Effect of Light Curing Distance on Microhardness Profiles of Bulk-Fill Resin Composites
Abstract
1. Introduction
2. Materials and Methods
3. Results
3.1. Vickers Microhardness
3.2. Microhardness Ratios
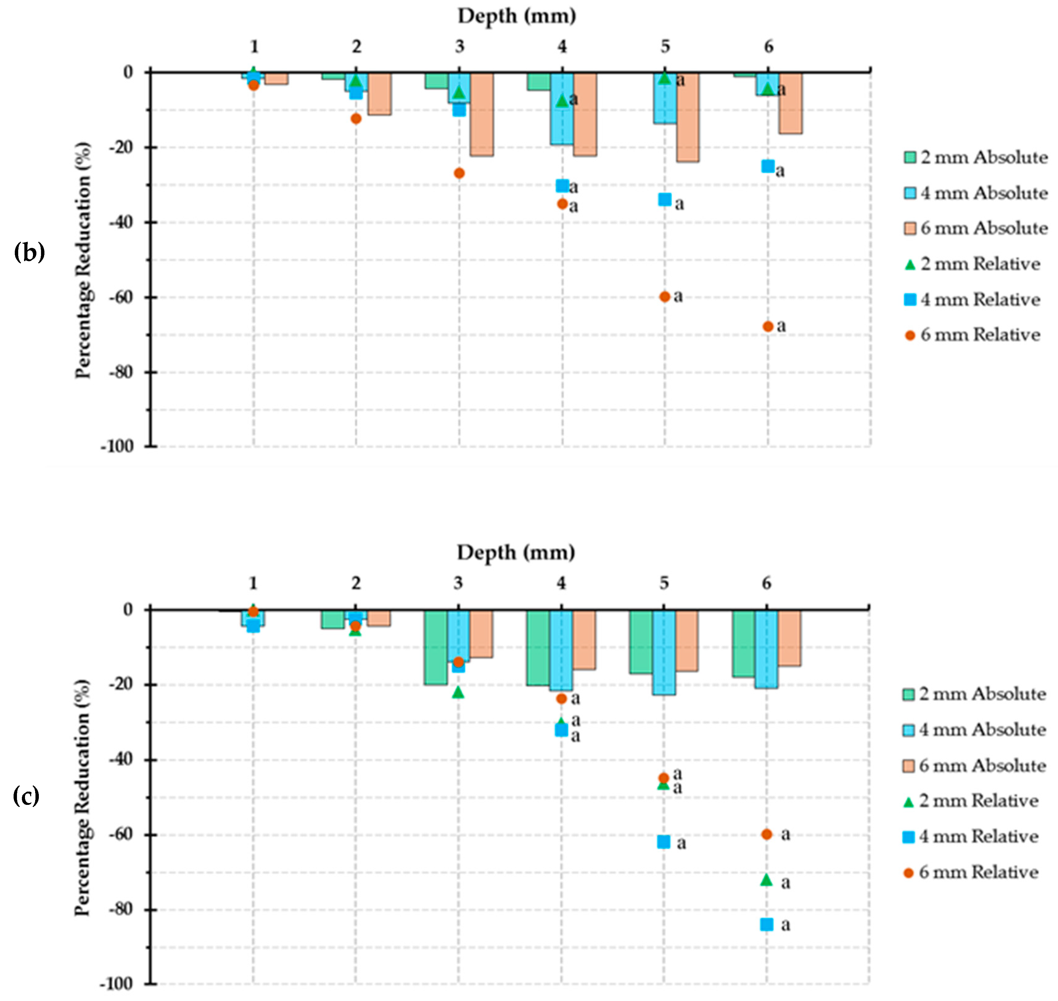
3.3. Reduction in Microhardness Ratio
3.4. Spectral Irradiance
4. Discussion
5. Conclusions
Author Contributions
Funding
Institutional Review Board Statement
Informed Consent Statement
Data Availability Statement
Acknowledgments
Conflicts of Interest
References
- Ferracane, J.L.; Pfeifer, C.S.; Hilton, T.J. Microstructural Features of Current Resin Composite Materials. Curr. Oral Health Rep. 2014, 1, 205–212. [Google Scholar] [CrossRef]
- Garcia, D.; Yaman, P.; Dennison, J.; Neiva, G. Polymerization shrinkage and depth of cure of bulk fill flowable composite resins. Oper. Dent. 2014, 39, 441–448. [Google Scholar] [CrossRef] [PubMed]
- van Dijken, J.W.; Pallesen, U. Posterior bulk-filled resin composite restorations: A 5-year randomized controlled clinical study. J. Dent. 2016, 51, 29–35. [Google Scholar] [CrossRef] [PubMed]
- Bayne, S.C.; Ferracane, J.L.; Marshall, G.W.; Marshall, S.J.; van Noort, R. The Evolution of Dental Materials over the Past Century: Silver and Gold to Tooth Color and Beyond. J. Dent. Res. 2019, 98, 257–265. [Google Scholar] [CrossRef]
- Price, R.B.T. Light Curing in Dentistry. Dent. Clin. N. Am. 2017, 61, 751–778. [Google Scholar] [CrossRef]
- Santini, A.; Gallegos, I.T.; Felix, C.M. Photoinitiators in dentistry: A review. Prim. Dent. J. 2013, 2, 30–33. [Google Scholar] [CrossRef]
- Bucuta, S.; Ilie, N. Light transmittance and micro-mechanical properties of bulk fill vs. conventional resin based composites. Clin. Oral Investig. 2014, 18, 1991–2000. [Google Scholar] [CrossRef]
- Lassila, L.; Dupont, A.; Lahtinen, K.; Vallittu, P.K.; Garoushi, S. Effects of Different Polishing Protocols and Curing Time on Surface Properties of a Bulk-fill Composite Resin. Chin. J. Dent. Res. 2020, 23, 63–69. [Google Scholar] [CrossRef]
- David, J.R.; Gomes, O.M.; Gomes, J.C.; Loguercio, A.D.; Reis, A. Effect of exposure time on curing efficiency of polymerizing units equipped with light-emitting diodes. J. Oral Sci. 2007, 49, 19–24. [Google Scholar] [CrossRef][Green Version]
- Jadhav, S.; Hegde, V.; Aher, G.; Fajandar, N. Influence of light curing units on failure of directcomposite restorations. J. Conserv. Dent. 2011, 14, 225–227. [Google Scholar] [CrossRef]
- Stahl, F.; Ashworth, S.H.; Jandt, K.D.; Mills, R.W. Light-emitting diode (LED) polymerisation of dental composites: Flexural properties and polymerisation potential. Biomaterials 2000, 21, 1379–1385. [Google Scholar] [CrossRef]
