Temperature-Dependent Polymorphism and Phase Transformation of Friction Transferred PLLA Thin Films
Abstract
1. Introduction
2. Experimental Section
2.1. Sample
2.2. Characterization
2.2.1. Polarized Optical Microscopy
2.2.2. Scanning Electron Microscopy
2.2.3. Differential Scanning Calorimetry
2.2.4. Fourier Transform Infrared Spectroscopy
2.2.5. Synchrotron Radiation 2-Dimensional-Wide Angle X-Ray Diffraction (Sr-2D WAXD)
3. Results and Discussion
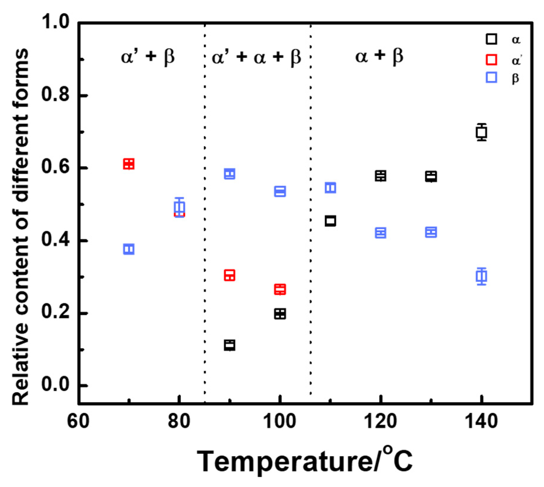
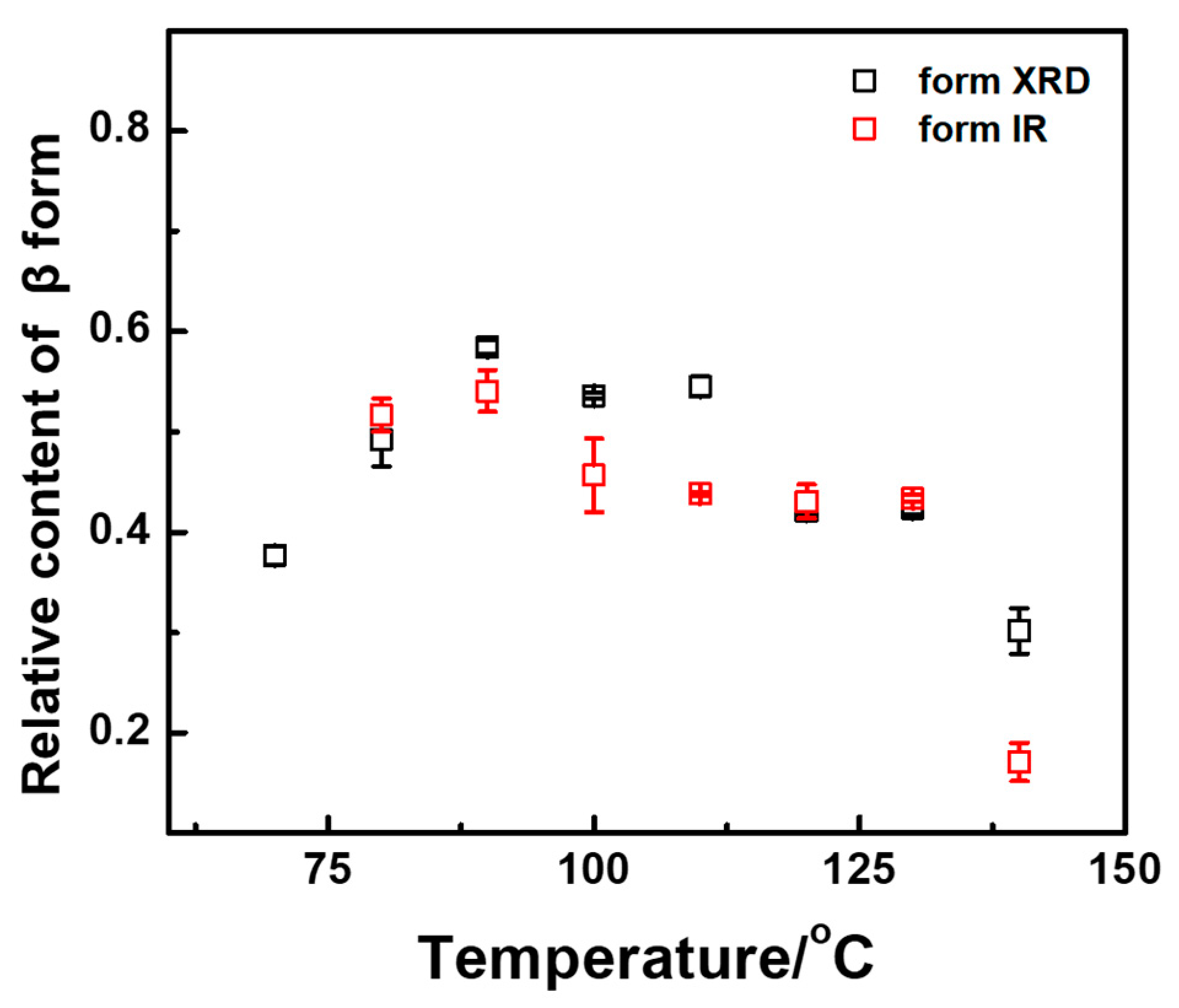
3.1. Temperature Dependence of Friction Transferred PLLA Polymorphous Crystal Structure
3.2. Thermal-Induced Phase Transition of PLLA Friction Transferred at 100 °C
3.3. Acetone-Induced Phase Transition of PLLA Friction Transferred at 100 °C
4. Conclusions
Author Contributions
Funding
Institutional Review Board Statement
Informed Consent Statement
Data Availability Statement
Conflicts of Interest
References
- Auras, R.A. Biodegradation. In Poly(Lactic Acid): Synthesis, Structures, Properties, Processing, and Applications, 1st ed.; Lim, L.T., Selke, S.E.M., Tsuji, H., Eds.; John Wiley & Sons, Inc.: Hoboken, NJ, USA, 2010; Chapter 25; pp. 423–430. [Google Scholar]
- Kabasci, S. Poly(Lactic Acid). In Bio-Based Plastics: Materials and Applications, 1st ed.; Tsuji, H., Ed.; John Wiley & Sons, Ltd.: London, UK, 2014; Chapter 8; pp. 171–240. [Google Scholar]
- Ikada, Y.; Tsuji, H. Biodegradable Polyesters for Medical and Ecological Applications. Macromol. Rapid Commun. 2000, 21, 117–132. [Google Scholar] [CrossRef]
- Dorgan, J.R.; Lehermeier, H.J.; Palade, L.-I.; Cicero, J. Polylactides: Properties and Prospects of an Environmentally Benign Plastic from Renewable Resources. Macromol. Symp. 2001, 175, 55–66. [Google Scholar] [CrossRef]
- Benicewicz, B.C.; Hopper, P.K. Review: Polymers for Absorbable Surgical Sutures—Part I. J. Bioact. Compat. Polym. 1990, 5, 453–472. [Google Scholar] [CrossRef]
- Ouchi, T.; Ohya, Y. Design of Lactide Copolymers as Biomaterials. J. Polym. Sci. Part A Polym. Chem. 2004, 42, 453–462. [Google Scholar] [CrossRef]
- Auras, R.; Harte, B.; Selke, S. An Overview of Polylactides as Packaging Materials. Macromol. Biosci. 2004, 4, 835–864. [Google Scholar] [CrossRef]
- Hyon, S.-H.; Jin, F.; Jamshidi, K.; Tsutsumi, S.; Kanamoto, T. Biodegradable Ultra High Strength Poly(L-Lactide) Rods for Bone Fixation. Macromol. Symp. 2003, 197, 355–368. [Google Scholar] [CrossRef]
- Garlotta, D. A Literature Review of Poly(Lactic Acid). J. Polym. Environ. 2001, 9, 63–84. [Google Scholar] [CrossRef]
