Geosynthetics for Filtration and Stabilisation: A Review
Abstract
1. Introduction
1.1. Types of Geosynthetics
- A woven geotextile: a geotextile produced by interlacing, usually at right angles, two sets of yarns, filaments, or other elements using a conventional weaving process with a weaving loom;
- A knitted geotextile: a geotextile produced by interloping one or more yarns, filaments, or other elements together with a knitting machine, instead of a weaving loom;
- A nonwoven geotextile: a geotextile produced form directionally or randomly orientated fibres, filaments, or other elements by needle-punching, bonding with partial melting, or chemical binding agents.
- A geogrid: a planar, polymeric product consisting of a regular open network of integrally connected, tensile elements, which may be linked by bonding, extrusion, or interlacing, whose openings are larger than the constituents;
- A geonet: a planar, polymeric material consisting of a regular dense network of integrally connected parallel sets of ribs overlying similar sets at various angles;
- A geocell: a three-dimensional, permeable, polymeric (synthetic or natural) honeycomb, or similar cellular structure, made of linked strips of geosynthetics;
- A geostrip: a polymeric material in the form of a strip of a width no more than 200 mm, used in contact with soil and/or other materials in geotechnical and civil engineering applications;
- A geomat: a three-dimensional, permeable structure made of polymeric filaments, and/or other elements (synthetics or natural), mechanically, and/or thermally and/or otherwise, bonded;
- A geospacer: a three-dimensional polymeric structure with an interconnected air space in between it;
- A geoblanket: a permeable structure of loose, natural, or synthetic fibres and geosynthetic elements bonded together to form a continuous sheet.
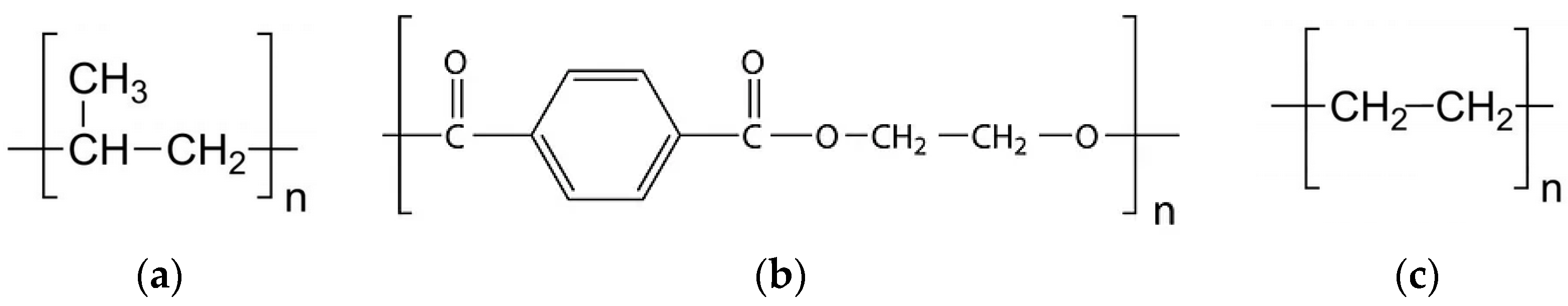
1.2. Polymers in Geosynthetics
- Polyamides (PA) (e.g., nylon-6, nylon-66 and nylon-46);
- Polyacrylonitrile (PAN);
- Polyethylene naphthalene (PEN);
- Polyvinyl chloride (PVC);
- Polystyrene (PS);
- Polypropylene (PP);
- Polyethylene terephthalate (polyester) (PET);
- Polyethylene (PE, LLDPE, LDPE, HDPE, MDPE).
1.3. Functions of Geosynthetics
- Reinforcement: the use of the stress–strain behaviour of a geosynthetic material to improve the mechanical properties of the soil or other construction materials;
- Stabilisation: improvement of the mechanical behaviour of an unbound granular material by including one or more such geosynthetic layers that undergo a deformation under applied loads is reduced by minimising the movements of the unbound granular material;
- Surface erosion control: the use of geosynthetic materials to prevent or limit soil or other particle movements at the surface of, e.g., a slope;
- Filtration: the restraining of the uncontrolled passage of soil or other particles subjected to hydrodynamic forces, while allowing the passage of fluids into or across a geosynthetic material;
- Drainage: the collection and transportation of precipitation, ground water, and/or other fluids in the plane of a geosynthetic material;
- Separation: preventing the intermixing of adjacent dissimilar soils and/or fill materials;
- Barrier: the use of a geosynthetic to prevent or limit the migration of fluids;
- Protection: preventing or limiting the local damage to a given element or material;
- Stress relief: retarding the development of cracks by absorbing the stresses that arise from damaged pavement (for an asphalt overlay).
- Insulation: reducing the passage of heat, sound, or electricity;
- Containment: encapsulating a civil engineering-related material such as rock and soil or a sludge;
- Absorption: assimilating a fluid;
- Cushioning: controlling and to damping the dynamic mechanical actions;
- Surface stabilisation: restrict movement and prevent the dispersion of surface soil particles subjected to the erosion actions of wind or rain;
- Vegetative reinforcement: extending the erosion control limits.
2. Geosynthetics for Filtration
2.1. Mechanism of Filtration
2.2. Factors Affecting on Durability of Geotextile Filters
2.3. Design Approaches
2.3.1. Retention Criteria
2.3.2. Permeability Criteria
2.3.3. Clogging Resistance
- Use the largest opening size (O95) that satisfies the retention criteria;
- For nonwoven geotextiles, use the largest porosity available, but not if it is less than 30%;
- For woven geotextiles, use the largest percent open area available, but not if it is less than 4%.
2.4. Applications of Geotextile Filters
3. Geosynthetics for Stabilisation
3.1. Mechanism of Stabilisation
3.2. Stabilisation Provided by Geogrid
3.3. Stabilisation Provided by Geocells
3.4. Design Approaches
3.5. Applications with Geosynthetics Intended for Stabilisation Function
3.5.1. Example of Mining Subsidence Protection in Roads
- Multiaxial geogrid (stabilising function);
- Crushed aggregate 0/63 mm—thickness 30–40 cm;
- Multiaxial geogrid (stabilising function);
- Crushed aggregate 0/63 mm—thickness 30–40 cm.
