Behavior of Hybrid Reinforced Concrete Bridge Decks under Static and Fatigue Loading
Abstract
1. Introduction
2. Materials and Methods
2.1. Test Setup and Instrumentation
2.2. Material Testing
3. Results
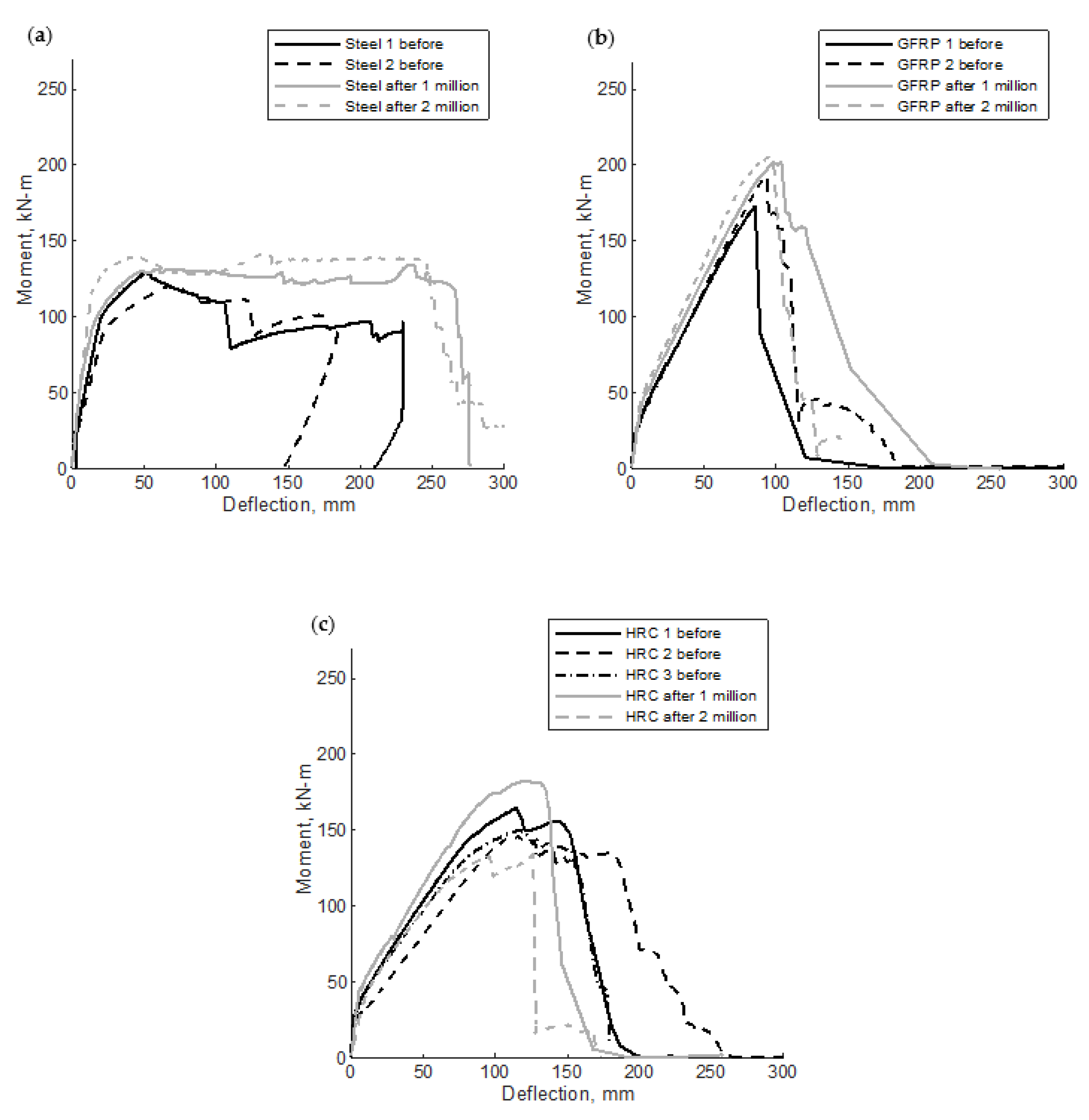
3.1. Testing Results
3.1.1. Material Testing Results
3.1.2. Static Load Testing Results
3.1.3. Fatigue Load Testing Results
3.1.4. Post-Fatigue Testing Results
3.2. Analytical Model Results
- = Ultimate residual strength of FRC
- = Residual flexural tensile strength at 2.5 mm
4. Discussion
4.1. Service Limit State
4.2. Ultimate Limit State
5. Conclusions
- All bridge deck specimens were acceptable for the live load deflection criteria established by AASHTO LRFD specification with an average deflection adequacy ratio (i.e., ) of 0.57.
