Bio-Based (Chitosan-ZnO) Nanocomposite: Synthesis, Characterization, and Its Use as Recyclable, Ecofriendly Biocatalyst for Synthesis of Thiazoles Tethered Azo Groups
Abstract
:1. Introduction
2. Results and Discussion
2.1. Preparation and Characterization of CS/ZnO Nanocomposite Film
2.1.1. FTIR Characterization
2.1.2. SEM and Morphological Changes
2.1.3. X-ray Diffraction
2.2. CS/ZnO Nanocomposite Film as Basic Catalyst in Synthesis of Thiazole Derivatives
3. Experimental
3.1. Materials, Instruments, and Methods
3.2. Preparation of CS/ZnO Nanocomposite Film
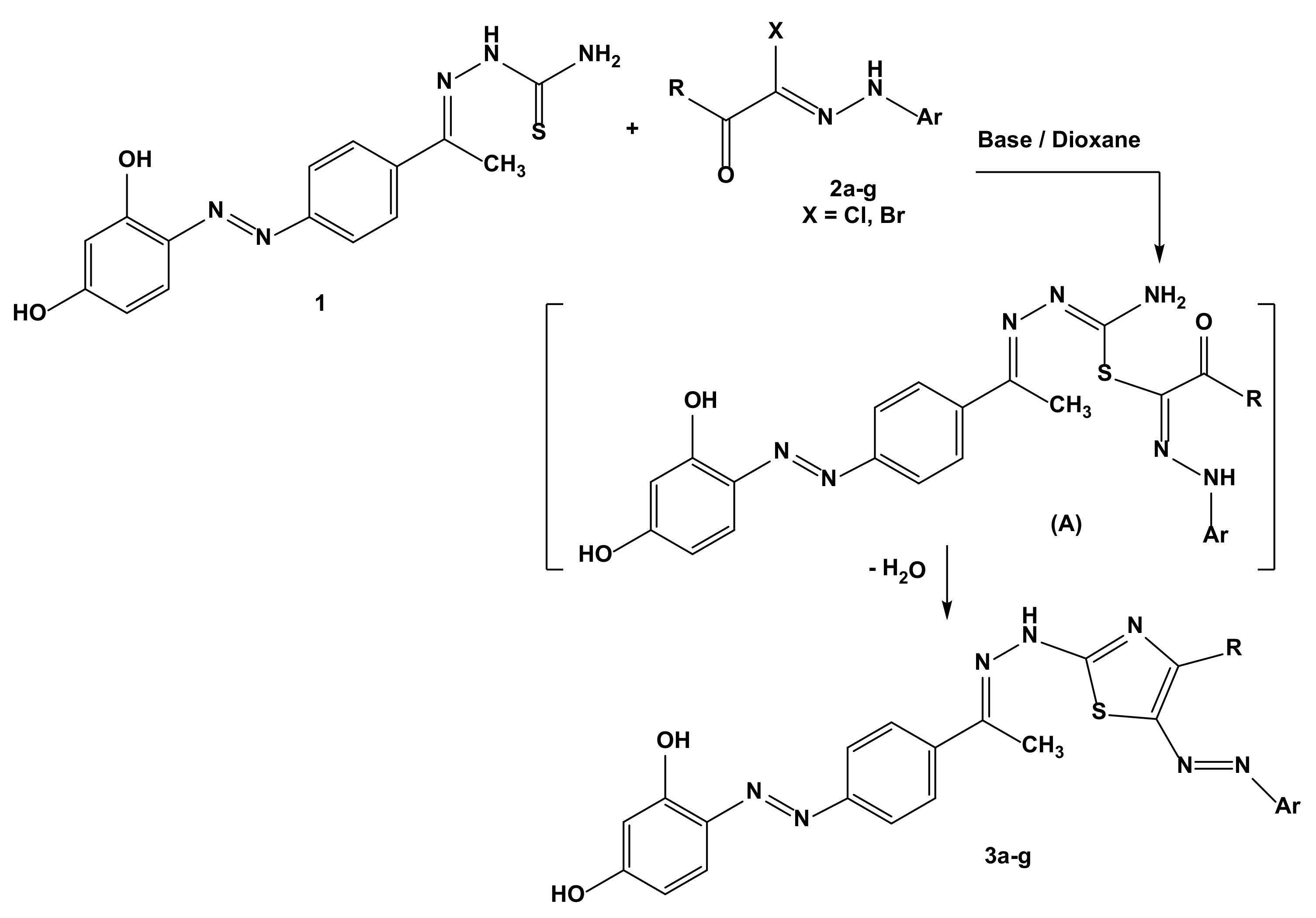
3.3. Reactions of 2-{1-[4-(2,4-Dihydroxyphenylazo)Phenyl]Ethylidene} Thiosemicarbazide (1) with α-Keto Hydrazonoyl Halides 2a–g
4. Conclusions
Author Contributions
Funding
Institutional Review Board Statement
Informed Consent Statement
Data Availability Statement
Conflicts of Interest
References
- Khalil, K.D.; Ibrahim, E.I.; Al-Sagheer, F.A. A novel, efficient, and recyclable biocatalyst for Michael addition reactions and its iron(iii) complex as promoter for alkyl oxidation reactions. Catal. Sci. Technol. 2016, 6, 1410–1416. [Google Scholar] [CrossRef]
- Riyadh, S.M.; Khalil, K.D.; Aljuhani, A. Chitosan-MgO Nanocomposite: One Pot Preparation and Its Utility as an Ecofriendly Biocatalyst in the Synthesis of Thiazoles and [1,3,4]thiadiazoles. Nanomaterials 2018, 8, 928. [Google Scholar] [CrossRef] [Green Version]
- Khalil, K.D.; Riyadh, S.M.; Gomha, S.M.; Ali, I. Synthesis, characterization and application of copper oxide chitosan nanocomposite for green regioselective synthesis of [1,2,3]triazoles. Int. J. Biol. Macromol. 2019, 130, 928–937. [Google Scholar] [CrossRef]
- Sarkar, S.; Guibal, E.; Quignard, F.; Sengupta, A.K. Polymer-supported metals and metal oxide nanoparticles: Synthesis, characterization, and applications. J. Nanopart. Res. 2012, 14, 715–739. [Google Scholar] [CrossRef]
- Behrouz, S.; Rad, M.N.S.; Piltan, M.A. Ultrasound promoted rapid and green synthesis of thiiranes from epoxides in water catalyzed by chitosan-silica sulfate nano hybrid (CSSNH) as a green, novel and highly proficient heterogeneous nano catalyst. Ultrason. Sonochem. 2018, 40, 517–526. [Google Scholar] [CrossRef]
- Romanazzi, G.; Fiore, A.M.; Mali, M.; Rizzuti, A.; Leonelli, C.; Nacci, A.; Mastrorilli, P.; Dell’Anna, M.M. Polymer supported Nickel nanoparticles as recyclable catalyst for the reduction of nitroarenes to anilines in aqueous medium. Mol. Catal. 2018, 446, 31–38. [Google Scholar] [CrossRef]
- Asghari, F.; Samiei, M.; Adibkia, K.; Akbarzadeh, A.; Davaran, S. Biodegradable and biocompatible polymers for tissue engineering application: A review. Artif. Cells Nanomed. Biotechnol. 2016, 45, 185–192. [Google Scholar] [CrossRef]