- Migliaresi, C.; De Lollis, A.; Fambri, L.; Cohn, D. The Effect of Thermal History on the Crystallinity of Different Molecular Weight PLLA Biodegradable Polymers. Clin. Mater. 1991, 8, 111–118. [Google Scholar] [CrossRef]
- Perego, G.; Cella, G.D.; Bastioli, C. Effect of Molecular Weight and Crystallinity on Poly(Lactic Acid) Mechanical Properties. J. Appl. Polym. Sci. 1996, 59, 37–43. [Google Scholar] [CrossRef]
- Tashiro, K. Structural Science of Crystalline Polymers: Basic Concepts and Practices, 1st ed.; Springer Nature: Singapore, 2022; pp. 1–5. [Google Scholar]
- Saeidlou, S.; Huneault, M.A.; Li, H.; Park, C.B. Poly(Lactic Acid) Crystallization. Prog. Polym. Sci. 2012, 37, 1657–1677. [Google Scholar] [CrossRef]
- Tashiro, K.; Kouno, N.; Wang, H.; Tsuji, H. Crystal Structure of Poly(Lactic Acid) Stereocomplex: Random Packing Model of PDLA and PLLA Chains as Studied by X-ray Diffraction Analysis. Macromolecules 2017, 50, 8048–8065. [Google Scholar] [CrossRef]
- Wasanasuk, K.; Tashiro, K. Structural Regularization in the Crystallization Process from the Glass or Melt of Poly(L-lactic Acid) Viewed from the Temperature-Dependent and Time-Resolved Measurements of FTIR and Wide-Angle/Small-Angle X-ray Scatterings. Macromolecules 2011, 44, 9650–9660. [Google Scholar] [CrossRef]
- Di Lorenzo, M.L.; Cocca, M.; Malinconico, M. Crystal Polymorphism Of Poly(L-Lactic Acid) and its Influence on Thermal Properties. Thermochim. Acta 2011, 522, 110–117. [Google Scholar] [CrossRef]
- Stoclet, G.; Seguela, R.; Lefebvre, J.M.; Rochas, C. New Insights on the Strain-Induced Mesophase of Poly(D,L-lactide): In Situ WAXS and DSC Study of the Thermo-Mechanical Stability. Macromolecules 2010, 43, 7228–7237. [Google Scholar] [CrossRef]
- Zhang, J.; Duan, Y.; Domb, A.J.; Ozaki, Y. PLLA Mesophase and its Phase Transition Behavior in the PLLA−PEG−PLLA Copolymer as Revealed by Infrared Spectroscopy. Macromolecules 2010, 43, 4240–4246. [Google Scholar] [CrossRef]
- Zhang, J.; Tashiro, K.; Tsuji, H.; Domb, A.J. Disorder-to-Order Phase Transition and Multiple Melting Behavior of Poly(L-Lactide) Investigated by Simultaneous Measurements of WAXD and DSC. Macromolecules 2008, 41, 1352–1357. [Google Scholar] [CrossRef]
- Yasuniwa, M.; Sakamo, K.; Ono, Y.; Kawahara, W. Melting Behavior of Poly(L-Lactic Acid): X-ray and DSC Analyses of the Melting Process. Polymer 2008, 49, 1943–1951. [Google Scholar] [CrossRef]
- De Santis, P.; Kovacs, A.J. Molecular Conformation of Poly(L-Lactic Acid). Biopolymers 1968, 6, 299–306. [Google Scholar] [CrossRef]
- Kobayashi, J.; Asahi, T.; Ichiki, M.; Oikawa, A.; Suzuki, H.; Watanabe, T.; Fukada, E.; Shikinami, Y. Structural and Optical Properties of Poly Lactic Acids. J. Appl. Phys. 1995, 77, 2957–2973. [Google Scholar] [CrossRef]