- The steel reinforced decks outperformed both the GFRP and Hybrid decks with respect to the live load deflection with an average deflection adequacy ratio of 0.46 for the two specimens tested for one and two million cycles. This is attributed to the comparatively high stiffness of the steel. The Hybrid and GFRP deflections were similar under service loading conditions with an average deflection adequacy ratio of 0.67 and 0.59, respectively.
- All of the bridge decks performed well concerning the peak crack width. The average ratio of actual crack width to allowable crack width for steel, GFRP, and Hybrid specimens were 0.41, 0.33, and 0.52, respectively.
- In static flexure, the Hybrid decks deflected an average of 29% more than the GFRP decks for pre- and post-fatigue and 119% more than the steel reinforced decks pre- and post-fatigue.
- Although the steel reinforced decks demonstrated much more energy absorption after failure, the Hybrid decks also showed post-peak residual strength and ductility. The post-peak behavior of the GFRP is minimal due to the linear elastic behavior of the GFRP.
- A moment-curvature model can be created to calculate the flexural strength using the constitutive relationships of each material that predicts the pre- and post-fatigue static behavior for hybrid reinforced and discretely reinforced decks. The model created in this study predicts behavior with an average Mmeasured/MM-C ratio of 0.95 for all specimens.
- A lower-bound prediction can also be provided using Whitney’s stress block and neglecting contributions from the compression reinforcement. This simplified approach predicts behavior with an average Mmeasured/Msimple ratio of 1.09 for all specimens.
- The GFRP-reinforced deck sections experienced some bond loss as exhibited by the failure modes during fatigue loading. The same bond loss was not seen in the Hybrid or steel sections. This seems to indicate that the fibers in the Hybrid aided in the bond behavior of the GFRP bars during fatigue loading and may be a topic of future interest.
- The fatigue loading, while more severe than a deck with in-service boundary conditions, did not adversely affect the behavior of the deck sections in static flexure.
- The steel-reinforced decks experienced a tension-controlled failure, but the GFRP and Hybrid decks experienced a compression-controlled failure, which is consistent with the design approach of each deck type.
- By examining the decks in both static and cyclic behavior, it was determined that the Hybrid decks with discrete GFRP bars and alkali-resistant macrofibers are viable alternatives to steel-reinforced and GFRP-reinforced bridge decks for flexural behavior. Both the ultimate and service level behavior of each bridge deck type was adequate per the established AASHTO provisions, and the exceptional post-peak energy absorption demonstrated by the Hybrid adds ductility to previously elastic GFRP sections.
Supplementary Materials
Author Contributions
Funding
Institutional Review Board Statement
Data Availability Statement
Acknowledgments
Conflicts of Interest
References
- ACI 440R-15; ACI Committee 440 Guide for the Design and Construction of Structural Concrete Reinforced with Fiber-Reinforced Polymer Bars. American Concrete Institute: Farmington Hills, MI, USA, 2015.
