Influence of Initiator Concentration on the Polymerization Course of Methacrylate Bone Cement
Abstract
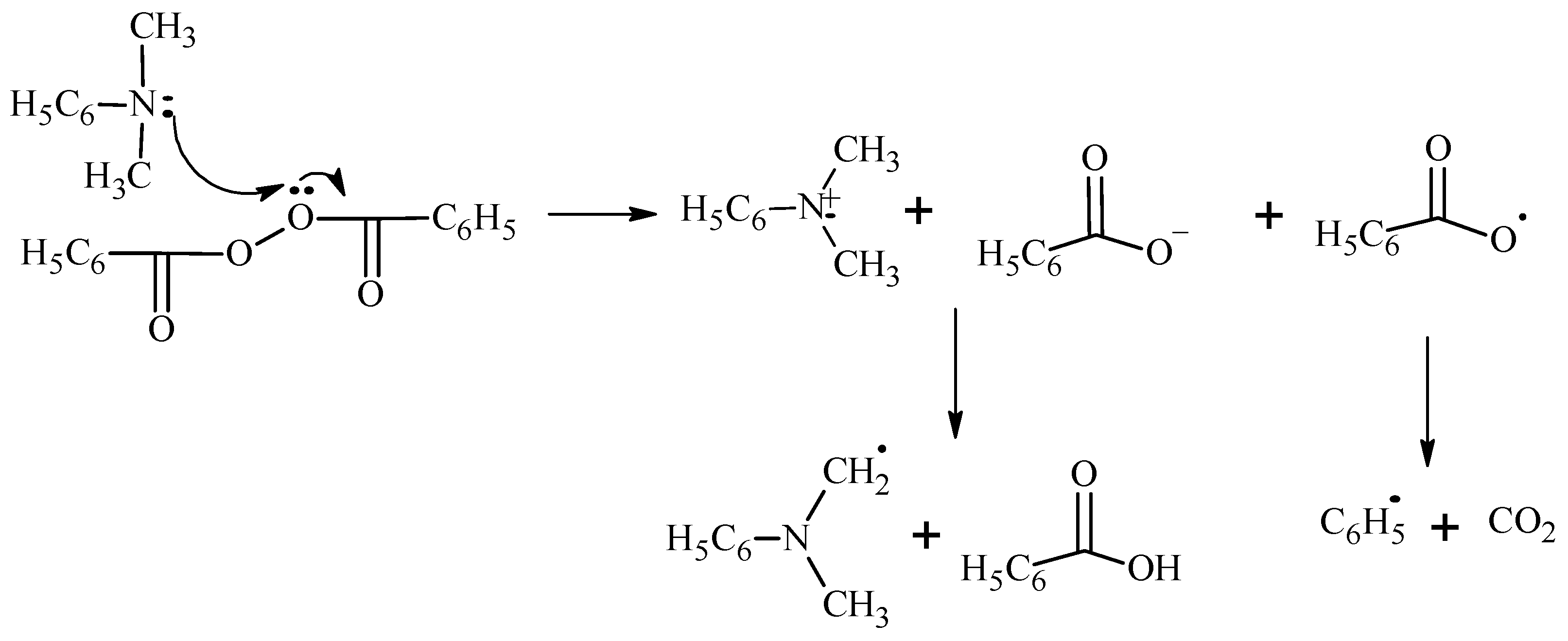
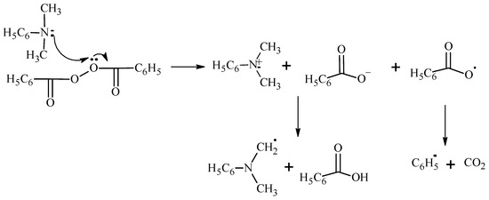
1. Introduction
2. Materials and Methods
2.1. Materials
2.2. Sample Preparation
2.3. Polymerization Kinetics
2.4. Doughing Time
2.5. Compressive Strength
3. Results and Discussion
3.1. Polymerization Kinetics
3.2. Doughing Time
3.3. Compressive Strength
4. Conclusions
Author Contributions
Funding
Institutional Review Board Statement
Informed Consent Statement
Data Availability Statement
Conflicts of Interest
References
- Sanders, K.M.; Nicholson, G.C.; Ugoni, A.M.; Seeman, E.; Pasco, J.A.; Kotowicz, M.A. Fracture rates lower in rural than urban communities: The Geelong Osteoporosis Study. J. Epidemiol. Community Health 2002, 56, 466–470. [Google Scholar] [CrossRef] [PubMed][Green Version]
- Cooper, C.; Cole, Z.A.; Holroyd, C.R.; Earl, S.C.; Harvey, N.C.; Dennison, E.M.; Melton, L.J.; Cummings, S.R.; Kanis, J.A. Secular trends in the incidence of hip and other osteoporotic fractures. Osteoporos. Int. 2011, 22, 1277–1288. [Google Scholar] [CrossRef] [PubMed]
- Stańczyk, M.; van Rietbergen, B. Thermal analysis of bone cement polymerisation at the cement-bone interface. J. Biomech. 2004, 37, 1803–1810. [Google Scholar] [CrossRef] [PubMed]
- Böker, K.O.; Richter, K.; Jäckle, K.; Taheri, S.; Grunwald, I.; Borcherding, K.; von Byern, J.; Hartwig, A.; Wildemann, B.; Schilling, A.F.; et al. Current State of Bone Adhesives-Necessities and Hurdles. Materials 2019, 12, 3975. [Google Scholar] [CrossRef] [PubMed]
- Pahlevanzadeh, F.; Bakhsheshi-Rad, H.R.; Kharaziha, M.; Kasiri-Asgarani, M.; Omidi, M.; Razzaghi, M.; Ismail, A.F.; Sharif, S.; RamaKrishna, S.; Berto, F. CNT and rGO reinforced PMMA based bone cement for fixation of load bearing implants: Mechanical property and biological response. J. Mech. Behav. Biomed. Mater. 2021, 116, 104–320. [Google Scholar] [CrossRef]
- Panpisut, P.; Khan, M.A.; Main, K.; Arshad, M.; Xia, W.; Petridis, H.; Young, A.M. Polymerization kinetics stability, volumetric changes, apatite precipitation, strontium release and fatigue of novel bone composites for vertebroplasty. PLoS ONE 2019, 14, e0207965. [Google Scholar] [CrossRef]
- Lewis, G. Properties of nanofiller-loaded poly (methyl methacrylate) bone cement composites for orthopedic applications: A review. J. Biomed. Mater. Res. 2017, 105, 1260–1284. [Google Scholar] [CrossRef]
