | |
| 750 | 0.28815 | 0.40748 | 0.49905 | 0.57623 | 0.64422 | 0.70568 | 0.76219 | 0.81478 | |
| 900 | 0.28177 | 0.39847 | 0.48800 | 0.56347 | 0.62996 | 0.69006 | 0.74532 | 0.79674 | |
| 1050 | 0.27578 | 0.39000 | 0.47763 | 0.55150 | 0.61656 | 0.67538 | 0.72947 | 0.77980 | |
| 1200 | 0.27015 | 0.38203 | 0.46787 | 0.54023 | 0.60397 | 0.66159 | 0.71456 | 0.76386 | |
| 7000 | 150 | 0.28145 | 0.39801 | 0.48744 | 0.56283 | 0.62924 | 0.68927 | 0.74447 | 0.79584 |
| 300 | 0.27477 | 0.38857 | 0.47588 | 0.54948 | 0.61432 | 0.67293 | 0.72682 | 0.77697 | |
| 450 | 0.26839 | 0.37955 | 0.46484 | 0.53673 | 0.60007 | 0.65732 | 0.70996 | 0.75895 | |
| 600 | 0.26236 | 0.37103 | 0.45440 | 0.52467 | 0.58658 | 0.64255 | 0.69400 | 0.74190 | |
| 750 | 0.25666 | 0.36296 | 0.44452 | 0.51327 | 0.57383 | 0.62858 | 0.67892 | 0.72577 | |
| 900 | 0.25130 | 0.35538 | 0.43523 | 0.50254 | 0.56184 | 0.61544 | 0.66472 | 0.71059 | |
| 1050 | 0.24624 | 0.34822 | 0.42647 | 0.49242 | 0.55053 | 0.60305 | 0.65134 | 0.69628 | |
| 1200 | 0.24107 | 0.34091 | 0.41751 | 0.48207 | 0.53895 | 0.59037 | 0.63765 | 0.68165 | |
| 7500 | 150 | 0.25144 | 0.35558 | 0.43548 | 0.50283 | 0.56216 | 0.61580 | 0.66511 | 0.71101 |
| 300 | 0.24580 | 0.34760 | 0.42570 | 0.49154 | 0.54954 | 0.60197 | 0.65018 | 0.69504 | |
| 450 | 0.24041 | 0.33998 | 0.41637 | 0.48076 | 0.53749 | 0.58877 | 0.63592 | 0.67981 | |
| 600 | 0.23531 | 0.33277 | 0.40754 | 0.47057 | 0.52610 | 0.57629 | 0.62245 | 0.66540 | |
| 750 | 0.23049 | 0.32595 | 0.39919 | 0.46093 | 0.51532 | 0.56449 | 0.60970 | 0.65177 | |
| 900 | 0.22593 | 0.31950 | 0.39129 | 0.45180 | 0.50511 | 0.55331 | 0.59762 | 0.63886 | |
| 1050 | 0.22161 | 0.31339 | 0.38381 | 0.44317 | 0.49546 | 0.54273 | 0.58620 | 0.62665 | |
| 1200 | 0.21757 | 0.30761 | 0.37673 | 0.43500 | 0.48632 | 0.53272 | 0.57538 | 0.61509 | |
References
- Lin, Q.; Jia, W.; Wu, H.; Kueh, A.; Wang, Y.; Wang, K.; Cai, J. Wrapping Deployment Simulation Analysis of Leaf-Inspired Membrane Structures. Aerospace 2021, 8, 218. [Google Scholar] [CrossRef]
- Robinson, D.W.; McClelland, R.S. Mechanical overview of the International X-ray Observatory. In Proceedings of the 2009 IEEE Aerospace Conference, Big Sky, MT, USA, 7–14 March 2009; pp. 2764–2773. [Google Scholar] [CrossRef]
- Tsuyuki, G.T.; French, L.C. On-orbit temperature distribution of a submillimeter-telescope primary-reflector panel. J. Spacecr. Rocket. 2014, 32, 885–889. [Google Scholar] [CrossRef]
- Warren, P.A.; Silver, M.J.; Dobson, B.J. Lightweight optical barrel assembly structures for large deployable space telescopes. In Proceedings of the SPIE—The International Society for Optical Engineering, San Diego, CA, USA, 26 August 2009; Volume 7436. [Google Scholar] [CrossRef]
- Clampin, M.C. Recent progress with the JWST Observatory. In Proceedings of the Conference on Space Telescopes and Instrumentation—Optical, Infrared, and Millimeter Wave, Montreal, QC, Canada, 22–27 June 2014. [Google Scholar] [CrossRef]
