Dependence of Incidence Angle and Flux Density in the Damage Effect of Atomic Oxygen on Kapton Film
Abstract
1. Introduction
2. Methods
2.1. Experimental Method
2.1.1. Ground-Based Test Device
2.1.2. Experimental Materials
2.1.3. Experimental Conditions and Procedures
- Ten values of the incidence angle (θ = 0°, 10°, 20°, 30°, 40°, 50°, 60°, 70°, 80°, and 90°);
- Five values of the target current (= 0.25 A, 0.5 A, 1.0 A, 1.5 A, 2.0 A).
2.2. Simulation Method
2.2.1. Reactive Molecular Dynamics
2.2.2. Simulation Details
3. Results and Discussion
3.1. Ground-Based Experiment
3.2. ReaxFF MD Simulation
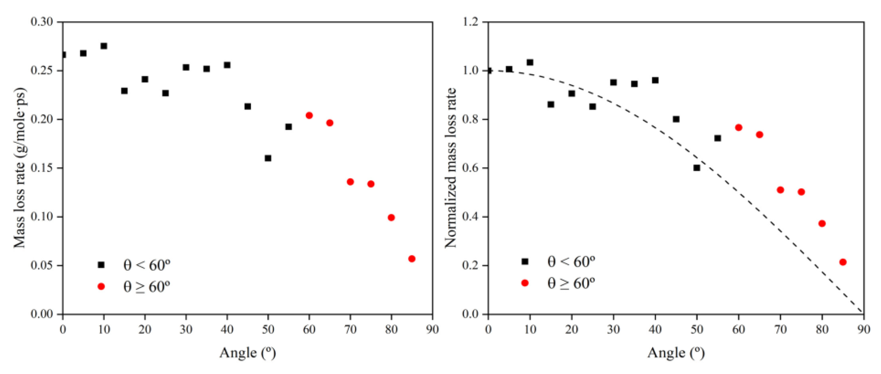
3.2.1. Effect of the Incidence Angle
Mass Loss
Products and Erosion Yield
Temperature Variation
3.2.2. Effect of the Dose Rate
Mass Loss
Products and Erosion Yield
Temperature Variation
4. Conclusions
- The mechanism of atomic oxygen erosion on Kapton films differs for different incidence angle ranges. The AO effect in the lower incidence angle range (0–60°) is independent of the incidence angle and depends only on the amount of impacted atomic oxygen; the AO effect in the higher incidence angle range (60–90°) is strongly dependent on both the incidence angle and the amount of impacted atomic oxygen. The AO effect at higher incidence angles has a surface stripping effect, which strips the rough, raised macromolecules from the material surface and causes greater mass loss and a temperature rise. This stripping effect becomes more significant with the increasing incidence angle and amount of impacted atomic oxygen. The findings on the incidence angle can help to improve the surface structure of spacecraft and develop new structural materials resistant to atomic oxygen erosion. It is possible to design a material with an arc-shaped surface structure, so that the incidence angle of atomic oxygen is only within the lower incidence angle range (0–60°). This may avoid the surface peeling effect and reduce the AO effect.
- There is a critical value for the effect of flux density on the AO effect. Below the critical flux density, the AO effect is a simple quantitative superposition of the single AO damage effect; above the critical flux density, the damaging effect caused by atomic oxygen is diminished, probably due to the reduced probability that high densities of atomic oxygen are involved in the reaction. The critical AO flux density obtained in this study is approximately 10 × 1015 atoms cm−2·s−1. The above conclusions suggest that shortening the experimental time by increasing the flux density exponentially may be effective only in a certain flux density range, which provides some reference significance for the development of accelerated test standards for ground simulation tests.
- Changes in the angle of incidence and dose rate have little effect on the total content of the main products of the AO effect, averaging around 70%. The use of ReaxFF MD for the statistics of product species and their contents in the AO effect provides an opportunity to estimate the erosion yield of atomic oxygen for new materials. This can complement traditional material characterization methods, contributing to a better understanding of the damage process of the AO effect.