3.5.2. Example of Stabilised Working Platform
3.5.3. Example of Railway Ballast Stabilisation
3.5.4. Example of Unpaved Road Base Stabilisation
3.5.5. Example of Pavement Optimisation
3.5.6. Example of Industrial Floor Stabilisation
3.5.7. Example of Paved Road Subbase Stabilisation
4. Conclusions
Author Contributions
Funding
Data Availability Statement
Conflicts of Interest
References
- CEN. Geosynthetics–Part 1: Terms and Definitions–Amendment 1; EN ISO 10318-1:2015/AMD 1:2018; CEN: Brussels, Belgium, 2018. [Google Scholar]
- Shukla, S.K. An Introduction to Geosynthetics Engineering, 1st ed.; CRC Press: London, UK, 2016. [Google Scholar]
- Wetzel, M.A.; Wiegmann, M.; Koop, J.H.E. The ecological potential of geotextiles in hydraulic engineering. Geotext. Geomembr. 2011, 29, 440–446. [Google Scholar] [CrossRef]
- Heibaum, M. Geosynthetics for waterways and flood protection structures–Controlling the interaction of water and soil. Geotext. Geomembr. 2014, 42, 374–393. [Google Scholar] [CrossRef]
- Damians, I.P.; Bathurst, R.J.; Adroguer, E.G.; Josa, A.; Lloret, A. Environmental assessment of earth retaining wall structures. Environ. Geotech. 2017, 4, 415–431. [Google Scholar] [CrossRef]
- Palmeira, E.M.; Trejos Galvis, H.L. Evaluation of predictions of nonwoven geotextile pore size distribution under confinement. Geosynth. Int. 2018, 25, 203–241. [Google Scholar] [CrossRef]
- Geosynthetics Market by Type, and End-Use Industry: Global Opportunity Analysis and Industry Forecast, 2021–2030. Available online: https://www.researchandmarkets.com (accessed on 10 September 2022).
- Koerner, R.M. Designing with Geosynthetics, 6th ed.; Xlibris Publishing Corporation: Bloomington, IN, USA, 2012; Volume 1. [Google Scholar]
- Moyo, D.; Patanaik, A.; Anandjiwala, R.D. Process control in nonwovens production. In Process Control in Textile Manufacturing, 1st ed.; Majumdar, A., Das, A., Alagirusamy, R., Kothari, V.K., Eds.; Woodhead Publishing: Cambridge, UK, 2013; pp. 279–299. [Google Scholar]
- Koerner, R.M. Geotextiles: From Design to Applications, 1st ed.; Woodhead Publishing: Cambridge, UK, 2016. [Google Scholar]
- Ding, Z.; Babar, A.A.; Wang, C.; Zhang, P.; Wang, X.; Yu, J.; Ding, B. Spunbonded needle-punched nonwoven geotextiles for filtration and drainage applications: Manufacturing and structural design. Compos. Commun. 2021, 25, 100481. [Google Scholar] [CrossRef]
- Needle Punching Method for Nonwoven. Available online: https://textileapex.blogspot.com (accessed on 15 September 2022).
- Rawal, A.; Anand, S.; Shah, T. Optimization of Parameters for the Production of Needlepunched Nonwoven Geotextiles. J. Ind. Text. 2008, 37, 341–356. [Google Scholar] [CrossRef]
- Ishikawa, T.; Ishii, Y.; Nakasone, K.; Ohkoshi, Y.; Hou, K.K. Structure analysis of needle-punched nonwoven fabrics by X-ray computed tomography. Text. Res. J. 2019, 89, 20–31. [Google Scholar] [CrossRef]
- Rowe, R.K.; Brachman, R.W.I.; Hosney, M.S.; Take, W.A.; Arnepalli, D.N. Insight into hydraulic conductivity testing of geosynthetic clay liners (GCLs) exhumed after 5 and 7 years in a cover. Can. Geotech. J. 2017, 54, 1118–1138. [Google Scholar] [CrossRef]
- Zornberg, J.G. Functions and Applications of Geosynthetics in Roadways. Procedia Eng. 2017, 189, 298–306. [Google Scholar] [CrossRef]
- von Maubeuge, K.P. Geosynthetic barriers in regulations and recommendations in line with the ISO design guide? Innov. Infrastruct. Solut. 2018, 3, 75. [Google Scholar] [CrossRef]
- Salemi, N.; Abtahi, S.M.; Rowshanzamir, M.A.; Hejazi, S.M. Improving hydraulic performance and durability of sandwich clay liner using super-absorbent polymer. J. Sandw. Struct. Mater. 2019, 21, 1055–1071. [Google Scholar] [CrossRef]
- Müller, W.W.; Saathoff, F. Geosynthetics in geoenvironmental engineering. STAM 2015, 16, 0034605. [Google Scholar] [CrossRef] [PubMed]
- Carlos, D.M.; Pinho-Lopes, M.; Lopes, M.L. Effect of Geosynthetic Reinforcement Inclusion on the Strength Parameters and Bearing Ratio of a Fine Soil. Procedia Eng. 2016, 143, 34–41. [Google Scholar] [CrossRef]
- Śpitalniak, M.; Lejcuś, K.; Dąbrowska, J.; Garlikowski, D.; Bogacz, A. The Influence of a Water Absorbing Geocomposite on Soil Water Retention and Soil Matric Potential. Water 2019, 11, 1731. [Google Scholar] [CrossRef]
- Jeon, H.-Y. Polymeric Synthetic Fabrics to Improve Stability of Ground Structure in Civil Engineering Circumstance. In Engineered Fabrics; IntechOpen: London, UK, 2018. [Google Scholar]
- Mohan, R.K.; Nair, C.G.R. Geotextile Applications. In Encyclopedia of Earth Sciences Series, 2nd ed.; Finkl, C.W., Makowski, C., Eds.; Springer: Cham, Switzerland, 2019; pp. 894–896. [Google Scholar] [CrossRef]
- Tanasa, F.; Nechifor, M.; Ignat, M.-E.; Teaca, C.-A. Geotextiles—A Versatile Tool for Environmental Sensitive Applications in Geotechnical Engineering. Textiles 2022, 2, 189–208. [Google Scholar] [CrossRef]
- Prambauer, M.; Wendeler, C.; Weitzenböck, J.; Burgstaller, C. Biodegradable geotextiles–An overview of existing and potential materials. Geotext. Geomembr. 2019, 47, 48–59. [Google Scholar] [CrossRef]
- Maddah, H.A. Polypropylene as a Promising Plastic: A Review. Am. J. Polym. Sci. 2016, 6, 1–11. [Google Scholar] [CrossRef]
- Ren, X.; Zhao, X.; Zheng, C.; Song, L.; Yang, X.; Liu, Z. Research on mechanical performance of industrial polypropylene biaxial geogrid. Polym. Test. 2021, 99, 107214. [Google Scholar] [CrossRef]
- Pelyk, L.V.; Vasylechko, V.O.; Kyrychenko, O.V. Influence of Biodestructors on the Wear Resistance of Polyester Geotextile Materials. Colloids Interfaces 2019, 3, 21. [Google Scholar] [CrossRef]
- Malicki, K.; Górszczyk, J.; Dimitrovová, Z. Recycled Polyester Geosynthetic Influence on Improvement of Road and Railway Subgrade Bearing Capacity—Laboratory Investigations. Materials 2021, 14, 7264. [Google Scholar] [CrossRef]