- Pahlevanzadeh, F.; Bakhsheshi-Rad, H.R.; Kasiri-Asgarani, M.; Emadi, R.; Omidi, M.; Ismail, A.F.; Afrand, M.; Berto, F. Mechanical property, antibacterial activity and cytocompatibility of a PMMA-based bone cement loaded with clindamycin for orthopaedic surgeries. Mater. Technol. 2021, 36, 564–573. [Google Scholar] [CrossRef]
- Brauer, G.M.; Steinberger, D.R.; Stansbury, J.W. Dependence of curing time, peak temperature, and mechanical properties on the composition of bone cement. J. Biomed. Mater. Res. 1986, 20, 839–852. [Google Scholar] [CrossRef]
- Borzacchiello, A.; Ambrosio, L.; Nicolais, L.; Harper, E.J.; Tanner, K.E.; Bonfield, W. Isothermal and non-isothermal polymerization of a new bone cement. J. Mater. Sci. Mater. Med. 1998, 9, 317–324. [Google Scholar] [CrossRef]
- Migliaresi, C.; Fambri, L.; Kolarik, J. Polymerization kinetics, glass transition temperature and creep of acrylic bone cements. Biomaterials 1994, 15, 875–881. [Google Scholar] [CrossRef]
- Kühn, K.-D. Bone Cements: Up-to-Date Comparison of Physical and Chemical Properties of Commercial Materials; Springer: Berlin/Heidelberg, Germany, 2013. [Google Scholar]
- Li, C.; Kotha, S.; Huang, C.-H.; Mason, J.; Yakimicki, D.; Hawkins, M. Finite element thermal analysis of bone cement for joint replacements. J. Biomech. Eng. 2003, 125, 315–322. [Google Scholar] [CrossRef] [PubMed]
- Robo, C.; Wenner, D.; Ubhayasekera, S.J.K.A.; Hilborn, J.; Öhman-Mägi, C.; Persson, C. Functional Properties of Low-Modulus PMMA Bone Cements Containing Linoleic Acid. J. Funct. Biomater. 2021, 12, 5. [Google Scholar] [CrossRef]
- Lewis, G.; Mishra, S.R. Influence of changes in the composition of an acrylic bone cement on its polymerization kinetics. J. Biomed. Mater. Res. 2007, 81, 524–529. [Google Scholar] [CrossRef] [PubMed]
- Morejón, L.; Delgado, J.A.; Davidenko, N.; Mendizábal, E.; Barbosa, E.H.; Jasso, C.F. Kinetic effect of hydroxyapatite types on the polymerization of acrylic bone cements. Int. J. Polym. Mater. Polym. Biomater. 2003, 52, 637–654. [Google Scholar] [CrossRef]
- Yang, J.-M.; Shyu, J.-S.; Chen, H.-L. Additive modification of the polymerization and properties of an acrylic bone cement. Polym. Eng. Sci. 1998, 38, 530–533. [Google Scholar] [CrossRef]
- Mendizábal, E.; Quiroz, A.; Olmos, M.A.; Jasso, C.F.; Morejón, L.; Delgado, J.A.; Davidenko, N. Modeling of the curing kinetics of an acrylic bone cement modified with hydroxyapatite. Int. J. Polym. Mater. Polym. Biomater. 2003, 52, 927–938. [Google Scholar] [CrossRef]
- Maffezzoli, A. Polymerization kinetics of acrylic bone cements by differential scanning calorimetry. J. Therm. Anal. 1996, 47, 35–49. [Google Scholar] [CrossRef]