- Price, R.B.; Labrie, D.; Whalen, J.M.; Felix, C.M. Effect of Distance on Irradiance and Beam Homogeneity from 4 Light-Emitting Diode Curing Units. J. Can. Dent. Assoc. 2011, 77, b9. [Google Scholar] [PubMed]
- Price, R.B.T.; Felix, C.A.; Andreou, P. Effects of resin composite composition and irradiation distance on the performance of curing lights. Biomaterials 2004, 25, 4465–4477. [Google Scholar] [CrossRef] [PubMed]
- Segal, P.; Lugassy, D.; Mijiritsky, E.; Dekel, M.; Ben-Amar, A.; Ormianer, Z.; Matalon, S. The Effect of the Light Intensity and Light Distances of LED and QTH Curing Devices on the Hardness of Two Light-Cured Nano-Resin Composites. Mater. Sci. Appl. 2015, 6, 13. [Google Scholar] [CrossRef]
- Thome, T.; Steagall, W., Jr.; Tachibana, A.; Braga, S.R.; Turbino, M.L. Influence of the distance of the curing light source and composite shade on hardness of two composites. J. Appl. Oral Sci. 2007, 15, 486–491. [Google Scholar] [CrossRef] [PubMed]
- Nagi, S.M.; Moharam, L.M.; Zaazou, M.H. Effect of resin thickness, and curing time on the micro-hardness of bulk-fill resin composites. J. Clin. Exp. Dent. 2015, 7, e600–e604. [Google Scholar] [CrossRef] [PubMed]
- Nassar, H.M.; Ajaj, R.; Hasanain, F. Efficiency of light curing units in a government dental school. J. Oral Sci. 2018, 60, 142–146. [Google Scholar] [CrossRef]
- Diab, R.A.; Yap, A.U.; Gonzalez, M.A.G.; Yahya, N.A. Impact of light-curing distance on the effectiveness of cure of bulk-fill resin-based composites. Saudi Dent. J. 2021, 33, 1184–1189. [Google Scholar] [CrossRef]
- Aggarwal, N.; Jain, A.; Gupta, H.; Abrol, A.; Singh, C.; Rapgay, T. The comparative evaluation of depth of cure of bulk-fill composites—An in vitro study. J. Conserv. Dent. 2019, 22, 371–375. [Google Scholar] [CrossRef]
- Alshaafi, M.M.; Haenel, T.; Sullivan, B.; Labrie, D.; Alqahtani, M.Q.; Price, R.B. Effect of a broad-spectrum LED curing light on the Knoop microhardness of four posterior resin based composites at 2, 4 and 6-mm depths. J. Dent. 2016, 45, 14–18. [Google Scholar] [CrossRef]
- Poggio, C.; Lombardini, M.; Gaviati, S.; Chiesa, M. Evaluation of Vickers hardness and depth of cure of six composite resins photo-activated with different polymerization modes. J. Conserv. Dent. JCD 2012, 15, 237–241. [Google Scholar] [CrossRef] [PubMed]
- El-Damanhoury, H.; Platt, J. Polymerization shrinkage stress kinetics and related properties of bulk-fill resin composites. Oper. Dent. 2014, 39, 374–382. [Google Scholar] [CrossRef] [PubMed]
- Bahbishi, N.; Mzain, W.; Badeeb, B.; Nassar, H.M. Color Stability and Micro-Hardness of Bulk-Fill Composite Materials after Exposure to Common Beverages. Materials 2020, 13, 787. [Google Scholar] [CrossRef] [PubMed]