- Bedard, C. Composite Reinforcing Bars: Assessing Their Use in Construction. Concr. Int. 1992, 14, 55–59. [Google Scholar]
- Benmokrane, B.; El-Salakawy, E.; El-Ragaby, A.; Lackey, T. Designing and Testing of Concrete Bridge Decks Reinforced with Glass FRP Bars. J. Bridg. Eng. 2006, 11, 217–229. [Google Scholar] [CrossRef]
- El-Salakawy, E.; Benmokrane, B.; El-Ragaby, A.; Nadeau, D. Field Investigation on the First Bridge Deck Slab Reinforced with Glass FRP Bars Constructed in Canada. J. Compos. Constr. 2005, 9, 470–479. [Google Scholar] [CrossRef]
- National Academies of Sciences Engineering and Medicine. Performance of Bridges That Received Funding Under the Innovative Bridge Research and Construction Program; The National Academies Press: Washington, DC, USA, 2019; ISBN 978-0-309-48864-8. [Google Scholar]
- American Society of Civil Engineers. 2017 Infrastructure Report Card; ASCE: Reston, VA, USA, 2017. [Google Scholar]
- Koch, G.H.; Brongers, M.P.H.; Thompson, N.G.; Virmani, Y.P.; Payer, J.H. Corrosion Cost and Preventive Strategies in the United States; Federal Highway Administration: Washington, DC, USA, 2002. [Google Scholar]
- Bhargava, K.; Ghosh, A.K.; Mori, Y.; Ramanujam, S. Analytical Model for Time to Cover Cracking in RC Structures Due to Rebar Corrosion. Nucl. Eng. Des. 2006, 236, 1123–1139. [Google Scholar] [CrossRef]
- Lundgren, K. Modelling the Effect of Corrosion on Bond in Reinforced Concrete. Mag. Concr. Res. 2002, 54, 165–173. [Google Scholar] [CrossRef]
- Zhao, Y.; Ren, H.; Dai, H.; Jin, W. Composition and Expansion Coefficient of Rust Based on X-Ray Diffraction and Thermal Analysis. Corros. Sci. 2011, 53, 1646–1658. [Google Scholar] [CrossRef]
- Nanni, A. Flexural Behavior and Design of RC Members Using FRP Reinforcement. J. Struct. Eng. 1993, 119, 3344–3359. [Google Scholar] [CrossRef]
- Abdelkarim, O.I.; Ahmed, E.A.; Mohamed, H.M.; Benmokrane, B. Flexural Strength and Serviceability Evaluation of Concrete Beams Reinforced with Deformed GFRP Bars. Eng. Struct. 2019, 186, 282–296. [Google Scholar] [CrossRef]
- Benmokrane, B.; Masmoudi, R.; Chaallal, O. Flexural Response of Concrete Beams Reinforced with FRP Reinforcing Bars. Struct. J. 1996, 93, 46–55. [Google Scholar] [CrossRef]
- Michaluk, C.R.; Tadros, G.; Benmokrane, B.; Rizkalla, S.H. Flexural Behavior of One-Way Concrete Slabs Reinforced by Fiber Reinforced Plastic Reinforcements. Struct. J. 1998, 95, 353–365. [Google Scholar] [CrossRef]
- Wang, H.; Belarbi, A. Ductility Characteristics of Fiber-Reinforced-Concrete Beams Reinforced with FRP Rebars. Constr. Build. Mater. 2011, 25, 2391–2401. [Google Scholar] [CrossRef]
- Mobasher, B.; Yao, Y.; Soranakom, C. Analytical Solutions for Flexural Design of Hybrid Steel Fiber Reinforced Concrete Beams. Eng. Struct. 2015, 100, 164–177. [Google Scholar] [CrossRef]
- Mufti, A.A.; Jaeger, L.G.; Bakht, B.; Wegner, L.D. Experimental Investigation of Fibre-Reinforced Concrete Deck Slabs without Internal Steel Reinforcement. Can. J. Civ. Eng. 1993, 20, 398–406. [Google Scholar] [CrossRef]
- Alsayed, S.H.; Alhozaimy, A.M. Ductility of Concrete Beams Reinforced with FRP Bars and Steel Fibers. J. Compos. Mater. 1999, 33, 1792–1806. [Google Scholar] [CrossRef]
- Salem, A.; El Aghoury, I.; Sayed-Ahmed, E.; Moustafa, T. Composite Steel-Free Deck Bridges: Numerical Modelling and Pilot Parametric Study. Can. J. Civ. Eng. 2002, 29, 662–678. [Google Scholar] [CrossRef]
- Issa, M.S.; Metwally, I.M.; Elzeiny, S.M. Influence of Fibers on Flexural Behavior and Ductility of Concrete Beams Reinforced with GFRP Rebars. Eng. Struct. 2011, 33, 1754–1763. [Google Scholar] [CrossRef]