- Singh, N.; Hui, D.; Singh, R.; Ahuja, I.; Feo, L.; Fraternali, F. Recycling of plastic solid waste: A state of art review and future applications. Compos. Part B Eng. 2017, 115, 409–422. [Google Scholar] [CrossRef]
- Mejia, E.; Cherupurakal, N.; Mourad, A.-H.I.; Al Hassanieh, S.; Rabia, M. Effect of Processing Techniques on the Microstructure and Mechanical Performance of High-Density Polyethylene. Polymers 2021, 13, 3346. [Google Scholar] [CrossRef] [PubMed]
- Cassidi, P.E.; Mores, M.; Kerwick, D.J.; Koeck, K.L.; Verschoor, K.L.; White, D.F. Chemical resistance of geosynthetic materials. Geotext. Geomembr. 1992, 11, 61–98. [Google Scholar] [CrossRef]
- Javadi, Y.; Hosseini, M.S.; Aghjeh, M.K.R. The effect of carbon black and HALS hybrid systems on the UV stability of high-density polyethylene (HDPE). Iran. Polym. J. 2014, 23, 793–799. [Google Scholar] [CrossRef]
- Maia, P.C.A.; Diah Filho, J.L.E.; de Xavier, G.C. Procedure to determination of durability parameter in geosynthetics. In Proceedings of the 19th International Conference on Soil Mechanics and Geotechnical Engineering, Seoul, Korea, 17–22 September 2017. [Google Scholar]
- Koda, E.; Szymanski, A.; Wolski, W. Field and laboratory experience with the use of strip drains in organic soils. Can. Geotech. J. 1993, 30, 308–318. [Google Scholar] [CrossRef]
- Fannin, R.J. The use of geosynthetics as filters in civil engineering. In Geosynthetics in Civil Engineering; Sarsby, R.W., Ed.; Woodhead Publishing Series in Textiles: Cambridge, UK, 2007; pp. 127–147. [Google Scholar]
- Palmeira, E.M.; Tatsuoka, F.; Bathurst, R.J.; Stevenson, P.E.; Zornberg, J.G. Advances in Geosynthetics Materials and Applications for Soil Reinforcement and Environmental Protection Works. Electron. J. Geotech. Eng. 2008, 13, 1–38. [Google Scholar]
- Palmeira, E.M.; Tatto, J. Behaviour of geotextile filters in armoured slopes subjected to the action of waves. Geotext. Geomembr. 2015, 43, 46–55. [Google Scholar] [CrossRef]
- Yoo, C.; Kim, B. Geosynthetics in Underground Construction. In Proceedings of the 6th European Geosynthetics Congress, Ljubljana, Slovenia, 25–28 September 2016; pp. 208–225. [Google Scholar]
- Blond, E.; Boyle, S.; Ferrara, M.; Herlin, B.; Plusquellec, H.; Rimoldi, P.; Stark, T. Applications of Geosynthetics to Irrigation, Drainage and Agriculture. In Irrigation and Drainage; John Wiley and Sons Ltd.: Hoboken, NJ, USA, 2018. [Google Scholar]
- Liu, Y.; Sun, W.; Du, B.; Liu, J. The Physical Clogging of the Landfill Leachate Collection System in China: Based on Filtration Test and Numerical Modelling. IJERPH 2018, 15, 318. [Google Scholar] [CrossRef]
- Narjabadifam, P.; Chavosh, M. Modern Aseismic Applications of Geosynthetic Materials. IJSEA 2018, 7, 34–38. [Google Scholar] [CrossRef]
- Kawalec, J.; Grygierek, M.; Koda, E.; Osiński, P. Lessons Learned on Geosynthetics Applications in Road Structures in Silesia Mining Region in Poland. Appl. Sci. 2019, 9, 1122. [Google Scholar] [CrossRef]
- Koda, E.; Kiersnowska, A.; Kawalec, J.; Osiński, P. Landfill Slope Stability Improvement Incorporating Reinforcements in Reclamation Process Applying Observational Method. Appl. Sci. 2020, 10, 1572. [Google Scholar] [CrossRef]
- Puppala, A.J.; Banerjee, A.; Congress, S.S.C. Geosynthetics in geo-infrastructure applications. In Durability of Composite Systems, Woodhead Publishing Series in Composites Science and Engineering; Reifsnider, K.L., Ed.; Woodhead Publishing: Sawston, UK; Elsevier Ltd.: Amsterdam, The Netherlands, 2020; pp. 289–312. [Google Scholar] [CrossRef]
- Rimoldi, P.; Shamrock, J.; Kawalec, J.; Touze, N. Sustainable use of geosynthetics in dykes. Sustainability 2021, 13, 4445. [Google Scholar] [CrossRef]
- CEN. Geosynthetics–Part 2: Symbols and Pictograms–Amendment 1; EN ISO 10318-1:2015/AMD 1:2018; CEN: Brussels, Belgium, 2018. [Google Scholar]
- Miszkowska, A. The Influence of Physical Clogging on Water Flow Conditions in Geosynthetic Filters. Doctoral Thesis, Warsaw University of Life Sciences, Warsaw, Poland, 2020. (In Polish). [Google Scholar]
- Brózda, K.; Selejdak, J. The functions of the geosynthetics in roadway applications. Acta Sci. Pol. Archit. 2019, 18, 27–31. [Google Scholar] [CrossRef]
- Touze, N. Healing the world: A geosynthetics solution. Geosynth. Int. 2021, 28, 1–31. [Google Scholar] [CrossRef]
- Özer, A.T.; Akay, O. Investigation of drainage function of geosynthetics for basal-reinforced embankments. Int. J. Phys. Model. 2022, 22, 260–278. [Google Scholar] [CrossRef]
- Koerner, R.M. Designing with Geotextiles, 5th ed.; Prentice Hall: Upper Saddle River, NJ, USA, 2005. [Google Scholar]
- Palmeira, E.M.; Gardoni, M.G.; Bessa da Luz, D.W. Soil-geotextile filter interaction under high stress levels in the gradient ratio test. Geosynth. Int. 2005, 12, 162–175. [Google Scholar] [CrossRef]
- Sabiri, N.-E.; Caylet, A.; Montillet, A.; Le Coq, L.; Durkheim, Y. Performance of nonwoven geotextiles on soil drainage and filtration. Eur. J. Environ. Civ. 2017, 24, 670–688. [Google Scholar] [CrossRef]
- Guo, C.; Wu, J.; Zhu, Y.; Lin, Z.; He, S.; Qian, Y.; Yang, H.; Li, H.; Mao, W. Influence of clogging substances on pore characteristics and permeability of geotextile envelopes of subsurface drainage pipes in arid areas. Geotext. Geomembr. 2020, 48, 735–746. [Google Scholar] [CrossRef]
- Liu, S.; Wang, Y.; Feng, D. Compatibility of tailings-nonwoven geotextile under stress and the effect of sand filter. Geosynth. Int. 2021, 28, 206–213. [Google Scholar] [CrossRef]
- Nonwoven Geotextiles Market-Forecast (2022–2027). Available online: https://www.industryarc.com (accessed on 17 September 2022).