- Siagian, J.S.; Dennis, D.; Ikhsan, T.; Abidin, T. Effect of Different LED Light-curing Units on Degree of Conversion and Microhardness of Bulk-fill Composite Resin. J. Contemp. Dent. Pract. 2020, 21, 615–620. [Google Scholar]
- Daugherty, M.M.; Lien, W.; Mansell, M.R.; Risk, D.L.; Savett, D.A.; Vandewalle, K.S. Effect of high-intensity curing lights on the polymerization of bulk-fill composites. Dent. Mater. 2018, 34, 1531–1541. [Google Scholar] [CrossRef]
- Bouschlicher, M.R.; Rueggeberg, F.A.; Wilson, B.M. Correlation of bottom-to-top surface microhardness and conversion ratios for a variety of resin composite compositions. Oper. Dent. 2004, 29, 698–704. [Google Scholar]
- Moore, B.K.; Platt, J.A.; Borges, G.; Chu, T.M.; Katsilieri, I. Depth of cure of dental resin composites: ISO 4049 depth and microhardness of types of materials and shades. Oper. Dent. 2008, 33, 408–412. [Google Scholar] [CrossRef]
- Flury, S.; Hayoz, S.; Peutzfeldt, A.; Hüsler, J.; Lussi, A. Depth of cure of resin composites: Is the ISO 4049 method suitable for bulk fill materials? Dent. Mater. 2012, 28, 521–528. [Google Scholar] [CrossRef]
- Neves, A.D.; Discacciati, J.A.; Orêfice, R.L.; Jansen, W.C. Correlation between degree of conversion, microhardness and inorganic content in composites. Pesqui. Odontol. Bras. 2002, 16, 349–354. [Google Scholar] [CrossRef]
- Price, R.B.; Derand, T.; Sedarous, M.; Andreou, P.; Loney, R.W. Effect of distance on the power density from two light guides. J. Esthet. Dent. 2000, 12, 320–327. [Google Scholar] [CrossRef]
- Yap, A.U.; Pandya, M.; Toh, W.S. Depth of cure of contemporary bulk-fill resin-based composites. Dent. Mater. J. 2016, 35, 503–510. [Google Scholar] [CrossRef] [PubMed]
- Goracci, C.; Cadenaro, M.; Fontanive, L.; Giangrosso, G.; Juloski, J.; Vichi, A.; Ferrari, M. Polymerization efficiency and flexural strength of low-stress restorative composites. Dent. Mater. 2014, 30, 688–694. [Google Scholar] [CrossRef] [PubMed]
- Czasch, P.; Ilie, N. In vitro comparison of mechanical properties and degree of cure of bulk fill composites. Clin. Oral Investig. 2013, 17, 227–235. [Google Scholar] [CrossRef]
- Comba, A.; Scotti, N.; Maravic, T.; Mazzoni, A.; Carossa, M.; Breschi, L.; Cadenaro, M. Vickers Hardness and Shrinkage Stress Evaluation of Low and High Viscosity Bulk-Fill Resin Composite. Polymers 2020, 12, 1477. [Google Scholar] [CrossRef] [PubMed]
- Ajaj, R.A.; Farsi, N.J.; Alzain, L.; Nuwaylati, N.; Ghurab, R.; Nassar, H.M. Dental Bulk-Fill Resin Composites Polymerization Efficiency: A Systematic Review and Meta-Analysis. J. Compos. Sci. 2021, 5, 149. [Google Scholar] [CrossRef]