- Alemán, C.; Lotz, B.; Puiggali, J. Crystal Structure of the α-Form of Poly(L-Lactide). Macromolecules 2001, 34, 4795–4801. [Google Scholar] [CrossRef]
- Wasanasuk, K.; Tashiro, K.; Hanesaka, M.; Ohhara, T.; Kurihara, K.; Kuroki, R.; Tamada, T.; Ozeki, T.; Kanamoto, T. Crystal Structure Analysis of Poly(L-Lactic Acid) α-Form on the Basis of the 2-Dimensional Wide-Angle Synchrotron X-ray and Neutron Diffraction Measurements. Macromolecules 2011, 44, 6441–6452. [Google Scholar] [CrossRef]
- Brant, D.A.; Tonelli, A.E.; Flory, P.J. The Configurational Statistics of Random Poly(Lactic Acid) Chains. II. Theory. Macromolecules 1969, 2, 228–235. [Google Scholar] [CrossRef]
- Wasanasuk, K.; Tashiro, K. Crystal Structure and Disorder in Poly(L-Lactic Acid) δ-Form (α′ -form) and the Phase Transition Mechanism to the Ordered α-Form. Polymer 2011, 52, 6097–6109. [Google Scholar] [CrossRef]
- Di Lorenzo, M.L. Crystallization Behavior of Poly(L-Lactic Acid). Eur. Polym. J. 2005, 41, 569–575. [Google Scholar] [CrossRef]
- Zhang, J.; Tashiro, K.; Domb, A.J.; Tsuji, H. Confirmation of Disorder α-Form of Poly(L-Lactic Acid) by the X-ray Fiber Pattern and Polarized IR/Raman Spectra Measured for Uniaxially-Oriented Samples. Macromol. Symp. 2006, 242, 274–278. [Google Scholar] [CrossRef]
- Kawai, T.; Rahman, N.; Matsuba, G.; Nishida, K.; Kanaya, T.; Nakano, M.; Okamoto, H.; Kawada, J.; Usuki, A.; Honma, N.; et al. Crystallization and Melting Behavior of Poly (L-Lactic Acid). Macromolecules 2007, 40, 9463–9469. [Google Scholar] [CrossRef]
- Zhang, J.; Li, C.; Duan, Y.; Domb, A.J.; Ozaki, Y. Glass Transition and Disorder-to-Order Phase Transition Behavior of Poly(L-Lactic Acid) Revealed by Infrared Spectroscopy. Vib. Spectrosc. 2010, 53, 307–310. [Google Scholar] [CrossRef]
- Cho, T.-Y.; Strobl, G. Temperature Dependent Variations in the Lamellar Structure of Poly(L-Lactide). Polymer 2006, 47, 1036–1043. [Google Scholar] [CrossRef]
- Chen, X.; Han, L.; Zhang, T.; Zhang, J. Influence of Crystal Polymorphism on Crystallinity Calculation of Poly(L-Lactic Acid) by Infrared Spectroscopy. Vib. Spectrosc. 2014, 70, 1–5. [Google Scholar] [CrossRef]
- Takahashi, K.; Sawai, D.; Yokoyama, T.; Kanamoto, T.; Hyon, S.-H. Crystal Transformation from the α- to the β-Form upon Tensile Drawing of Poly(L-Lactic Acid). Polymer 2004, 45, 4969–4976. [Google Scholar] [CrossRef]
- Hoogsteen, W.; Postema, A.R.; Pennings, A.J.; Ten Brinke, G.; Zugenmaier, P. Crystal Structure, Conformation and Morphology of Solution-Spun Poly(L-Lactide) Fibers. Macromolecules 1990, 23, 634–642. [Google Scholar] [CrossRef]