- Lawson, C.R. Filter criteria for geotextiles: Relevance and use. J. Geotech. Eng. Div., Am. Soc. Civ. Eng. 1982, 108, 1300–1317. [Google Scholar] [CrossRef]
- Palmeira, E.M. Conditional Factors of Behavior of Geotextiles Filters. In Proceedings of the 4th Brazilian Conference on Geosynthetics, Porto Alegre, Rio Grande do Sul, Brazil, 14–16 August 2003; pp. 49–67. (In Portuguese). [Google Scholar]
- Fannin, R.J. On the clogging of geotextile filters. In Proceedings of the 9th International Conference on Geosynthetics, Guarujá, Brazil, 23–27 May 2010; pp. 401–412. [Google Scholar]
- Correia, L.G.C.S.; Ehrlich, M.; Mendonca, M.B. The effect of submersion in the ochre formation in geotextile filters. Geotext. Geomembr. 2017, 45, 1–7. [Google Scholar] [CrossRef]
- Fatema, N.; Bhatia, S.K. Sediment Retention and Clogging of Geotextile with High Water Content Slurries. Int. J. Geosynth. Ground Eng. 2018, 4, 13. [Google Scholar] [CrossRef]
- Kalenik, M.; Chalecki, M. Investigations on the effectiveness of wastewater purification in medium sand with assisting clinoptilolite layer. Environ. Prot. Eng. 2019, 45, 117–126. [Google Scholar] [CrossRef]
- Fleming, I.; Rowe, R. Laboratory studies of clogging of landfill leachate collection in drainage systems. Can. Geotech. J. 2004, 41, 134–153. [Google Scholar] [CrossRef]
- Palmeira, E.M.; Remigio, A.F.N.; Ramos, M.L.G.; Bernardes, R.S. A study on biological clogging of nonwoven geotextiles under leachate flow. Geotext. Geomembr. 2008, 26, 205–219. [Google Scholar] [CrossRef]
- Gardoni, M.G.A.; Senra Prado, T.; Cyrino Neto, D. Evaluation of the Biological Clogging on the Geotextile Drainage Systems of Landfills. In Proceedings of the 6th International Congress on Environmental Geotechnics, New Delhi, India, 8–12 November 2010; pp. 919–922. [Google Scholar]
- Vieira, J.L.; Abramento, M.; Campos, M.V.W. Experimental study of clogging in drainage systems. In Proceedings of the 9th International Conference on Geosynthetics, Guarujá, Brazil, 23–27 May 2010; pp. 1145–1148. [Google Scholar]
- Koda, E.; Miszkowska, A.; Stępień, S. Quality Control of Non-Woven Geotextiles Used in a Drainage System in an Old Remedial Landfill. In Proceedings of the Geo-Chicago 2016: Sustainability and Resiliency in Geotechnical Engineering, Chicago, Il, USA, 14–18 August 2016; pp. 254–263. [Google Scholar]
- Rowe, R.K. Long-term performance of contaminant barrier systems. Geotechnique 2005, 55, 631–678. [Google Scholar] [CrossRef]
- Rowe, R.K.; McIsaac, R. Clogging of tire shreds and gravel permeated with landfill leachate. J. Geotech. Geoenviron. 2005, 131, 682–693. [Google Scholar] [CrossRef]
- Yu, Y.; Rowe, R. Modelling leachate-induced clogging of porous media. Can. Geotech. J. 2012, 49, 877–890. [Google Scholar] [CrossRef]
- Wu, H.; Wang, Q.; Ko, J.H.; Xu, Q. Characteristics of geotextile clogging in MSW landfills co-disposed with MSWI bottom ash. Waste Manage. 2018, 78, 164–172. [Google Scholar] [CrossRef]
- Miszkowska, A.; Lenart, S.; Koda, E. Changes of Permeability of Nonwoven Geotextiles due to Clogging and Cyclic Water Flow in Laboratory Conditions. Water 2017, 9, 660. [Google Scholar] [CrossRef]
- Palmeira, E.M.; Trejos Galvis, H.L. Opening sizes and filtration behaviour of nonwoven geotextiles under confined and partial clogging conditions. Geosynth. Int. 2017, 24, 125–138. [Google Scholar] [CrossRef]
- Veylon, G.; Stoltz, G.; Meriaux, P.; Faure, Y.-H.; Touze-Foltz, N. Performance of geotextile filters after 18 years’ service in drainage trenches. Geotext. Geomembr. 2016, 44, 515–533. [Google Scholar] [CrossRef]
- Miszkowska, A.; Koda, E. Change of water permeability of nonwoven geotextile exploited in earthfill dam. In Proceedings of the 24th International PhD Students Conference, Brno, Czech Republic, 8–9 November 2017; pp. 790–795. [Google Scholar]
- Miszkowska, A.; Koda, E.; Krzywosz, Z.; Król, P.; Boruc, N. Zmiany właściwości filtracyjnych geowłókniny po 22 latach eksploatacji w drenażu zapory ziemnej. Acta Sci. Pol. Archit. 2016, 15, 119–126. (In Polish) [Google Scholar]
- Zhou, B.; Wang, H.; Wang, X.; Ji, J. Permeability and stability of soilbags in slope protection structures. Int. J. Heat Technol. 2018, 36, 1094–1100. [Google Scholar] [CrossRef]
- Markiewicz, A.; Kiraga, M.; Koda, E. Influence of physical clogging on filtration performance of soil-geotextile interaction. Geosynth. Int. 2022, 29, 356–368. [Google Scholar] [CrossRef]
- Heibaum, M.; Fourie, A.; Girard, H.; Karunaratne, G.P.; Laufleur, J.; Palmeira, E.M. Hydraulic applications of geosynthetics. In Proceedings of the 8th International Conference on Geosynthetics, Yokohama, Japan, 18–22 September 2006; Volume 1, pp. 79–120. [Google Scholar]
- Cazzuffi, D.; Moraci, N.; Mandaglio, M.C.; Ielo, D. Evolution in design of geotextile filters. In Proceedings of the 6th European Geosynthetics Congress, Ljubljana, Slovenia, 25–28 September 2016; pp. 40–63. [Google Scholar]
- ASTM D5101-12; Standard Test Method for Measuring the Filtration Compatibility of Soil-Geotextile Systems. ASTM International: West Conshohocken, PA, USA, 2017.