- Reddy, M.S.B.; Ponnamma, D.; Choudhary, R.; Sadasivuni, K.K. A Comparative Review of Natural and Synthetic Biopolymer Composite Scaffolds. Polymers 2021, 13, 1105. [Google Scholar] [CrossRef]
- Yilmaz, E. Chitosan: A Versatile Biomaterial. In Biomaterials; Advances in Experimental Medicine and Biology book series; Springer: Berlin/Heidelberg: Germany, 2004; Volume 553, pp. 59–68. [Google Scholar] [CrossRef] [PubMed]
- Guibal, E. Interactions of metal ions with chitosan-based sorbents: A review. Sep. Purif. Technol. 2004, 38, 43–74. [Google Scholar] [CrossRef]
- Guibal, E. Heterogeneous catalysis on chitosan-based materials: A review. Prog. Polym. Sci. 2005, 30, 71–109. [Google Scholar] [CrossRef]
- Li, Q.; Dunn, E.; Grandmaison, E.; Goosen, M. Applications and Properties of Chitosan. J. Bioact. Compat. Polym. 1992, 7, 370–397. [Google Scholar] [CrossRef]
- Kumar, R.M.N.V. A review of chitin and chitosan applications. React. Funct. Polym. 2000, 46, s1381–s5148. [Google Scholar]
- Pillai, C.K.S.; Paul, W.; Sharma, C.P. Chitin and chitosan polymers: Chemistry, solubility and fiber formation. Prog. Polym. Sci. 2009, 34, 641–678. [Google Scholar] [CrossRef]
- Li, T.; Wiecko, J.; Roesky, P.W. Zinc-Catalyzed Hydroamination Reactions. Zinc Catal. 2015, 5, 83–118. [Google Scholar] [CrossRef]
- Wu, X.-F.; Neumann, H. Zinc-Catalyzed Organic Synthesis: C-C, C-N, C-O Bond Formation Reactions. Adv. Synth. Catal. 2012, 354, 3141–3160. [Google Scholar] [CrossRef]
- Cozzi, P.G.; Mignogna, A.; Zoli, L. Catalytic enantioselective Reformatsky reactions. Pure App. Chem. 2008, 80, 891–901. [Google Scholar] [CrossRef] [Green Version]
- Abdiaj, I.; Huck, L.; Mateo, J.M.; de la Hoz, A.; Gomez, M.V.; Díaz-Ortiz, A.; Alcázar, J. Photoinduced Palladium-Catalyzed Negishi Cross-Couplings Enabled by the Visible-Light Absorption of Palladium-Zinc Complexes. Angew. Chem. Int. Ed. 2018, 57, 13231–13236. [Google Scholar] [CrossRef]
- Krasovskiy, A.; Duplais, C.; Lipshutz, B.H. Zn-Mediated, Pd-Catalyzed Cross-Couplings in Water at Room Temperature Without Prior Formation of Organozinc Reagents. J. Am. Chem. Soc. 2009, 131, 15592–15593. [Google Scholar] [CrossRef] [Green Version]
- Kumar, S.K.; Krishnamoorti, R. Nanocomposites: Structure, Phase Behavior, and Properties. Ann. Rev. Chem. Biomol. Eng. 2010, 1, 37–58. [Google Scholar] [CrossRef] [PubMed] [Green Version]
- Astruc, D. Introduction: Nanoparticles in Catalysis. Chem. Rev. 2020, 120, 461–463. [Google Scholar] [CrossRef] [Green Version]