- Clampin, M.C. Status of the James Webb Space Telescope Observatory. In Proceedings of the Conference on Space Telescopes and Instrumentation—Optical, Infrared, and Millimeter Wave, Amsterdam, The Netherlands, 1–6 July 2012. [Google Scholar] [CrossRef]
- Clampin, M. The James Webb Space Telescope (JWST). Adv. Space Res. 2008, 41, 1983–1991. [Google Scholar] [CrossRef]
- Oegerle, W.R.; Feinberg, L.D.; Purves, L.R.; Hyde, T.T.; Thronson, H.A.; Townsend, J.A.; Postman, M.; Bolcar, M.R.; Budinoff, J.G.; Dean, B.H.; et al. ATLAST-9.2m: A large-aperture deployable space telescope. In Proceedings of the Conference on Space Telescopes and Instrumentation 2010—Optical, Infrared, and Millimeter Wave, San Diego, CA, USA, 27 June–2 July 2020. [Google Scholar] [CrossRef]
- Williams, R.B.; Agnes, G.; Crumb, D. Lightweight Deployable Sunshade Concepts for Passive Cooling of Space-Based Telescopes. In Proceedings of the 49th AIAA/ASME/AHS/ASC Structures, Structural Dynamics, and Materials Conference 16t, Schaumburg, IL, USA, 7–10 April 2008. [Google Scholar] [CrossRef]
- Milligan, D.; Rudolph, A.; Whitehead, G.; Loureiro, T.; Serpell, E.; di Marco, F.; Marie, J.; Ecale, E. ESA’s billion star surveyor—Flight operations experience from Gaia’s first 1.5 Years. Acta Astronaut. 2016, 127, 394–403. [Google Scholar] [CrossRef]
- Keil, R.; Risquez, D.; van Leeuwen, F.; Brown, A. An attitude model for the spacecraft of the ESA mission Gaia. Acta Astronaut. 2011, 69, 869–881. [Google Scholar] [CrossRef]
- Dew, M.; Lin, J.; Kutter, B.; Madlangbayan, A.; Willey, C.; Allwein, K.; Pitchford, B.; Oneil, G.; Ware, J. Design and Development of an In-Space Deployable Sun Shield for Atlas Centaur. In Proceedings of the AIAA SPACE 2008 Conference & Exposition, San Diego, CA, USA, 15 June 2008. [Google Scholar] [CrossRef]
- Shirron, P.J.; Kimball, M.O.; Fixsen, D.J.; Kogut, A.J.; Li, X.; DiPirro, M.J. Design of the PIXIE adiabatic demagnetization refrigerators. Cryogenics 2012, 52, 140–144. [Google Scholar] [CrossRef]
- DiPirro, M.; Fixsen, D.; Kogut, A.; Li, X.; Marquardt, J.; Shirron, P. Design of the PIXIE cryogenic system. Cryogenics 2012, 52, 134–139. [Google Scholar] [CrossRef][Green Version]
- DiPirro, M.; Tuttle, J.; Mattern, A.; Ollendorf, S.; Leisawitz, D.; Jackson, M.; Francis, J.; Bichell, J.; Hait, T. Subscale cryo-thermal tests of a large 4-K space telescope. In Proceedings of the Millimeter and Submillimeter Detectors and Instrumentation for Astronomy III, Orlando, FL, USA, 29–31 May 2006. [Google Scholar] [CrossRef]
- Tong, Z.Y.; Li, M.; Cui, C.B.; Huo, Z.X.; Luo, B.R. Design and analysis of the configuration of deployable membrane sunshield. Chin. Space Sci. Technol. 2021, 41, 82–88. [Google Scholar] [CrossRef]
- Shen, Y.; Zheng, W.; Wang, X. Dynamic and Vibration Analysis of a SAR Membrane Antenna. In Proceedings of the ASME International Mechanical Engineering Congress and Exposition, Seattle, WA, USA, 10–16 November 2007; pp. 17–24. [Google Scholar] [CrossRef]