- Haliburton, T.A.; Wood, P.D. Evaluation of the U. S. Army Corps of Engineers gradient ratio test for geotextile performance. In Proceedings of the 2nd International Conference on Geotextiles, Las Vegas, NV, USA, 1–6 August 1982; pp. 97–101. [Google Scholar]
- Hong, Y.-S.; Wu, C.-S. Filtration behaviour of soil-nonwoven geotextile combinations subjected to various load. Geotext. Geomembr. 2011, 29, 102–105. [Google Scholar] [CrossRef]
- Giroud, J.P. Development of criteria for geotextile and granular filters. In Proceedings of the 9th International Conference on Geosynthetics, Guarujá, Brazil, 23–27 May 2010; pp. 45–65. [Google Scholar]
- Moraci, N. Geotextile filter: Design, characterization and factors affecting clogging and blinding limit states. In Proceedings of the 9th International Conference on Geosynthetics, Guarujá, Brazil, 23–27 May 2010; pp. 413–435. [Google Scholar]
- Calhoun, C. Development of Design Criteria and Acceptance Specifications for Plastic Filter Cloths; Technical Report S-72-7; U.S. Army Corps of Waterways Experiment Station: Vicksburg, MS, USA, 1972; pp. 6–55. [Google Scholar]
- Kezdi, A. Increase of Protective Capacity of Flood Control Dikes; Report No. 1; Technical University: Budapest, Hungary, 1969. [Google Scholar]
- Sherard, J.L. Sinkholes in dams of coarse, broadly graded soils. In Proceedings of the 13th Congress on Large Dams, New Delhi, India, 29 October–2 November 1979; Volume 2, pp. 25–35. [Google Scholar]
- Kenney, T.C.; Lau, D. Internal stability of granular filters. Can. Geotech. J. 1985, 22, 215–225. [Google Scholar] [CrossRef]
- Sousa, R.; Pinho-Lopes, M. Numerical tool for the design of granular and geotextile filters. In Proceedings of the 5th European Geosynthetics Congress, Valencia, Spain, 16–19 September 2012; pp. 274–283. [Google Scholar]
- Cazzuffi, D.; Ielo, D.; Mandaglio, M.C.; Moraci, N. Recent developments in the design of geotextile filters. In Proceedings of the 2nd International Asia Geosynthetics Conference, Seoul, Korea, 24–26 June 2015; pp. 1–12. [Google Scholar]
- Zitcher, F.-F. Recommendations for the use of plastics in soil and hydraulic engineering. Die Bautech. 1975, 52, 397–402. [Google Scholar]
- Sweetland, D.B. The Performance of Non-Woven Fabrics as Drainage Screens in Subdrains. Master’s Thesis, University of Strathclyde, Glascow, UK, 1977. [Google Scholar]
- Schober, W.; Teindl, H. Filter-criteria for geotextiles. In Proceedings of the 7th Conference on soil mechanics and Foundation engineering, Brighton, England, 10–13 September 1979; Volume 2, pp. 123–129. [Google Scholar]
- Rankilor, P.R. Membranes in Ground Engineering; Wiley Interscience Publication: New York, NY, USA, 1981. [Google Scholar]
- Giroud, J.P. Filter Criteria for Geotextiles. In Proceedings of the 2nd International Conference on Geotextiles, Las Vegas, NV, USA, 1–6 August 1982; pp. 103–108. [Google Scholar]
- Carroll, R.G., Jr. Geotextile Filter Criteria; Transportation Research Record 916, Engineering Fabrics in Transportation Construction; Transportation Research Board: Washington, DC, USA, 1983; pp. 46–53. [Google Scholar]
- Christopher, B.R.; Holtz, R.D. Geotextile Engineering Manual; U. S. Federal Highway Administration, Report FHWA-TS-86/203; National Highway Institute: Washington, DC, USA, 1985; p. 1044. [Google Scholar]
- FHWA. Geosynthetic Design and Construction Guidelines; National Highway Institute: Virginia, USA, 1998; p. 460. [Google Scholar]
- Rollin, A.I.; Mlynarek, J.; Bolduc, G.E. Study on significance of physical and hydraulic properties of geotextiles used as envelopes in subsurface drainage systems. In Proceedings of the 4th International Conference on Geotextiles, Geomembranes and Related Products, The Hague, The Netherlands, 28 May–1 June 1990; p. 363. [Google Scholar]
- Corbet, S.P. The design and specification of geotextiles and geocomposites for filtration and drainage. In Geotextile in Filtration and Drainage; Thomas Telford: London, UK, 1993; pp. 29–40. [Google Scholar]
- Lafleur, J. Selection of geotextiles to filter broadly graded cohesionless soils. Geotext. Geomembr. 1999, 17, 299–312. [Google Scholar] [CrossRef]
- Heibaum, M. Rethinking geotextile filter design. In Proceedings of the 10th International Conference on Geosynthetics, Berlin, Germany, 22–25 September 2014; p. 142. [Google Scholar]
- DVWK. Merkblatt 221; Anwendung von Geotextilien im Wasserbau. Deutscher Verband für Wasserwirtschaft und Kulturbaue: Berlin, Germany, 1992; p. 31. [Google Scholar]
- CFEM. Canadian Foundation Engineering Manual, 4th ed.; Canadian Geotechnical Society: Vancouver, BC, Canada, 2006; pp. 343–356. [Google Scholar]
- CEN. Geotextiles and Geotextile-Related Products—Determination of the Characteristic Opening Size; EN ISO 12956:2019; CEN: Brussels, Belgium, 2019. [Google Scholar]
- Rüegger, R.; Hufenus, R. Bauen mit Geokunststoffen; St. Gallen, Schweizerischer Verband für Geokunststoffe: St. Gallen, Switzerland, 2003. [Google Scholar]
- Giroud, J.P. Granular Filters and Geotextile Filters. In Proceedings of the 2nd International Conference “Geofilters”, Montréal, QC, Canada, 29–31 May 1996; pp. 565–680. [Google Scholar]
- Luettich, S.M.; Giroud, J.P.; Bachus, R.C. Geotextile filter design guide. Geotext. Geomembr. 1992, 11, 355–370. [Google Scholar] [CrossRef]
- Miszkowska, A.; Krzywosz, Z. Evaluation of soil-geotextile filtration behaviour using the gradient ratio test. In Proceedings of the 25th International PhD Students Conference, Brno, Czech Republic, 7–8 November 2018; pp. 440–445. [Google Scholar]
- ASTM D7178-16e1; Standard Practise for Determining the Number of Constrictions “m” of Non-Woven Geotextiles as a Complementary Filtration Property. ASTM International: West Conshohocken, PA, USA, 2016.