- Yang, J.-M.; Min, K.-H.; Shin, H.-O.; Yoon, Y.-S. Effect of Steel and Synthetic Fibers on Flexural Behavior of High-Strength Concrete Beams Reinforced with FRP Bars. Compos. Part B Eng. 2012, 43, 1077–1086. [Google Scholar] [CrossRef]
- Barros, J.A.O.; Taheri, M.; Salehian, H. A Model to Simulate the Moment–Rotation and Crack Width of FRC Members Reinforced with Longitudinal Bars. Eng. Struct. 2015, 100, 43–56. [Google Scholar] [CrossRef]
- Taheri, M.; Barros, J.A.O.; Salehian, H. A Design Model for Strain-Softening and Strain-Hardening Fiber Reinforced Elements Reinforced Longitudinally with Steel and FRP Bars. Compos. Part B Eng. 2011, 42, 1630–1640. [Google Scholar] [CrossRef]
- Barros, J.; Santos, S.; Lourenco, L.; Goncalvez, D. Flexural Behaviour of Steel Fibre Reinforced Self-Compacting Concrete Laminar Structures. In Proceedings of the 1st Spanish Congress on Selfcompacting Concrete, Valencia, Spain, 18–19 February 2008; Barragán, B., Pacios, A.S.P., Eds.; pp. 567–578. [Google Scholar]
- Dupont, D. Modelling and Experimental Validation of the Constitutive Law and Cracking Behaviour of Steel Fibre Reinforced Concrete. Ph.D. Thesis, Catholic University of Leuven, Heverlee, Belgium, 2003. [Google Scholar]
- Barros, J.A.O.; Fortes, A.S. Flexural Strengthening of Concrete Beams with CFRP Laminates Bonded into Slits. Cem. Concr. Compos. 2005, 27, 471–480. [Google Scholar] [CrossRef]
- Abed, F.; Alhafiz, A.R. Effect of Basalt Fibers on the Flexural Behavior of Concrete Beams Reinforced with BFRP Bars. Compos. Struct. 2019, 215, 23–34. [Google Scholar] [CrossRef]
- National Research Council. Life Prediction Methodologies for Composite Materials; National Research Council: Washington, DC, USA, 1991. [Google Scholar]
- Porter, M.L.; Hughes, B.W.; Barnes, B.A.; Viswanath, K.P. Non-Corrosive Tie Reinforcing and Dowel Bars for Highway Pavement Slabs; Final Report; The National Academies of Sciences, Engineering, and Medicine: Washington, DC, USA, 1993. [Google Scholar]
- Kumar, S.V.; GangaRao, H.V.S. Fatigue Response of Concrete Decks Reinforced with FRP Rebars. J. Struct. Eng. 1998, 124, 11–16. [Google Scholar] [CrossRef]
- Gopalaratnam, V.S.; Meyer, J.; De Young, K.; Belarbi, A.; Wang, H. Steel-Free Hybrid Reinforcement System for Concrete Bridge Decks, Phase 1; Department of Transportation: Lee’s Summit, MO, USA, 2006. [Google Scholar]
- Klowak, C.; Memon, A.; Mufti, A. Static and Fatigue Investigation of Second Generation Steel-Free Bridge Decks. Cem. Concr. Compos. 2006, 28, 890–897. [Google Scholar] [CrossRef]
- El-Ragaby, A.; El-Salakawy, E.; Benmokrane, B. Fatigue Life Evaluation of Concrete Bridge Deck Slabs Reinforced with Glass FRP Composite Bars. J. Compos. Constr. 2007, 11, 258–268. [Google Scholar] [CrossRef]
- Sivagamasundari, R.; Kumaran, G. A Comparative Study on the Flexural Behaviour of One-Way Concrete Slabs Reinforced with GFRP Reinforcements and Conventional Reinforcements When Subjected to Monotonic and Repeated Loading. Open Civ. Eng. J. 2008, 2, 24–34. [Google Scholar] [CrossRef]
- Carvelli, V.; Pisani, M.A.; Poggi, C. Fatigue Behaviour of Concrete Bridge Deck Slabs Reinforced with GFRP Bars. Compos. Part B Eng. 2010, 41, 560–567. [Google Scholar] [CrossRef]
- Richardson, P.; Nelson, M.; Fam, A. Fatigue Behavior of Concrete Bridge Decks Cast on GFRP Stay-in-Place Structural Forms. J. Compos. Constr. 2014, 18, A4013010. [Google Scholar] [CrossRef]
- Yost, J.; Dinehart, D.; Gross, S.; Reilly, P.; Reichmann, D. Fatigue Behavior of GFRP and Steel Reinforced Bridge Decks Designed Using Traditional and Empirical Methodologies. Bridg. Struct. 2015, 11, 87–94. [Google Scholar] [CrossRef]