- Sawai, D.; Yokoyama, T.; Kanamoto, T.; Sungil, M.; Hyon, S.-H.; Myasnikova, L.P. Crystal Transformation and Development of Tensile Properties upon Drawing of Poly(L-Lactic Acid) by Solid-State Coextrusion: Effects of Molecular Weight. Macromol. Symp. 2006, 242, 93–103. [Google Scholar] [CrossRef]
- Ru, J.F.; Yang, S.G.; Zhou, D.; Yin, H.M.; Lei, J.; Li, Z.M. Dominant β-form of poly (l-lactic acid) obtained directly from melt under shear and pressure fields. Macromolecules 2016, 49, 3826–3837. [Google Scholar] [CrossRef]
- Lotz, B.A. Single Crystals of the Frustrated β-Phase and Genesis of the Disordered α′-Phase of Poly(L-Lactic Acid). ACS Macro Lett. 2015, 4, 602–605. [Google Scholar] [CrossRef]
- Xie, Q.; Bao, J.; Shan, G.; Bao, Y.; Pan, P. Fractional Crystallization Kinetics and Formation of Metastable β-Form Homocrystals in Poly(L-Lactic Acid)/Poly(D-Lactic Acid) Racemic Blends Induced by Precedingly Formed Stereocomplexes. Macromolecules 2019, 52, 4655–4665. [Google Scholar] [CrossRef]
- Bao, J.; Chang, X.; Xie, Q.; Yu, C.; Shan, G.; Bao, Y.; Pan, P. Preferential Formation of β-Form Crystals and Temperature-Dependent Polymorphic Structure in Supramolecular Poly(L-Lactic Acid) Bonded by Multiple Hydrogen Bonds. Macromolecules 2017, 50, 8619–8630. [Google Scholar] [CrossRef]
- Wang, H.; Zhang, J.; Tashiro, K. Phase Transition Mechanism of Poly(L-Lactic Acid) among the α-, δ-, and β-Forms on the Basis of the Reinvestigated Crystal Structure of the β Form. Macromolecules 2017, 50, 3285–3300. [Google Scholar] [CrossRef]
- Li, Y.; Wang, S.; Zhang, H.; Hu, J.; Liu, Q.; Xin, R.; Song, C.; Yan, S. Structure Evolution of Oriented Poly(L-Lactic Acid) Ultrathin Films during Deformation. Macromolecules 2022, 55, 6633–6643. [Google Scholar] [CrossRef]
- Fakirov, S. Oriented Polymer Materials, 1st ed.; Wiley-VCH: Weinheim, Germany, 2010; Chapter 1; pp. 1–36. [Google Scholar]
- Peterlin, A. Drawing and Extrusion of Semi-Crystalline Polymers. Colloid Polym. Sci. 1987, 265, 357–382. [Google Scholar]
- Drumright, R.E.; Gruber, P.R.; Henton, D.E. Polylactic Acid Technology. Adv. Mater. 2000, 12, 1841–1846. [Google Scholar] [CrossRef]
- Hu, J.; Xin, R.; Hou, C.; Yan, S. Preparation and Self-Repairing of Highly Oriented Structures of Ultrathin Polymer Films. Chem. Phys. 2019, 220, 1800478. [Google Scholar] [CrossRef]
- Larrañaga, A.; Lizundia, E. Strain-Induced Crystallization. In Crystallization in Multiphase Polymer Systems; Thomas, S., Arif, P.M., Gowd, E.B., Kalarikkal, N., Eds.; Elsevier: Amsterdam, The Netherlands, 2018; Chapter 15; pp. 471–508. [Google Scholar]
- Cimrova, V.; Remmers, M.; Neher, D.; Wegner, G. Polarized Light Emission from LEDs Prepared by the Langmuir-Blodgett Technique. Wegner Adv. Mater. 1996, 8, 146–149. [Google Scholar] [CrossRef]