- Elsharief, A.M.; Lovell, C.W. A probabilistic retention criterion for nonwoven geotextiles. Geotext. Geomembr. 1996, 14, 601–617. [Google Scholar] [CrossRef]
- Urashima, D.C.; Vidal, D.M. Geotextile filter design by probabilistic analysis. In Proceedings of the 6th International Conference on Geosynthetics, Atlanta, GA, USA, 25–29 March 1998; pp. 1013–1016. [Google Scholar]
- Silva, R.A.; Vidal, D.M. A review of theoretical methods for quantifying the number of constrictions in nonwoven geotextile filters. In Proceedings of the 11th International Conference on Geosynthetics, Seoul, Korea, 16–21 September 2018; pp. 1–9. [Google Scholar]
- Delmas, P.; Artières, O.; Schörgenhuber, H.; Lugmayr, R. Development of a new geotextile filtration system. In Proceedings of the 3rd International Conference “Geofilters”, Warsaw, Poland, 5–7 June 2000; pp. 51–58. [Google Scholar]
- Stępień, S.; Osiński, P.; Koda, E. Laboratory tests of water permeability under load of non-woven geotextile exploited at landfill site. Acta Sci. Pol. Archit. 2012, 11, 41–50. [Google Scholar]
- Miszkowska, A.; Koda, E.; Krzywosz, Z.; Wrzesiński, G. Filtration and clogging behaviour of nonwoven geotextiles. In Proceedings of the International Multidisciplinary Scientific GeoConference: SGEM, Albena, Bulgaria, 2–8 July 2018; pp. 269–276. [Google Scholar]
- Nieć, J.; Zawadzki, P.; Nowacki, F. Small Dam Drainage with Nonwoven Geotextile after 40 Years of Exploitation. Appl. Sci. 2019, 9, 4161. [Google Scholar] [CrossRef]
- Koerner, R.M.; Koerner, G.R. Lessons learned from geotextile filters failures under challenging field conditions. Geotext. Geomembr. 2015, 43, 272–281. [Google Scholar] [CrossRef]
- Parthiban, D.; Vijayan, D.S.; Koda, E.; Vaverková, M.D.; Piechowicz, K.; Osiński, P.; Duc, B.V. Role of industrial based precursors in the stabilization of weak soils with geopolymer—A review. Case Stud. Constr. Mater. 2022, 16, e00886. [Google Scholar] [CrossRef]
- Giroud, J.P.; Han, J.; Tutumluer, E.; Dobie, M.J.D. The use of geosynthetics in roads. Geosynth. Int. 2022; in press. [Google Scholar]
- Cook, J.; Dobie, M.; Blackman, D. The development of APT methodology in the application and derivation of geosynthetic benefits in roadway design. In The Roles of Accelerated Pavement Testing in Pavement Sustainability; Springer: Cham, Switzerland, 2016; pp. 257–275. [Google Scholar]
- Rakowski, Z.; Kawalec, J. Mechanically stabilized layers in road construction. In Proceedings of the XXVII International Baltic Road Conference Via Baltica, Riga, Latvia, 24–26 August 2009. [Google Scholar]
- Zanzinger, H. Laboratory testing of geogrids and geocells used for the function stabilisation. In Proceedings of the 8th National Turkish Geosynthetics Conference, Istanbul, Turkey, 16–17 May 2019; pp. 31–54. [Google Scholar]
- Robinson, W.J.; Wayne, M.H.; Tamrakar, P. Evaluation of Hexagonal Multi-Shape, Multi-Axial Geogrids in Unsurfaced Road Applications. Transp. Res. Rec. 2022, 2676, 13–24. [Google Scholar] [CrossRef]
- Kang, M.; Qamhia, I.I.A.; Tutumluer, E.; Garg, N.; Villafane, W. Airport Pavement Stiffness Monitoring and Assessment of Mechanical Stabilization using Bender Element Field Sensor. Transp. Res. Rec. 2022, 2676, 542–553. [Google Scholar] [CrossRef]
- Zheng, G. Effectiveness of Geogrids in Roadway Construction by Large Scale Laboratory Tests. Doctoral Theses, Iowa State University, Ames, IA, USA, 2020; p. 18259. [Google Scholar]
- Jas, H.; Stahl, M.; te Kamp, L.; Konietzky, H.; Oliver, T. Discrete Element Simulation: Modelling and Analysis of a Geogrid Stabilized Sub-Base While Loaded with a Moving Wheel. 2015. Available online: icevirtuallibrary.com (accessed on 15 October 2022).