- You, Y.-J.; Kim, J.-H.J.; Park, Y.-H.; Choi, J.-H. Fatigue Performance of Bridge Deck Reinforced with Cost-to-Performance Optimized GFRP Rebar with 900 MPa Guaranteed Tensile Strength. J. Adv. Concr. Technol. 2015, 13, 252–262. [Google Scholar] [CrossRef]
- AASHTO. AASHTO LRFD Bridge Design Specifications; American Association of State Highway and Transportation Officials: Washington, DC, USA, 2018. [Google Scholar]
- AASHTO. AASHTO LRFD Bridge Design Guide Specifications for GFRP-Reinforced Concrete; American Association of State Highway and Transportation Officials: Washington, DC, USA, 2018. [Google Scholar]
- Florida DOT. LRFD Design Example #1: Prestressed Precast Concrete Beam Bridge Design; Florida Department of Transportation: Tallahasse, FL, USA, 2011; p. 347. [Google Scholar]
- ACI 544.4R-18; ACI Committee 544 Guide to Design with Fiber-Reinforced Concrete. American Concrete Institute: Farmington Hills, MI, USA, 2018.
- CI 544.1R-96; ACI Committee 544 Report on Fiber Reinforced Concrete (Reapproved 2009). American Concrete Institute: Farmington Hills, MI, USA, 2009.
- McRory, J.W.; Pozo-Lora, F.F.; Benson, Z.; Maguire, M. Structural Fiber Reinforcement to Reduce Deck Reinforcement and Improve Long-Term Performance MPC-20-413; Mountain-Plains Consortium: Fargo, ND, USA, 2020. [Google Scholar]
- C39/C39M-18; Standard Test Method for Compressive Strength of Cylindrical Concrete Specimens. ASTM International: West Conshohocken, PA, USA, 2018.
- ASTM C469/C469M; Standard Test Method for Static Modulus of Elasticity and Poisson’s Ratio of Concrete in Compression. ASTM International: West Conshohocken, PA, USA, 2014.
- ASTM C496/C496M-17; Standard Test Method for Splitting Tensile Strength of Cylindrical Concrete Specimens. ASTM International: West Conshohocken, PA, USA, 2017; ISBN 5919881100.
- ASTM A370-18; Standard Test Methods and Definitions for Mechanical Testing of Steel Products. ASTM International: West Conshohocken, PA, USA, 2018; 50.
- ASTM D7205; Standard Test Method for Tensile Properties of Fiber Reinforced Polymer Matrix Composite Bars. ASTM International: West Conshohocken, PA, USA, 2016.
- EN 14651; Test Method for Metallic Fibre Concrete—Measuring the Flexural Tensile Strength. Slovenski Inštitut za Standardizacijo: Ljubljana, Slovenia, 2005.
- FIB—Federation Internationale du Beton. CEB-FIB Fib Model Code for Concrete Structures; Wiley: Hoboken, NJ, USA, 2013. [Google Scholar]
- Batchelor, B.D.; Hewitt, B.E.; Csagoly, P. An Investigation of the Fatigue Strength of Deck Slabs of Composite Steel/Concrete Bridges. Transp. Res. Rec. 1978, 664, 153–161. [Google Scholar]
- Graddy, J.C.; Kim, J.; Whitt, J.H.; Burns, N.H.; Klingner, R.E. Punching-Shear Behavior of Bridge Decks under Fatigue Loading. Struct. J. 2002, 99, 257–266. [Google Scholar]
- Natário, F.; Fernández Ruiz, M.; Muttoni, A. Experimental Investigation on Fatigue of Concrete Cantilever Bridge Deck Slabs Subjected to Concentrated Loads. Eng. Struct. 2015, 89, 191–203. [Google Scholar] [CrossRef][Green Version]
- Hognestad, E. A Study of Combined Bending and Axial Load in Reinforced Concrete Members. J. Proc. 1951, 61, 345–350. [Google Scholar] [CrossRef]
- Kent, D.C.; Park, R. Flexural Members with Confined Concrete. J. Struct. Div. 1971, 97, 1969–1990. [Google Scholar] [CrossRef]
- California Department of Transportation. Caltrans Seismic Design Criteria Version 2.0; California Department of Transportation: Sacramento, CA, USA, 2019.