Supplementary Materials
Author Contributions
Funding
Institutional Review Board Statement
Data Availability Statement
Conflicts of Interest
References
- Nishikawa, T.; Sonoda, K.; Nakanishi, K. Effect of atomic oxygen on polymers used as surface materials for spacecrafts, electrical insulating materials. In Proceedings of the Twenty-First Symposium on Electrical Insulating Materials, Nerima, Japan, 26 September 1988; pp. 191–194. [Google Scholar]
- Lu, Y.F.; Shao, Q.; Yue, H.H.; Yang, F. A review of the space environment effects on spacecraft in different orbits. IEEE Access 2019, 7, 93473–93488. [Google Scholar] [CrossRef]
- Whiteside, J.B.; Kamykowski, E.; Rooney, W.D.; Schulte, R.; Stauber, M. Effects of 69 months in low earth orbit on Kapton antenna structures. J. Spacecr. Rocket. 1994, 31, 860–865. [Google Scholar] [CrossRef]
- Shimamura, H.; Nakamura, T. Investigation of degradation mechanisms in mechanical properties of polyimide films exposed to a low earth orbit environment. Polym. Degrad. Stab. 2010, 95, 21–33. [Google Scholar] [CrossRef]
- Koontz, S.L.; Leger, L.J.; Rickman, S.L.; Hakes, C.L.; Bui, D.T.; Hunton, D.E.; Cross, J.B. Oxygen interactions with materials III-Mission and induced environments. J. Spacecr. Rocket. 1995, 32, 475–482. [Google Scholar] [CrossRef]
- Awaja, F.; Moon, J.B.; Gilbert, M.; Zhang, S.N.; Kim, C.G.; Pigram, P.J. Surface molecular degradation of selected high performance polymer composites under low earth orbit environmental conditions. Polym. Degrad. Stabil. 2011, 96, 1301–1309. [Google Scholar] [CrossRef]
- Buczala, D.M.; Minton, T.K. Erosion of Kapton H by hyperthermal atomic oxygen: Dependence on O-Atom fluence and surface temperature. Space Technol. Proc. 2006, 6, 317–329. [Google Scholar]
- Duo, S.W.; Li, M.S.; Zhou, Y.C.; Tong, J.Y.; Sun, G. Investigation of surface reaction and degradation mechanism of Kapton during atomic oxygen exposure. J. Mater. Sci. Technol 2003, 19, 535. [Google Scholar]
- Grossman, E.; Lifshitz, Y.; Wolan, J.T.; Mount, C.K.; Hoflund, G.B. In situ erosion study of kapton-laquo; Using novel hyperthermal oxygen atom source. J. Spacecr. Rocket. 1999, 36, 75–78. [Google Scholar] [CrossRef]
- Tagawa, M.; Umeno, M.; Ohmae, N. Influence of 5 eV Atomic Oxygen on surface properties of Ag films and graphite. In Proceedings of the 28th Aerospace Sciences Meeting, Reno, NV, USA, 8–10 January 2010. [Google Scholar]
- Banks, B.A.; Rutledge, S.K.; Paulsen, P.E.; Steuber, T.J. Simulation of the low earth orbital atomic oxygen interaction with materials by means of an oxygen ion beam. In Proceedings of the Annual Symposium on Applied Vacuum Science and Technology, Clearwater Beach, FL, USA, 6–8 February 1989. [Google Scholar]
- Jiang, D.H.; Wang, D.; Liu, G.; Wei, Q. Atomic Oxygen Adaptability of Flexible Kapton/Al2O3 Composite Thin Films Prepared. by Ion Exchange Method. Coatings 2019, 9, 624. [Google Scholar] [CrossRef]
- Tagawa, M.; Yokota, K.; Kishida, K.; Okamoto, A.; Minton, T.K. Energy dependence of hyperthermal oxygen atom erosion of a fluorocarbon polymer: Relevance to space environmental effects. ACS Appl. Mater. Interfaces 2010, 2, 1866–1871. [Google Scholar] [CrossRef]
- Bai, Z.T.; Zhang, L.; Liu, L. Bombarding graphene with oxygen ions: Combining effects of incident angle and ion energy to control defect generation. J. Phys. Chem. C 2015, 119, 26793–26802. [Google Scholar] [CrossRef]