- Esen, A.F.; Woodward, P.K.; Laghrouche, O.; Čebašek, T.M.; Brennan, A.J.; Robinson, S.; Connolly, D.P. Full-scale laboratory testing of a geosynthetically reinforced soil railway structure. Transp. Geotech. 2021, 28, 100526. [Google Scholar] [CrossRef]
- Marcotte, B.; Soliman, H.; Hammerlindl, A.; Fox, B.; Andree, M.; Howse, K.; Leik, A.; Lees, A.; Wayne, M.; Kawalec, J.; et al. Full scale testing of geogrid-stabilised aggregate working platforms under controlled loading conditions. In Proceedings of the 4th Pan-American Conference on Geosynthetics, Rio de Janeiro, Brazil, 25–29 October 2020; pp. 1–9. [Google Scholar]
- Hornicek, L.; Rakowski, Z.; Kawalec, J.; Kwiecien, S. Dynamic Laboratory Testing of Mechanically Stabilized Layers for Railway Applications. In Recent Trends in Wave Mechanics and Vibrations. WMVC 2022. Mechanisms and Machine Science; Dimitrovová, Z., Biswas, P., Gonçalves, R., Silva, T., Eds.; Springer: Cham, Switzerland, 2023; Volume 125. [Google Scholar]
- Giroud, J.P.; Han, J. Design method for geogrid-reinforced unpaved roads; I. development of design method, and II. calibration and applications. J. Geotech. Geoenvironmental Eng.-ASCE 2004, 130, 775–797. [Google Scholar] [CrossRef]
- Leng, J.; Gabr, M.A. Deformation-Resistance Model for Geogrid-Reinforced Unpaved Road. J. Transp. Res. Board 2006, 1975, 146–154. [Google Scholar] [CrossRef]
- Pokharel, S.K. Experimental Study on Geocell-Reinforced Bases under Static and Dynamic Loading. Doctoral Thesis, Civil, Environmental, and Architectural Engineering and Graduate Faculty of the University of Kansas, Lawrence, KS, USA, 2010. [Google Scholar]
- Rimoldi, P. Design methods for base stabilization of paved roads. In Proceedings of the ISGTI Geotechnics for Transportation Infrastructure, Delhi, India, 7–8 April 2018; Springer: Singapore, 2019; pp. 51–80. [Google Scholar]
- Kawalec, J. Monitoring and geosynthetic protection of motorway embankment in mining areas. Prace Naukowe GIG 2010, 4, 118–128. (In Polish) [Google Scholar]
- Zięba, M.; Kalisz, P. The Impact of Mining Deformations on Road Pavements Reinforced with Geosynthetics. Arch. Min. Sci. 2020, 65, 751–767. [Google Scholar]
- Lees, A.S.; Kawalec, J. The design of mechanically stabilized working platforms. In Proceedings of the 7th European Geosynthetic Conference EuroGeo7, Warsaw, Poland, 4–7 September 2022; pp. 397–407. [Google Scholar]
- Lees, A.S. The bearing capacity of a granular layer on clay. Proc. Inst. Civ. Eng.–Geotech. Eng. 2020, 173, 13–20. [Google Scholar] [CrossRef]
- Kawalec, J. Stabilisation with geogrids for transport applications–selected issues. MATEC Web Conf. 2019, 265, 01001. [Google Scholar] [CrossRef]
- Horton, M.; Connolly, D.P.; Yu, Z. Rail Trackbed and Performance Testing of Stabilised Sub-ballast in Normal and High-speed Environments. Procedia Eng. 2017, 189, 924–931. [Google Scholar] [CrossRef]
- Petriaev, A.; Konon, A.; Solovyov, V. Performance of Ballast Layer Reinforced with Geosynthetics in Terms of Heavy Axle Load Operation. Procedia Eng. 2017, 189, 654–659. [Google Scholar] [CrossRef]
- Hornicek, L.; Brestovsky, P.; Jasansky, P. Application of geocomposite placed beneath ballast bed to improve ballast quality and track stability. IOP Conf. Ser. Mater. Sci. Eng. 2017, 236, 012039. [Google Scholar] [CrossRef]
- Liu, S.; Huang, H.; Qiu, T. Behavior of geogrid-reinforced railroad ballast particles under different loading configurations during initial compaction phase. In Proceedings of the ASME/IEEE Joint Rail Conference, Philadelphia, PA, USA, 4–7 April 2017; American Society of Mechanical Engineers: New York, NY, USA, 2017; Volume 50718, p. V001T01A002. [Google Scholar]
- Bian, X.; Cai, W.; Luo, Z.; Zhao, C.; Chen, Y. Image-aided analysis of ballast particle movement along a high-speed railway. Engineering, 2022; in press. [Google Scholar] [CrossRef]
- American Association of State Highway and Transportation Officials. 2009 Standard Practice for Geosynthetic Reinforcement of the Aggregate Base Course of Flexible Pavement Structures AASHTO R 50-09; American Association of State Highway and Transportation Officials: Washington, DC, USA, 2009. [Google Scholar]
- Jersey, S.R.; Tingle, J.S.; Norwood, G.J.; Kwon, J.; Wayne, M. Full-Scale Evaluation of Geogrid-Reinforced Thin Flexible Pavements. Transportation Research Record. J. Transp. Res. Board 2012, 2310, 61–71. [Google Scholar] [CrossRef]
- Kawalec, J.; Gołos, M.; Mazurowski, P. Environmental aspects of the implementation of geogrids for pavement optimisation. IOP Conf. Ser. Mater. Sci. Eng. 2018, 356, 012018. [Google Scholar] [CrossRef]
- White, D.J.; Vennapusa, P.K. In situ resilient modulus for geogrid-stabilized aggregate layer: A case study using automated plate load testing. Transp. Geotech. 2017, 11, 120–132. [Google Scholar] [CrossRef]





























| Geosynthetics | Polymers |
|---|---|
| Geotextiles | PP, PET, PE, PA |
| Geotextile-related products | PP, PET, HDPE, MDPE |
| Geosynthetic barriers | PP, PVC, HDPE, LLDPE, VLDPE, CSPE |
| Geocomposites | PE, PP, PVC, PS |
| Factors | Resistance of Polymers | ||
|---|---|---|---|
| PP | PET | PE | |
| UV stabilised | +++ 1 | +++ | +++ |
| Acids | +++ | + | +++ |