- Andreaus, U.; Dell’Isola, F.; Giorgio, I.; Placidi, L.; Lekszycki, T.; Rizzi, N.L. Numerical simulations of classical problems in two-dimensional (non) linear second gradient elasticity. Int. J. Eng. Sci. 2016, 108, 34–50. [Google Scholar] [CrossRef]
- Zhang, Y.; Hiruta, T.; Kajiwara, I.; Hosoya, N. Active vibration suppression of membrane structures and evaluation with a non-contact laser excitation vibration test. J. Vib. Control 2015, 23, 1681–1692. [Google Scholar] [CrossRef]
- Li, D.; Zheng, Z.-L.; Liu, C.-Y.; Zhang, G.-X.; Lian, Y.S.; Tian, Y.; Xiao, Y.; Xie, X.-M. Dynamic response of rectangular prestressed membrane subjected to uniform impact load. Arch. Civ. Mech. Eng. 2017, 17, 586–598. [Google Scholar] [CrossRef]
- Liu, X.; Zhang, H.; Lv, L.; Peng, F.; Cai, G. Vibration control of a membrane antenna structure using cable actuators. J. Frankl. Inst. 2018, 355, 2424–2435. [Google Scholar] [CrossRef]
- Liu, X.; Zhang, H.; Lv, L.; Peng, F.; Cai, G. Wave based active vibration control of a membrane antenna structure. Meccanica 2018, 53, 2793–2805. [Google Scholar] [CrossRef]
- Fang, H.; Huang, J.; Quijano, U.; Knarr, K.; Pérez, J.; Hsia, L.-M. Design and Technologies Development for an Eight-Meter Inflatable Reflectarray Antenna. In Proceedings of the 47th AIAA/ASME/ASCE/AHS/ASC Structures, Structural Dynamics, and Materials Conference, Newport, RI, USA, 1–4 May 2006. [Google Scholar] [CrossRef]
- Fang, H.; Knarr, K.; Quijano, U.; Huang, J.; Thomson, M. In-Space Deployable Reflectarray Antenna: Current and Future. In Proceedings of the 49th AIAA/ASME/ASCE/AHS/ASC Structures, Structural Dynamics, and Materials Conference, Schaumburg, IL, USA, 7–10 April 2008. [Google Scholar] [CrossRef]
- Fang, H.; Yang, B.; Ding, H. Dynamic Analysis of Large in-Space Deployable Membrane Antennas; Jet Propulsion Laboratory, National Aeronautics and Space Administration: Pasadena, CA, USA, 2006. [Google Scholar]
- Flint, E.; Bales, G.; Glaese, R.; Bradford, R. Experimentally Characterizing the Dynamics of 0.5 m+ Diameter Doubly Curved Shells made from Thin Films. In Proceedings of the 44th AIAA/ASME/ASCE/AHS/ASC Structures, Structural Dynamics, and Materials Conference, Norfolk, WV, USA, 7–10 April 2003. [Google Scholar] [CrossRef]
- Bales, G.; Hall, J.; Flint, E.; Glaese, R. Experimental Issues that Impact In-Vacuum Dynamic Characterization of Thin Film Membranes. In Proceedings of the 44th AIAA/ASME/ASCE/AHS/ASC Structures, Structural Dynamics, and Materials Conference, Norfolk, WV, USA, 7–10 April 2003. [Google Scholar] [CrossRef]
- Matsushita, M.; Okuizumi, N.; Satou, Y.; Mori, O.; Iwasa, T.; Matunaga, S. Influence of thin-film device with curvature on natural frequency of rectangle membrane under uniaxial tension. Astrodynamics 2019, 3, 16. [Google Scholar] [CrossRef]
- Iwasa, T.; Amamoto, T.; Aoki, T. Upper-Bound Vibration Spectrum Computation for Membrane Response from a Few Point Measurements. AIAA J. 2021, 59, 320–329. [Google Scholar] [CrossRef]