- Shwani, M.; Tawadrous, R.; Maguire, M. Ductility of Concrete Members Reinforced with Welded Wire Reinforcement (WWR). Eng. Struct. 2019, 191, 711–723. [Google Scholar] [CrossRef]










| Deck Type | Transverse Reinforcement | Distribution Reinforcement |
|---|---|---|
| Steel | #16 Bars at 150 mm O.C. | #16 Bars at 200 mm O.C. |
| GFRP | #19 Bars at 150 mm O.C. | #19 Bars at 230 mm O.C. |
| Hybrid | #19 Bars at 200 mm O.C. 8.90 kg/m3 of fibers | #19 Bars at 330 mm O.C. 8.90 kg/m3 of fibers |
| Deck Reinforcement Type | Specimen ID | Static Loading Configuration | Fatigue Loading Configuration |
|---|---|---|---|
| Steel | Steel 1 | 4-point | - |
| Steel 2 | 4-point | - | |
| Steel 1 million | 3-point * | 4-point | |
| Steel 2 million | 3-point * | 4-point | |
| GFRP | GFRP 1 | 4-point | - |
| GFRP 2 | 3-point | - | |
| GFRP 1 million | 3-point * | 4-point | |
| GFRP 2 million | 3-point * | 4-point | |
| Hybrid | Hybrid 1 | 4-point | - |
| Hybrid 2 | 4-point | - | |
| Hybrid 3 | 3-point | - | |
| Hybrid 1 million | 3-point * | 4-point | |
| Hybrid 2 million | 3-point * | 4-point |
| Concrete Batch | Days after Pour | Compressive Strength (f’c), MPa | Modulus of Elasticity (E), MPa | Splitting Tensile Strength (fr), MPa |
|---|---|---|---|---|
| Steel | ||||
| Static | 77 | 37.0 | 32,850 | 4.1 |
| Fatigue | 188 | 37.5 | 36,290 | 4.5 |
| GFRP | ||||
| Static | 141 | 46.5 | 44,000 | 5.2 |
| Fatigue | 236 | 51.0 | 44,815 | 5.3 |
| Hybrid set #1 | ||||
| Static a | 247 | 43.7 | 37,335 | N/A |
| Fatigue b | 398 | 48.5 | 37,230 | N/A |
| Hybrid set #2 | ||||
| Static c | 142 | 40.5 | 35,680 | N/A |
| Fatigue d | 142 | 40.5 | 35,680 | N/A |
| Residual Flexural Tensile Stress of FRC, MPa | |||||
|---|---|---|---|---|---|
| Hybrid Batch | |||||
| Set #1 | 5.50 | 1.95 | 1.53 | 1.12 | 0.65 |
| Set #2 | 4.80 | 3.50 | 2.09 | 1.40 | 0.75 |
| Property | Mean Value | COV |
|---|---|---|
| Steel | ||
| Modulus of elasticity, | 221.3 GPa | 0.088 |
| Yield stress, | 489.0 MPa | 0.003 |
| Tensile strength, | 793.0 MPa | 0.004 |
| Yield strain, | 0.29% | 0.100 |
| Strain hardening onset, | 0.44% | 0.190 |
| Peak strain, | 6.80% | 0.070 |
| Rupture strain, | 13.80% | 0.100 |
| GFRP | ||
| Modulus of elasticity, | 56.5 GPa | 0.160 |
| Tensile strength, | 825 MPa | 0.070 |
| Rupture strain, | 1.45% | 0.110 |
| Deck Type | Mmeasured, (kN-m) | Predicted Msimple, (kN-m) | Predicted MM-C, (kN-m) | Mmeasured/Msimple Ratio | Mmeasured/MM-C Ratio |
|---|---|---|---|---|---|
| Steel 1 | 129.5 | 111.9 | 134.5 | 1.16 | 0.96 |
| Steel 2 | 120.4 | 111.9 | 134.5 | 1.08 | 0.90 |
| GFRP 1 | 172.7 | 180.7 | 196.1 | 0.96 | 0.88 |