- Morrissey, L.S.; Rahnamoun, A.; Nakhla, S. The effect of atomic oxygen flux and impact energy on the damage of spacecraft metals. Adv. Space Res. 2020, 66, 1495–1506. [Google Scholar] [CrossRef]
- Kim, Y.; Choi, J. Thermal ablation mechanism of polyimide reinforced with POSS under atomic oxygen bombardment. Appl. Surf. Sci. 2021, 567, 150578. [Google Scholar] [CrossRef]
- Visentine, J.; Leger, L.; Kuminecz, J.; Spiker, I. STS-8 atomic oxygen effects experiment. In Proceedings of the 23rd Aerospace Sciences Meeting, Reno, NV, USA, 14 January 1985. [Google Scholar]
- Banks, B.A.; Dever, J.A.; Gebauer, L.; Hill, C.M. Atomic oxygen interactions with FEP Teflon and silicones on LDEF. In Proceedings of the First LDEF Post-Retrieval Symposium, Kissimmee, FL, USA, 2–8 June 1991. [Google Scholar]
- Tagawa, M.; Yokota, K. Atomic oxygen-induced polymer degradation phenomena in simulated LEO space environments: How do polymers react in a complicated space environment? Acta Astronaut. 2008, 62, 203–211. [Google Scholar] [CrossRef]
- Van Duin, A.C.; Dasgupta, S.; Lorant, F.; Goddard, W.A. ReaxFF: A reactive force field for hydrocarbons. J. Phys. Chem. A 2001, 105, 9396–9409. [Google Scholar] [CrossRef]
- Rahnamoun, A.; Van Duin, A.C. Reactive molecular dynamics simulation on the disintegration of Kapton, POSS polyimide, amorphous silica, and teflon during atomic oxygen impact using the ReaxFF reactive force-field method. J. Phys. Chem. A 2014, 118, 2780–2787. [Google Scholar] [CrossRef]
- Rahmani, F.; Nouranian, S.; Li, X.; Al-Ostaz, A. Reactive molecular simulation of the damage mitigation efficacy of POSS-, graphene-, and carbon nanotube-loaded polyimide coatings exposed to atomic oxygen bombardment. ACS Appl. Mater. Interfaces 2017, 9, 12802–12811. [Google Scholar] [CrossRef]
- Li, X.B.; Al-Ostaz, A.; Jaradat, M.; Rahmani, F.; Nouranian, S.; Rushing, G.; Manasrah, A.; Alkhateb, H.; Finckenor, M.; Lichtenhan, J. Substantially enhanced durability of polyhedral oligomeric silsequioxane-polyimide nanocomposites against atomic oxygen erosion. Eur. Polym. J. 2017, 92, 233–249. [Google Scholar] [CrossRef]
- Tong, P.Y.; Wei, Q.; Hu, N.; Chen, X.G. Asynchronous Synergistic Damage Effect of Atomic Oxygen and Space Micro Debris on Kapton Film. Coatings 2022, 12, 179. [Google Scholar] [CrossRef]
- Cuthbertson, J.W.; Langer, W.D.; Motley, R.W.; Vaughn, J.A. Atomic oxygen beam source for erosion simulation. In Proceedings of the Fourth Annual Workshop on Space Operations Applications and Research (SOAR 90), Washington, DC, USA, 1 January 1991. [Google Scholar]
- Shen, Z.G.; Zhao, X.H.; Wang, X. Atomic Oxygen Effects and the Ground-Based Simulation Experiments, 1st ed.; National Defense Industry Press: Beijing, China, 2006; pp. 54–70. [Google Scholar]
- Chenoweth, K.; Van Duin, A.C.; Goddard, W.A. ReaxFF reactive force field for molecular dynamics simulations of hydrocarbon oxidation. J. Phys. Chem. A 2008, 112, 1040–1053. [Google Scholar] [CrossRef]
- Van Duin, A.C.; Strachan, A.; Stewman, S.; Zhang, Q.S.; Xu, X.; Goddard, W.A. ReaxFFSiO reactive force field for silicon and silicon oxide systems. J. Phys. Chem. A 2003, 107, 3803–3811. [Google Scholar] [CrossRef]
- Baekelandt, B.G.; Mortier, W.J.; Schoonheydt, R.A. The EEM approach to chemical hardness in molecules and solids: Fundamentals and applications. Chem. Hardness 1993, 80, 187–227. [Google Scholar]
- Zeng, F.L.; Peng, C.; Liu, Y.Z.; Qu, J.M. Reactive molecular dynamics simulations on the disintegration of PVDF, FP-POSS, and their composite during atomic oxygen impact. J. Phys. Chem. A 2015, 119, 8359–8368. [Google Scholar] [CrossRef] [PubMed]