- Nasrollahzadeh, M.; Sajjadi, M.; Ghorbannezhad, F.; Sajadi, S.M. A Review on Recent Advances in the Application of Nanocatalysts in A3 Coupling Reactions. Chem. Rec. 2018, 18, 1409–1473. [Google Scholar] [CrossRef]
- Abdel-Naby, A.S.; Nabil, S.; Aldulaijan, S.; Ababutain, I.M.; Alghamdi, A.I.; Almubayedh, S.; Khalil, K.D. Synthesis, Characterization of Chitosan-Aluminum Oxide Nanocomposite for Green Synthesis of Annulated Imidazopyrazol Thione Derivatives. Polymers 2021, 13, 1160. [Google Scholar] [CrossRef]
- Khalil, K.D.; Riyadh, S.M.; Jaremko, M.; Farghaly, T.A.; Hagar, M. Synthesis of Chitosan-La2O3 Nanocomposite and Its Utility as a Powerful Catalyst in the Synthesis of Pyridines and Pyrazoles. Molecules 2021, 26, 3689. [Google Scholar] [CrossRef]
- Aljuhani, A.; Riyadh, S.M.; Khalil, K.D. Chitosan/CuO nanocomposite films mediated regioselective synthesis of 1,3,4-trisubstituted pyrazoles under microwave irradiation. J. Saudi Chem. Soc. 2021, 25, 101276. [Google Scholar] [CrossRef]
- Bangyekan, C.; Aht-Ong, D.; Srikulkit, K. Preparation and properties evaluation of chitosan-coated cassava starch films. Carbohydr. Polym. 2006, 63, 61–71. [Google Scholar] [CrossRef]
- Mahalakshmi, S.; Hema, N.; Vijaya, P.P. In Vitro Biocompatibility and Antimicrobial activities of Zinc Oxide Nanoparticles (ZnO NPs) Prepared by Chemical and Green Synthetic Route—A Comparative Study. BioNanoScience 2020, 10, 112–121. [Google Scholar] [CrossRef]
- Klug, H.P.; Alexander, L.E. X-ray Diffraction Procedures; John Wiley and Sons Inc.: New York, NY, USA, 1954; 633p. [Google Scholar]
- Riyadh, S.M.; Deawaly, A.A.; Ahmed, H.E.A.; Afifi, T.H.; Ihmaid, S. Novel arylazothiazoles and arylazo[1,3,4]thiadiazoles as potential antimicrobial and anticancer agents: Synthesis, molecular modeling, and biological screening. Med. Chem. Res. 2017, 26, 1956–1968. [Google Scholar] [CrossRef]
- Eweiss, N.F.; Osman, A. Synthesis of heterocycles. Part II. New routes to acetylthia-diazolines and alkylazothiazoles. J. Heterocycl. Chem. 1980, 17, 1713–1717. [Google Scholar] [CrossRef]
- Farag, A.M.; Algharib, M.S. Synthesis and reactions of C-(2-thenoyl)-N-arylformhydrazidoyl bromides. Org. Prep. Proced. Int. 1988, 20, 521–526. [Google Scholar] [CrossRef]
- Cowper, R.M.; Davidson, L.H. α-Bromoacetophenone. Org. Synth. 1943, 2, 480–485. [Google Scholar]
- Shawali, A.S.; Abdelhamid, A.O. Reaction of Dimethyl phenacyl Sulfonium Bromides with N-Nitroso acetarylamides and Reactions of the Products with Nucleophiles. Bull. Chem. Soc. Jpn. 1976, 49, 321–324. [Google Scholar] [CrossRef] [Green Version]








| Run | Loading Catalyst vs. Yield Percentage Using MW Irradiation (30 min) | Run | Time vs. Yield Percentage (Loading Catalyst 20 wt.%) under MW Irradiation | ||