| GFRP 2 | 192.5 | 180.7 | 196.1 | 1.07 | 0.98 |
| Hybrid 1 | 164.3 | 145.9 | 169.5 | 1.13 | 0.97 |
| Hybrid 2 | 146.0 | 145.9 | 169.5 | 1.00 | 0.86 |
| Hybrid 3 | 150.2 | 142.2 | 163.6 | 1.06 | 0.92 |
| Steel 1 million | 131.4 | 111.9 | 134.6 | 1.17 | 0.98 |
| Steel 2 million | 139.4 | 111.9 | 134.6 | 1.25 | 1.04 |
| GFRP 1 million | 201.9 | 186.5 | 206.5 | 1.08 | 0.98 |
| GFRP 2 million | 205.7 | 186.5 | 206.5 | 1.10 | 0.996 |
| Hybrid 1 million | 182.4 | 149.1 | 180.2 | 1.22 | 1.01 |
| Hybrid 2 million | 134.2 | 142.2 | 163.6 | 0.94 | 0.82 |
| Average | 1.09 | 0.95 |
| Deck Type | Cycle Count | ||
|---|---|---|---|
| Steel | 1 Million | 2.0 | 0.52 |
| 2 Million | 1.5 | 0.39 | |
| GFRP | 1 Million | 2.5 | 0.66 |
| 2 Million | 2.0 | 0.52 | |
| Hybrid | 1 Million | 2.5 | 0.66 |
| 2 Million | 2.6 | 0.68 | |
| Average | 0.57 |
| Deck Type | Cycle Count | Peak Crack Width, (mm) | |
|---|---|---|---|
| Steel | 1 Million | 0.14 | 0.35 |
| 2 Million | 0.20 | 0.47 | |
| GFRP | 1 Million | 0.29 | 0.39 |
| 2 Million | 0.19 | 0.26 | |
| Hybrid | 1 Million | 0.36 | 0.50 |
| 2 Million | 0.37 | 0.54 | |
| Average | 0.42 |
| Deck Type | Measured Deflection at Failure (mm) | ||
|---|---|---|---|
| Pre-Fatigue | After 1 Million Cycles | After 2 Million Cycles | |
| Steel | 59.6 | 66.5 | 45.5 |
| GFRP | 89.0 | 98.3 | 95.3 |
| Hybrid | 115.9 | 122.9 | 126.0 |
Publisher’s Note: MDPI stays neutral with regard to jurisdictional claims in published maps and institutional affiliations. |
© 2022 by the authors. Licensee MDPI, Basel, Switzerland. This article is an open access article distributed under the terms and conditions of the Creative Commons Attribution (CC BY) license (https://creativecommons.org/licenses/by/4.0/).
Share and Cite
McRory, J.W.; Pozo-Lora, F.F.; Benson, Z.; Tawadrous, R.; Maguire, M. Behavior of Hybrid Reinforced Concrete Bridge Decks under Static and Fatigue Loading. Polymers 2022, 14, 5153. https://doi.org/10.3390/polym14235153
McRory JW, Pozo-Lora FF, Benson Z, Tawadrous R, Maguire M. Behavior of Hybrid Reinforced Concrete Bridge Decks under Static and Fatigue Loading. Polymers. 2022; 14(23):5153. https://doi.org/10.3390/polym14235153
Chicago/Turabian StyleMcRory, Jared W., Fray F. Pozo-Lora, Zachary Benson, Raed Tawadrous, and Marc Maguire. 2022. "Behavior of Hybrid Reinforced Concrete Bridge Decks under Static and Fatigue Loading" Polymers 14, no. 23: 5153. https://doi.org/10.3390/polym14235153
APA StyleMcRory, J. W., Pozo-Lora, F. F., Benson, Z., Tawadrous, R., & Maguire, M. (2022). Behavior of Hybrid Reinforced Concrete Bridge Decks under Static and Fatigue Loading. Polymers, 14(23), 5153. https://doi.org/10.3390/polym14235153