- Bolognesi, A.; Bajo, G.; Paloheimo, J.; Östergärd, T.; Stubb, H. Polarized Electroluminescence from an Oriented Poly (3-Alkylthiophene) Langmuir–Blodgett Structure. Adv. Mater. 1997, 9, 121–124. [Google Scholar] [CrossRef]
- Jandke, M.; Strohriegl, P.; Gmeiner, J.; Brütting, W.; Schwoerer, M. Polarized Electroluminescence from Rubbing-Aligned Poly(P-Phenylenevinylene). Adv. Mater. 1999, 11, 1518–1521. [Google Scholar] [CrossRef]
- Bolognesi, A.; Botta, C.; Facchinetti, D.; Jandke, M.; Kreger, K.; Strohriegl, P.; Relini, A.; Rolandi, R.; Blumstengel, S. Polarized Electroluminescence in Double-Layer Light-Emitting Diodes with Perpendicularly Oriented Polymers. Adv. Mater. 2001, 13, 1072–1075. [Google Scholar] [CrossRef]
- Godbert, N.; Burn, P.L.; Gilmour, S.; Markham, J.P.J.; Samuel, I.D.W. Polarized Organic Electroluminescence: Ordering from the Top. Phys. Lett. 2003, 83, 5347–5349. [Google Scholar] [CrossRef]
- Wittmann, J.C.; Smith, P. Highly Oriented Thin Films of Poly(Tetrafluoroethylene) as a Substrate for Oriented Growth of Materials. Nature 1991, 352, 414–417. [Google Scholar] [CrossRef]
- Nagamatsu, S.; Takashima, W.; Kaneto, K.; Yoshida, Y.; Tanigaki, N.; Yase, K.; Omote, K. Backbone Arrangement in “Friction-Transferred” Regioregular Poly(3-Alkylthiophene)s. Macromolecules 2003, 36, 5252–5257. [Google Scholar] [CrossRef]
- Misaki, M.; Ueda, Y.; Nagamatsu, S.; Yoshida, Y.; Tanigaki, N.; Yase, K. Formation of Single-Crystal-like Poly(9,9-Dioctylfluorene) Thin Film by the Friction-Transfer Technique with Subsequent Thermal Treatments. Macromolecules 2004, 37, 6926–6931. [Google Scholar] [CrossRef]
- Sawai, D.; Takahashi, K.; Sasashige, A.; Kanamoto, T.; Hyon, S.-H. Preparation of Oriented β-Form Poly(L-Lactic Acid) by Solid-State Coextrusion: Effect of Extrusion Variables. Macromolecules 2003, 36, 3601–3605. [Google Scholar] [CrossRef]
- Fang, H.; Zhang, Y.; Bai, J.; Wang, Z. Shear-Induced Nucleation and Morphological Evolution for Bimodal Long Chain Branched Polylactide. Macromolecules 2013, 46, 6555–6565. [Google Scholar] [CrossRef]
- Jariyasakoolroj, P.; Tashiro, K.; Wang, H.; Yamamoto, H.; Chinsirikul, W.; Kerddonfag, N.; Chirachanchai, S. Isotropically Small Crystalline Lamellae Induced by High Biaxial-Stretching Rate as a Key Microstructure for Super-Tough Polylactide Film. Polymer 2015, 68, 234–245. [Google Scholar] [CrossRef]
- Hu, J.; Wang, J.; Gowd, E.B.; Yuan, Y.; Zhang, T.; Duan, Y.; Hu, W.; Zhang, J. Small- and Wide-Angle X-Ray Scattering Study on α′-to-α Transition of Poly(L-Lactide Acid) Crystals. Polymer 2019, 167, 122–129. [Google Scholar] [CrossRef]