|---|---|---|---|---|---|
| Loading of Catalyst (wt %) | Yield (%) | Time | Yield (%) | ||
| 1 | 5 | 78 | 7 | 5 | 70 |
| 2 | 10 | 84 | 8 | 10 | 73 |
| 3 | 15 | 90 | 9 | 15 | 80 |
| 4 | 20 | 92 | 10 | 20 | 86 |
| 5 | 25 | 92 | 11 | 30 | 92 |
| 6 | 30 | 91 | 12 | 40 | 92 |
| Compd. No. | R | Ar | Yield (%) | |
|---|---|---|---|---|
| TEA/ Reflux 3h | TEA/MW (30 min.) | |||
| 3a | CH3 | C6H5 | 80 | 82 |
| 3b | CH3 | 4-CH3C6H4 | 80 | 83 |
| 3c | CH3 | 4-CH3OC6H4 | 75 | 78 |
| 3d | CH3 | 4-BrC6H4 | 77 | 80 |
| 3e | CH3 | 4-NO2C6H4 | 75 | 77 |
| 3f | C6H5 | C6H5 | 70 | 74 |
| 3g | 2-thienyl | 4-ClC6H4 | 72 | 75 |
| Compd. No. | R | Ar | Yield (%) | |
|---|---|---|---|---|
| ZnO/MW (30 min.) | CS/ZnO Nanocomposite (MW/30 min.) | |||
| 3a | CH3 | C6H5 | 83 | 92 |
| 3b | CH3 | 4-CH3C6H4 | 83 | 93 |
| 3c | CH3 | 4-CH3OC6H4 | 79 | 88 |
| 3d | CH3 | 4-BrC6H4 | 81 | 90 |
| 3e | CH3 | 4-NO2C6H4 | 78 | 87 |
| 3f | C6H5 | C6H5 | 75 | 80 |
| 3g | 2-thienyl | 4-ClC6H4 | 77 | 83 |
Publisher’s Note: MDPI stays neutral with regard to jurisdictional claims in published maps and institutional affiliations. |
© 2022 by the authors. Licensee MDPI, Basel, Switzerland. This article is an open access article distributed under the terms and conditions of the Creative Commons Attribution (CC BY) license (https://creativecommons.org/licenses/by/4.0/).
Share and Cite
Bashal, A.H.; Riyadh, S.M.; Alharbi, W.; Alharbi, K.H.; Farghaly, T.A.; Khalil, K.D. Bio-Based (Chitosan-ZnO) Nanocomposite: Synthesis, Characterization, and Its Use as Recyclable, Ecofriendly Biocatalyst for Synthesis of Thiazoles Tethered Azo Groups. Polymers 2022, 14, 386. https://doi.org/10.3390/polym14030386
Bashal AH, Riyadh SM, Alharbi W, Alharbi KH, Farghaly TA, Khalil KD. Bio-Based (Chitosan-ZnO) Nanocomposite: Synthesis, Characterization, and Its Use as Recyclable, Ecofriendly Biocatalyst for Synthesis of Thiazoles Tethered Azo Groups. Polymers. 2022; 14(3):386. https://doi.org/10.3390/polym14030386
Chicago/Turabian StyleBashal, Ali H., Sayed M. Riyadh, Walaa Alharbi, Khadijah H. Alharbi, Thoraya A. Farghaly, and Khaled D. Khalil. 2022. "Bio-Based (Chitosan-ZnO) Nanocomposite: Synthesis, Characterization, and Its Use as Recyclable, Ecofriendly Biocatalyst for Synthesis of Thiazoles Tethered Azo Groups" Polymers 14, no. 3: 386. https://doi.org/10.3390/polym14030386
APA StyleBashal, A. H., Riyadh, S. M., Alharbi, W., Alharbi, K. H., Farghaly, T. A., & Khalil, K. D. (2022). Bio-Based (Chitosan-ZnO) Nanocomposite: Synthesis, Characterization, and Its Use as Recyclable, Ecofriendly Biocatalyst for Synthesis of Thiazoles Tethered Azo Groups. Polymers, 14(3), 386. https://doi.org/10.3390/polym14030386