- Yang, J.-M. Study of polymerization of acrylic bone cement: Effect of HEMA and EGDMA. J. Biomed. Mater. Res. 1998, 43, 54–61. [Google Scholar] [CrossRef]
- Borzacchiello, A.; Ambrosio, L.; Nicolais, L.; Harper, E.J.; Tanner, K.E.; Bonfield, W. Comparison between the polymerization behavior of a new bone cement and a commercial one: Modeling and in vitro analysis. J. Mater. Sci. Mater. Med. 1998, 9, 835–838. [Google Scholar] [CrossRef]
- Yang, J.-M. Polymerization of acrylic bone cement using differential scanning calorimetry. Biomaterials 1997, 18, 1293–1298. [Google Scholar] [CrossRef]
- Endogan, T.; Serbetci, K.; Hasirci, N. Effects of ingredients on thermal and mechanical properties of acrylic bone cements. J. Appl. Polym. Sci. 2009, 113, 4077–4084. [Google Scholar] [CrossRef]
- Hu, Q. Preparation and characterization of biodegradable chitosan/hydroxyapatite nanocomposite rods via in situ hybridization: A potential material as internal fixation of bone fracture. Biomaterials 2004, 25, 779–785. [Google Scholar] [CrossRef]
- Gilbert, J. Self-reinforced composite poly(methyl methacrylate): Static and fatigue properties. Biomaterials 1995, 16, 1043–1055. [Google Scholar] [CrossRef]
- Nussbaum, D.A.; Gailloud, P.; Murphy, K. The chemistry of acrylic bone cements and implications for clinical use in image-guided therapy. J. Vasc. Interv. Radiol. 2004, 15, 121–126. [Google Scholar] [CrossRef]
- Madigan, S.; Towler, M.R.; Lewis, G. Optimisation of the composition of an acrylic bone cement: Application to relative amounts of the initiator and the activator/co-initiator in Surgical Simplex P. J. Mater. Sci. Mater. Med. 2006, 17, 307–311. [Google Scholar] [CrossRef]
- Anseth, K.S.; Wang, C.M.; Bowman, C.N. Kinetic evidence of reaction diffusion during the polymerization of multi(meth)acrylate monomers. Macromolecules 1994, 27, 650–655. [Google Scholar] [CrossRef]
- Lovell, L.G.; Stansbury, J.W.; Syrpes, D.C.; Bowman, C.N. Effects of Composition and Reactivity on the Reaction Kinetics of Dimethacrylate/Dimethacrylate Copolymerizations. Macromolecules 1999, 32, 3913–3921. [Google Scholar] [CrossRef]
- Scranton, A.B.; Bowman, C.N.; Klier, J.; Peppas, A.N. Polymerization reaction dynamics of ethylene glycol methacrylates and dimethacrylates by calorimetry. Polymer 1992, 33, 1683–1689. [Google Scholar] [CrossRef]
- Bowman, C.N.; Peppas, N.A. Coupling of kinetics and volume relaxation during polymerizations of multiacrylates and multimethacrylates. Macromolecules 1991, 24, 1914–1920. [Google Scholar] [CrossRef]
- Cook, W.D. Thermal aspects of the kinetics of dimethacrylate photopolymerization. Polymer 1992, 33, 2152–2161. [Google Scholar] [CrossRef]