- Zorzin, J.; Maier, E.; Harre, S.; Fey, T.; Belli, R.; Lohbauer, U.; Petschelt, A.; Taschner, M. Bulk-fill resin composites: Polymerization properties and extended light curing. Dent. Mater. 2015, 31, 293–301. [Google Scholar] [CrossRef] [PubMed]
- Novin Rooz, M.; Yousefi Jordehi, A. The Effect of Shade and Thickness on the Depth of Cure of Bulk-Fill Composites with Different Viscosities. J. Dent. 2020, 21, 322–329. [Google Scholar] [CrossRef]
- Rizzante, F.A.P.; Duque, J.A.; Duarte, M.A.H.; Mondelli, R.F.L.; Mendonca, G.; Ishikiriama, S.K. Polymerization shrinkage, microhardness and depth of cure of bulk fill resin composites. Dent. Mater. J. 2019, 38, 403–410. [Google Scholar] [CrossRef]
- Garoushi, S.; Vallittu, P.; Shinya, A.; Lassila, L. Influence of increment thickness on light transmission, degree of conversion and micro hardness of bulk fill composites. Odontology 2016, 104, 291–297. [Google Scholar] [CrossRef]
- Warangkulkasemkit, S.; Pumpaluk, P. Comparison of physical properties of three commercial composite core build-up materials. Dent. Mater. J. 2019, 38, 177–181. [Google Scholar] [CrossRef]
- Bressan, E.; Ferroni, L.; Gardin, C.; Bellin, G.; Sbricoli, L.; Sivolella, S.; Brunello, G.; Schwartz-Arad, D.; Mijiritsky, E.; Penarrocha, M.; et al. Metal Nanoparticles Released from Dental Implant Surfaces: Potential Contribution to Chronic Inflammation and Peri-Implant Bone Loss. Materials 2019, 12, 2036. [Google Scholar] [CrossRef] [PubMed]
- Francesco, P.; Gabriele, C.; Fiorillo, L.; Giuseppe, M.; Antonella, S.; Giancarlo, B.; Mirta, P.; Mendes Tribst, J.P.; Lo Giudice, R. The Use of Bulk Fill Resin-Based Composite in the Sealing of Cavity with Margins in Radicular Cementum. Eur. J. Dent. 2021. [Google Scholar] [CrossRef] [PubMed]
- Cervino, G.; Fiorillo, L.; Spagnuolo, G.; Bramanti, E.; Laino, L.; Lauritano, F.; Cicciù, M. Interface Between MTA and Dental Bonding Agents: Scanning Electron Microscope Evaluation. J. Int. Soc. Prev. Community Dent. 2017, 7, 64–68. [Google Scholar] [CrossRef] [PubMed]








| Material | Main Monomer | Main Fillers | Photo-Initiator | Manufacturer |
|---|---|---|---|---|
| Filtek One Bulk-Fill (FBF) | Aromatic urethane dimethacrylate (AUDMA) | Silane-treated ceramics | Camphorquinone (CQ) | 3M ESPE, Dental Products, Saint Paul, MN, USA |
| Tetric N-Ceram Bulk-Fill (TBF) | Bisphenolglycidyl methacrylate (Bis-GMA) | Barium aluminium silicate glass | Camphorquinone (CQ) and Ivocerin | Ivoclar Vivadent, Zurich, Switzerland |
| SonicFill 2 (SF2) | 3-trimethoxysilylpropyl methacrylate | Barium glass | Camphorquinone (CQ) | Kerr Dental, Orange, CA, USA |
| Ivoclar Tetric N-Ceram Bulk-Fill | 3M Filtek One Bulk-Fill | Kerr Sonic-Fill 2 | |||||
|---|---|---|---|---|---|---|---|
| LC Distance | Depth (mm) | Mean | SD | Mean | SD | Mean | SD |