- Naga, N.; Yoshida, Y.; Inui, M.; Noguchi, K.; Murase, S. Crystallization of Amorphous Poly(Lactic Acid) Induced by Organic Solvents. J. Appl. Polym. Sci. 2011, 119, 2058–2064. [Google Scholar] [CrossRef]
- Wu, N.; Lang, S.; Zhang, H.; Ding, M.; Zhang, J. Solvent-Induced Crystallization Behaviors of PLLA Ultrathin Films Investigated by RAIR Spectroscopy and AFM Measurements. J. Phys. Chem. B 2014, 118, 12652–12659. [Google Scholar] [CrossRef]
- Zhang, J.; Tsuji, H.; Noda, I.; Ozaki, Y. Structural Changes and Crystallization Dynamics of Poly(L-Lactide) During the Cold-Crystallization Process Investigated by Infrared and Two-Dimensional Infrared Correlation Spectroscopy. Macromolecules 2004, 37, 6433–6439. [Google Scholar] [CrossRef]










| IR Frequencies (cm−1) | Polarization | Assignments | |||
|---|---|---|---|---|---|
| Amorphous | α’ | α | β | ||
| 1761 | 1759 | ⊥ | ν(C=O) | ||
| 1457 | 1457 | δas(CH3) | |||
| 1386 | ⊥ | δs(CH3) | |||
| 1370 | // | δs(CH3) + δ(CH) | |||
| 1360 | 1360 | ⊥ | |||
| 1213 | 1213 | / | νas(COC) + ras(CH3) | ||
| 1183 | 1183 | // | |||
| 1131 | 1134 | // | ras(CH3) | ||
| 1092 | 1092 | 1092 | // | νs(COC) | |
| 1046 | 1046 | 1045 | ν(C-CH3) | ||
| 955 | 957 | 957 | // | r(CH3) + ν(C-COO) | |
| 921 | 921 | 912 | ⊥ | ν(C-C) + r(CH3) | |
| 870 | 872 | 872 | ν(C-COO) | ||
| 757 | 757 | 757 | ⊥ | δ(C=O) | |
Publisher’s Note: MDPI stays neutral with regard to jurisdictional claims in published maps and institutional affiliations. |
© 2022 by the authors. Licensee MDPI, Basel, Switzerland. This article is an open access article distributed under the terms and conditions of the Creative Commons Attribution (CC BY) license (https://creativecommons.org/licenses/by/4.0/).
Share and Cite
Wu, J.; Chen, X.; Hu, J.; Yan, S.; Zhang, J. Temperature-Dependent Polymorphism and Phase Transformation of Friction Transferred PLLA Thin Films. Polymers 2022, 14, 5300. https://doi.org/10.3390/polym14235300
Wu J, Chen X, Hu J, Yan S, Zhang J. Temperature-Dependent Polymorphism and Phase Transformation of Friction Transferred PLLA Thin Films. Polymers. 2022; 14(23):5300. https://doi.org/10.3390/polym14235300
Chicago/Turabian StyleWu, Jinghua, Xing Chen, Jian Hu, Shouke Yan, and Jianming Zhang. 2022. "Temperature-Dependent Polymorphism and Phase Transformation of Friction Transferred PLLA Thin Films" Polymers 14, no. 23: 5300. https://doi.org/10.3390/polym14235300
APA StyleWu, J., Chen, X., Hu, J., Yan, S., & Zhang, J. (2022). Temperature-Dependent Polymorphism and Phase Transformation of Friction Transferred PLLA Thin Films. Polymers, 14(23), 5300. https://doi.org/10.3390/polym14235300