| Alkalis | +++ | + | +++ |
| Salts | +++ | +++ | +++ |
| Detergents | +++ | +++ | +++ |
| Hydrolysis | +++ | +++ | +++ |
| Steam | + | + | + |
| Heat | ++ | +++ | + |
| Creep | + | +++ | + |
| Microorganisms | +++ | +++ | +++ |
| Functions | Geosynthetics |
|---|---|
| Filtration | Geotextiles, geocomposites |
| Drainage | Geotextiles, geonets, geocomposites |
| Reinforcement Separation | Geotextiles, geogrids, geocomposites Geotextiles, geocomposites |
| Barrier | Geomembranes, geosynthetic clay liners, geocomposites |
| Protection | Geotextiles, geocomposites |
| Containment Stabilisation | Geobags, geotubes Geogrids, geocells |
| Authors (Year) | Leachate Composition | Type of Tests |
|---|---|---|
| Rowe (2005) [69] | Mainly CaCO3; 29–34% Ca | Laboratory |
| Rowe and McIsaac (2005) [70] | >50% CaCO3, 16–21% Si, <8% Fe, 5% Mn | Field |
| Yu and Rowe (2012) [71] | Inorganic solid compounds | Bio-clog 2D model |
| Wu et al. (2018) [72] | >55% Ca, 9% Si, 9% Fe, 7% Zn | Laboratory |
| Authors (Year) | Criteria | Comments |
|---|---|---|
| Zitcher (1975) [93] | O50 = (2.5 ÷ 3.7)d50 | - |
| Sweetland (1977) [94] | O15 ≤ d85 | - |
| Schober and Teindl (1979) [95] | 2.5 ≤ O90/d50 ≤ 4.5 | CU 1 ≤ 5; tGTX 2 < 1 mm |
| 4.5 ≤ O90/d50 ≤ 7.5 | CU ≤ 5; tGTX > 2 mm | |
| 1.0 ≤ O90/d50 ≤ 2.8 | 5 < CU ≤ 20 | |
| Rankilor (1981) [96] | < d85 | 0.02 ≤ d85 ≤ 0.25 mm |
| > d15 | d85 > 0.25 mm | |
| Giroud (1982) [97] | 3 < 3 | |
| d50 | ID 4 ≤ 35% | |
| d50 | 35% < ID < 65% | |
| d50 | ID ≥ 65% | |
| ≥ 3 | ||
| d50 | ID ≤ 35% | |
| )d50 | 35% < ID < 65% | |
| )d50 | ID ≥ 65% | |
| Carroll (1983) [98] | O95 ≤ (2 ÷ 3)d85 | - |
| Christopher and Holtz (1985) [99] FWHA (1998) [100] | CU < 2 or CU > 8 | sand laminar water flow |
| O95 ≤ d85 | ||
| 2 ≤ CU ≤ 4 | ||
| O95 ≤ 0,5 CU d85 | ||
| 4 < CU ≤ 8 | ||
| O95 ≤ (8/CU) d85 | ||
| O95 < d15 | sand turbulent water flow | |
| O50 < 0.5 d85 | ||
| O95 < 1.8 d85 | silt, clay turbulent water flow | |
| O95 ≤ 3 mm | ||
| Rollin et al. (1990) [101] | O95 ≤ (1 ÷ 1.5)d85 | - |
| Corbet (1993) [102] | O90 = (1 ÷ 3)d90 | 1 ≤ CU ≤ 5 |
| O90 < (1 ÷ 3)d90 | 5 < CU < 10tGTX ≤ 2 mm | |
| O90 = (1.8 ÷ 6)d50 | 5 < CU < 10tGTX > 2 mm | |
| Lafleur (1999) [103] | O95 < (1 ÷ 5)d30 | internal unstable soils |
| Giroud (2010) [85] | CU ≤ 3 | |
| O95 ≤ ()0.3 5 | ID ≤ 35% | |
| O95 ≤ 1.5()0.3 | 35% < ID < 65% | |
| O95 ≤ 2()0.3 | ID ≥ 65% | |
| CU ≥ 3 | ||
| O95 ≤ 9/)1.7 | ID ≤ 35% | |
| O95 ≤ 13.5/)1.7 | 35% < ID < 65% | |
| O95 ≤ 18/)1.7 | ID ≥ 65% |
| Applications | Hydraulic Gradient |
|---|---|
| Liquid reservoir with GCL | >10 |
| Dam toe drain | 2.0 |
| Landfill drainage layer | 1.5 |
| Road edge drain | ≤1.0 |
| Dewatering trench | ≤1.0 |
| Author (Year) | Proposition |
|---|---|
| Elsharief and Lovell (1996) 1 | |
| Urashima and Vidal (1998) 2 | |
| Giroud (1996, 2010) 3 | m = |
| Permeability Coefficient (m/s) | ||||
|---|---|---|---|---|
| Nonwoven Geotextile | Load (kPa) | |||
| 0 | 2 | 20 | 200 | |
| Unworn | 0.0080 | 0.0034 | 0.0027 | 0.0014 |
| Worn after 12 years of exploitation | 0.0029 | 0.0019 | 0.0016 | 0.0008 |
| Worn after 15 years of exploitation | 0.0020 | 0.0011 | 0.0007 | 0.0004 |
| Permeability Coefficient (m/s) | ||||
|---|---|---|---|---|
| Nonwoven Geotextile | Load (kPa) | |||
| 0 | 2 | 20 | 200 | |
| Unworn | 0.00268 | n/a 1 | n/a | n/a |
| After 23 years of exploitation | 0.00104 | 0.00073 | 0.00055 | 0.00032 |
| Application | Specific Aggregate Layer Stabilised |
|---|---|
| Road—unpaved | Stabilisation of base |
| Road—unpaved | Stabilisation of subbase |
| Road—paved | Stabilisation of base |
| Road—paved | Stabilisation of subbase |
| Railway | Stabilisation of ballast |
| Railway | Stabilisation of sub-ballast |
| Runway | Stabilisation of subbase |
| Working platform | Stabilisation of platform |
| Liquefaction protection | Gravel raft stabilisation |
| Industrial floor | Bearing stratum (base) stabilisation |
| Mining subsidence protection | Stabilisation of geomattresses |
| Foundations | Stabilisation of regulating layer |
| Surcharge reduction on organic formations | Lightweight fill stabilisation |
| Rayleigh waves mitigation | Stabilisation of fill replacement |
Publisher’s Note: MDPI stays neutral with regard to jurisdictional claims in published maps and institutional affiliations. |
© 2022 by the authors. Licensee MDPI, Basel, Switzerland. This article is an open access article distributed under the terms and conditions of the Creative Commons Attribution (CC BY) license (https://creativecommons.org/licenses/by/4.0/).
Share and Cite
Markiewicz, A.; Koda, E.; Kawalec, J. Geosynthetics for Filtration and Stabilisation: A Review. Polymers 2022, 14, 5492. https://doi.org/10.3390/polym14245492
Markiewicz A, Koda E, Kawalec J. Geosynthetics for Filtration and Stabilisation: A Review. Polymers. 2022; 14(24):5492. https://doi.org/10.3390/polym14245492
Chicago/Turabian StyleMarkiewicz, Anna, Eugeniusz Koda, and Jacek Kawalec. 2022. "Geosynthetics for Filtration and Stabilisation: A Review" Polymers 14, no. 24: 5492. https://doi.org/10.3390/polym14245492
APA StyleMarkiewicz, A., Koda, E., & Kawalec, J. (2022). Geosynthetics for Filtration and Stabilisation: A Review. Polymers, 14(24), 5492. https://doi.org/10.3390/polym14245492