- Pączkowski, J. (Ed.) Fotochemia polimerów. Teoria i zastosowanie. In Fotopolimeryzacja (Ewa Andrzejewska); Wydawnictwo Naukowe Uniwersytetu Mikołaja Kopernika: Toruń, Poland, 2003. [Google Scholar]
- ISO 5833:2002; Implants for Surgery—Acrylic Resin Cements. ISO: Geneva, Switzerland, 2002.
- Stea, S. High-performance liquid chromatography assay of N,N-dimethyl-p-toluidine released from bone cements: Evidence for toxicity. Biomaterials 1997, 18, 243–246. [Google Scholar] [CrossRef]
- Hutchins, K.M.; Sekerak, N.M.; Moore, J.S. Polymerization Initiated by Particle Contact: A Quiescent State Trigger for Materials Synthesis. J. Am. Chem. Soc. 2016, 138, 12336–12339. [Google Scholar] [CrossRef] [PubMed]
- Odian, G. Principles of Polymerization; John Wiley & Sons: Hoboken, NJ, USA, 2004. [Google Scholar]
- Ishida, T.; Kondo, S.; Tsuda, K. Free radical polymerization of methyl methacrylate initiated by N,N-dimethylaniline. Makromol. Chem. 1977, 178, 3221–3228. [Google Scholar] [CrossRef]
- Tsuda, K.; Kondo, S.; Yamashita, K.; Ito, K. Initiation mechanism of free-radical polymerization of methyl methacrylate by p-substituted N, N-dimethylanilines. Macromol. Chem. Phys. 1984, 185, 81–89. [Google Scholar] [CrossRef]






Publisher’s Note: MDPI stays neutral with regard to jurisdictional claims in published maps and institutional affiliations. |
© 2022 by the authors. Licensee MDPI, Basel, Switzerland. This article is an open access article distributed under the terms and conditions of the Creative Commons Attribution (CC BY) license (https://creativecommons.org/licenses/by/4.0/).
Share and Cite
Przesławski, G.; Szcześniak, K.; Gajewski, P.; Marcinkowska, A. Influence of Initiator Concentration on the Polymerization Course of Methacrylate Bone Cement. Polymers 2022, 14, 5005. https://doi.org/10.3390/polym14225005
Przesławski G, Szcześniak K, Gajewski P, Marcinkowska A. Influence of Initiator Concentration on the Polymerization Course of Methacrylate Bone Cement. Polymers. 2022; 14(22):5005. https://doi.org/10.3390/polym14225005
Chicago/Turabian StylePrzesławski, Grzegorz, Katarzyna Szcześniak, Piotr Gajewski, and Agnieszka Marcinkowska. 2022. "Influence of Initiator Concentration on the Polymerization Course of Methacrylate Bone Cement" Polymers 14, no. 22: 5005. https://doi.org/10.3390/polym14225005
APA StylePrzesławski, G., Szcześniak, K., Gajewski, P., & Marcinkowska, A. (2022). Influence of Initiator Concentration on the Polymerization Course of Methacrylate Bone Cement. Polymers, 14(22), 5005. https://doi.org/10.3390/polym14225005