- Meng, L.; Wu, M. Study on stress relaxation of membrane structures in the prestress state by considering viscoelastic properties of coated fabrics. Thin-Walled Struct. 2016, 106, 18–27. [Google Scholar] [CrossRef]
- Liu, M.; Huang, J.; Liu, M. Multiple-model switching control for vibration suppression of planar membrane structures. Adv. Mech. Eng. 2019, 11. [Google Scholar] [CrossRef]
- Peng, T.; Lin, Q.; Li, B.; Luo, A.; Cong, Q.; Liu, R. Stress Superposition Method and Mechanical Properties Analysis of Regular Polygon Membranes. Materials 2021, 15, 192. [Google Scholar] [CrossRef] [PubMed]
- Li, B.; Liu, R.; Cong, Q.; Guo, H.; Lin, Q. Stress Superposition Method and free vibration of corner tensioned rectangular thin membranes. Thin-Walled Struct. 2021, 159, 107201. [Google Scholar] [CrossRef]
- Minami, H. Added Mass of a Membrane Vibrating at Finite Amplitude. J. Fluids Struct. 1998, 12, 919–932. [Google Scholar] [CrossRef]















| −8.1 × 10−3 | 1.77 × 10−1 | −1.37 | 4.09 | 5.87 × 10−6 | 3.62 × 10−5 |
| 1.7 × 10−4 | 1.09 × 10−2 | −2.28 | 2.49 × 102 | 2.32 × 103 | 1.55 × 10−2 |
| Effective Circle Radius (m) | Arch Height (m) | Corner Tension (N) | Theoretical Value (Hz) | Simulation Value (Hz) | Error |
|---|---|---|---|---|---|
| 4.2 | 0.2 | 15 | 7.76 | 7.90 | 1.8% |
| 5.2 | 0.4 | 25 | 6.87 | 6.90 | 0.44% |
| 5.8 | 0.6 | 35 | 6.59 | 6.61 | 0.30% |
| 6.4 | 0.8 | 45 | 6.18 | 6.21 | 0.49% |
| 7.2 | 1 | 55 | 5.45 | 5.57 | 2.2% |
| Working Condition | Frequency Order | Simulation Frequency (Hz) | Test Frequency (Hz) | Error |
|---|---|---|---|---|
| 2 N | First-order frequency | 5.76 | 6.25 | 7.8% |
| Second-order frequency | 6.35 | 7.15 | 11.2% | |
| 4 N | First-order frequency | 8.14 | 9.45 | 13.86% |
| Second-order frequency | 8.98 | 11.37 | 21% |
Publisher’s Note: MDPI stays neutral with regard to jurisdictional claims in published maps and institutional affiliations. |
© 2022 by the authors. Licensee MDPI, Basel, Switzerland. This article is an open access article distributed under the terms and conditions of the Creative Commons Attribution (CC BY) license (https://creativecommons.org/licenses/by/4.0/).
Share and Cite
Peng, T.; Lin, Q.; Li, B.; Dai, S.; Luo, A.; Cong, Q.; Liu, R. Configuration Design and Dynamic Characteristics Analysis of Spacecraft Membrane Sunshield. Polymers 2022, 14, 609. https://doi.org/10.3390/polym14030609
Peng T, Lin Q, Li B, Dai S, Luo A, Cong Q, Liu R. Configuration Design and Dynamic Characteristics Analysis of Spacecraft Membrane Sunshield. Polymers. 2022; 14(3):609. https://doi.org/10.3390/polym14030609
Chicago/Turabian StylePeng, Tao, Qiuhong Lin, Bingyan Li, Shuwu Dai, Ani Luo, Qiang Cong, and Rongqiang Liu. 2022. "Configuration Design and Dynamic Characteristics Analysis of Spacecraft Membrane Sunshield" Polymers 14, no. 3: 609. https://doi.org/10.3390/polym14030609
APA StylePeng, T., Lin, Q., Li, B., Dai, S., Luo, A., Cong, Q., & Liu, R. (2022). Configuration Design and Dynamic Characteristics Analysis of Spacecraft Membrane Sunshield. Polymers, 14(3), 609. https://doi.org/10.3390/polym14030609