- Evans, D.J.; Holian, B.L. The nose–hoover thermostat. J. Chem. Phys. 1985, 83, 4069–4074. [Google Scholar] [CrossRef]
- Štich, I.; Car, R.; Parrinello, M.; Baroni, S. Conjugate gradient minimization of the energy functional: A new method for electronic structure calculation. Phys. Rev. B 1989, 39, 4997–5004. [Google Scholar] [CrossRef]
- Plimpton, S. Fast parallel algorithms for short-range molecular dynamics. J. Comput. Phys. 1995, 117, 1–19. [Google Scholar] [CrossRef]
- Aktulga, H.M.; Fogarty, J.C.; Pandit, S.A.; Grama, A.Y. Parallel reactive molecular dynamics: Numerical methods and algorithmic techniques. Parallel Comput. 2012, 38, 245–259. [Google Scholar] [CrossRef]
- Stukowski, A. Visualization and analysis of atomistic simulation data with OVITO–the Open Visualization Tool. Model. Simul. Mater. Sci. Eng. 2010, 18, 015012. [Google Scholar] [CrossRef]
- Duo, S.W.; Li, M.S.; Zhang, Y.M.; Zhou, Y.C. Mass change and erosion mechanism of the polyimide film during atomic oxygen exposure. Chin. J. Mater. Res. 2005, 19, 337–342. [Google Scholar]
- De Groh, K.K.; Banks, B.A.; Mccarthy, C.E.; Rucker, R.N.; Roberts, L.M.; Berger, L.A. MISSE 2 PEACE polymers atomic oxygen erosion experiment on the international space station. High Perform. Polym. 2008, 20, 388–409. [Google Scholar] [CrossRef]
- Morrissey, L.S.; Handrigan, S.M.; Nakhla, S.; Rahnamoun, A. Erosion of spacecraft metals due to atomic oxygen: A molecular dynamics simulation. J. Spacecr. Rocket. 2019, 56, 1231–1236. [Google Scholar] [CrossRef]
- Lu, X.; Wang, X.L.; Li, Q.M.; Huang, X.W.; Han, S.; Wang, G.Y. A ReaxFF-based molecular dynamics study of the pyrolysis mechanism of polyimide. Polym. Degrad. Stabil. 2015, 114, 72–80. [Google Scholar] [CrossRef]
- Buczala, D.M. Temperature dependence study of FEP Teflon and Kapton H erosion in a simulated LEO atomic-oxygen environment. Master’s Thesis, Montana State University, Bozeman, MT, USA, 2004. [Google Scholar]
- Rapaport, D.C. The Art of Molecular Dynamics Simulation, 2nd ed.; Cambridge University Press: New York, NY, USA, 2004; pp. 11–18. [Google Scholar]
































Publisher’s Note: MDPI stays neutral with regard to jurisdictional claims in published maps and institutional affiliations. |
© 2022 by the authors. Licensee MDPI, Basel, Switzerland. This article is an open access article distributed under the terms and conditions of the Creative Commons Attribution (CC BY) license (https://creativecommons.org/licenses/by/4.0/).
Share and Cite
Zhao, W.; Wei, Q.; Huang, C.; Zhu, Y.; Hu, N. Dependence of Incidence Angle and Flux Density in the Damage Effect of Atomic Oxygen on Kapton Film. Polymers 2022, 14, 5444. https://doi.org/10.3390/polym14245444
Zhao W, Wei Q, Huang C, Zhu Y, Hu N. Dependence of Incidence Angle and Flux Density in the Damage Effect of Atomic Oxygen on Kapton Film. Polymers. 2022; 14(24):5444. https://doi.org/10.3390/polym14245444
Chicago/Turabian StyleZhao, Wang, Qiang Wei, Chuanjin Huang, Yaoshun Zhu, and Ning Hu. 2022. "Dependence of Incidence Angle and Flux Density in the Damage Effect of Atomic Oxygen on Kapton Film" Polymers 14, no. 24: 5444. https://doi.org/10.3390/polym14245444
APA StyleZhao, W., Wei, Q., Huang, C., Zhu, Y., & Hu, N. (2022). Dependence of Incidence Angle and Flux Density in the Damage Effect of Atomic Oxygen on Kapton Film. Polymers, 14(24), 5444. https://doi.org/10.3390/polym14245444