| 0 mm | 0 | 17.33 | 1.36 | 23.17 | 1.04 | 23.09 | 0.42 |
| 1 | 16.92 | 1.37 | 22.58 | 2.33 | 23.42 | 1.07 | |
| 2 | 16.59 | 0.79 | 21.42 | 2.53 | 22.67 | 1.09 | |
| 3 | 13.17 | 1.75 | 19.17 | 4.13 | 21.25 | 1.66 | |
| 4 | 11.50 | 0.79 | 14.67 | 2.55 | 15.42 | 3.40 | |
| 5 | 7.92 | 1.26 | 9.17 | 3.10 | 8.42 | 5.32 | |
| 6 | 4.83 | 1.14 | 5.50 | 2.86 | 5.75 | 6.70 | |
| 2 mm | 0 | 18.17 | 0.43 | 22.67 | 0.72 | 23.58 | 1.20 |
| 1 | 16.00 | 0.27 | 22.08 | 0.74 | 24.09 | 1.07 | |
| 2 | 14.50 | 1.55 | 20.50 | 2.40 | 22.00 | 0.98 | |
| 3 | 12.92 | 1.29 | 17.75 | 2.54 | 17.00 | 1.79 | |
| 4 | 9.25 | 1.26 | 13.42 | 3.35 | 11.00 | 2.76 | |
| 5 | 5.67 | 1.19 | 9.00 | 3.67 | 4.58 | 1.73 | |
| 6 | 2.75 | 0.96 | 5.25 | 2.32 | 1.67 | 0.47 | |
| 4 mm | 0 | 17.50 | 0.84 | 23.17 | 0.88 | 24.92 | 1.90 |
| 1 | 14.75 | 2.13 | 22.17 | 0.69 | 24.00 | 1.41 | |
| 2 | 13.50 | 2.69 | 20.33 | 0.72 | 23.75 | 0.69 | |
| 3 | 11.50 | 1.00 | 17.25 | 1.93 | 19.42 | 0.96 | |
| 4 | 8.25 | 1.14 | 10.42 | 3.94 | 11.17 | 3.19 | |
| 5 | 4.92 | 1.53 | 6.17 | 2.78 | 3.42 | 1.97 | |
| 6 | 3.00 | 0.82 | 4.17 | 1.50 | 1.00 | 0.00 | |
| 6 mm | 0 | 17.92 | 0.57 | 22.75 | 0.57 | 23.00 | 1.22 |
| 1 | 16.25 | 1.07 | 21.42 | 1.71 | 23.83 | 2.70 | |
| 2 | 12.17 | 1.04 | 18.50 | 1.99 | 20.42 | 2.17 | |
| 3 | 9.08 | 1.10 | 13.75 | 0.42 | 17.08 | 1.52 | |
| 4 | 5.50 | 0.43 | 9.33 | 4.22 | 10.42 | 1.37 | |
| 5 | 2.25 | 0.78 | 3.59 | 2.20 | 2.50 | 1.04 | |
| 6 | 1.00 | 0.00 | 1.75 | 1.50 | 1.00 | 0.00 | |
Publisher’s Note: MDPI stays neutral with regard to jurisdictional claims in published maps and institutional affiliations. |
© 2022 by the authors. Licensee MDPI, Basel, Switzerland. This article is an open access article distributed under the terms and conditions of the Creative Commons Attribution (CC BY) license (https://creativecommons.org/licenses/by/4.0/).
Share and Cite
Hasanain, F.A.; Nassar, H.M.; Ajaj, R.A. Effect of Light Curing Distance on Microhardness Profiles of Bulk-Fill Resin Composites. Polymers 2022, 14, 528. https://doi.org/10.3390/polym14030528
Hasanain FA, Nassar HM, Ajaj RA. Effect of Light Curing Distance on Microhardness Profiles of Bulk-Fill Resin Composites. Polymers. 2022; 14(3):528. https://doi.org/10.3390/polym14030528
Chicago/Turabian StyleHasanain, Fatin A., Hani M. Nassar, and Reem A. Ajaj. 2022. "Effect of Light Curing Distance on Microhardness Profiles of Bulk-Fill Resin Composites" Polymers 14, no. 3: 528. https://doi.org/10.3390/polym14030528
APA StyleHasanain, F. A., Nassar, H. M., & Ajaj, R. A. (2022). Effect of Light Curing Distance on Microhardness Profiles of Bulk-Fill Resin Composites. Polymers, 14(3), 528. https://doi.org/10.3390/polym14030528

