Grating Assembly Dissected in Periodic Bands of Poly (Butylene Adipate) Modulated with Poly (Ethylene Oxide)
Abstract
1. Introduction
2. Experimental
2.1. Materials and Preparation
2.2. Apparatus
3. Results and Discussion
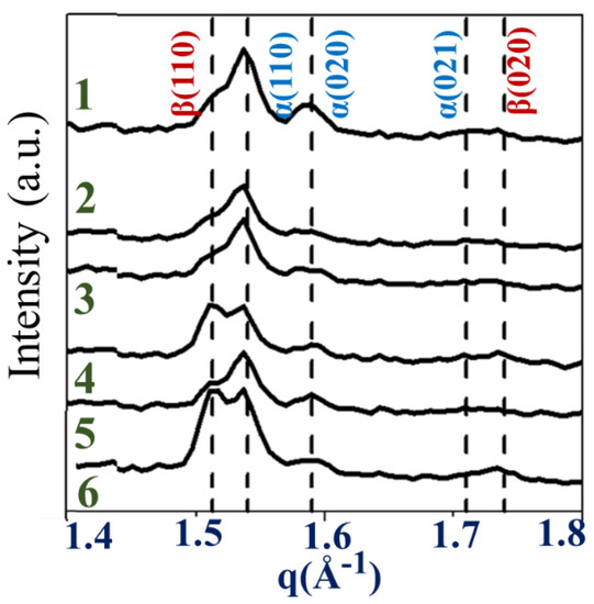
Crystalline Morphologies of PBA/PEO Blends
4. Iridescence of Periodically Assembled Crystals
5. Conclusions
Author Contributions
Funding
Institutional Review Board Statement
Informed Consent Statement
Data Availability Statement
Acknowledgments
Conflicts of Interest
References
- Woo, E.M.; Nurkhamidah, S.; Chen, Y.F. Surface and interior views on origins of two types of banded spherulites in poly(nonamethylene terephthalate). Phys. Chem. Chem. Phys. 2011, 13, 17841–17851. [Google Scholar] [CrossRef] [PubMed]
- Woo, E.M. Banded Crystalline Spherulites in Polymers and Organic Compounds: Interior Lamellar Structures Correlating with Top-Surface Topology. J. Adv. Chem. Eng. 2015, 5, 2–7. [Google Scholar] [CrossRef]
- Keith, H.D.; Padden, F.J. Banding in polyethylene and other spherulites. Macromolecules 1996, 29, 7776–7786. [Google Scholar] [CrossRef]
- Schultz, J.M.; Kinloch, D.R. Transverse screw dislocations: A source of twist in crystalline polymer ribbons. Polymer 1969, 10, 271–278. [Google Scholar] [CrossRef]
- Eshelby, J.D. Screw dislocations in thin rods. J. Appl. Phys. 1953, 24, 176–179. [Google Scholar] [CrossRef]
- Toda, A.; Taguchi, K.; Hikosaka, M.; Kajioka, H. Branching and Higher Order Structure in Banded Polyethylene Spherulites. Macromolcules 2008, 41, 2484–2493. [Google Scholar] [CrossRef]
- Toda, A.; Kojima, I.; Hikosaka, M. Melting Kinetics of Polymer Crystals with an Entropic Barrier. Macromolecules 2008, 41, 120–127. [Google Scholar] [CrossRef]
- Lotz, B.; Cheng, S.Z.D. A critical assessment of unbalanced surface stresses as the mechanical origin of twisting and scrolling of polymer crystals. Polymer 2005, 46, 577–610. [Google Scholar] [CrossRef]
- Ikehara, T.; Kataoka, T. Relation between the helical twist and S-shaped cross section of the lamellar crystals of polyethylene. Sci. Rep. 2013, 3, 1444. [Google Scholar] [CrossRef]
- Nagarajan, S.; Woo, E.M. Periodic Assembly of Polyethylene Spherulites Re-Investigated by Breakthrough Interior Dissection. Macromol. Rapid Commun. 2021, 42, 2000708. [Google Scholar] [CrossRef]
- Woo, E.M.; Wang, L.-Y.; Nurkhamidah, S. Crystal lamellae of mutually perpendicular orientations by dissecting onto interiors of poly(ethylene adipate) spherulites crystallized in bulk form. Macromolecules 2012, 45, 1375–1383. [Google Scholar] [CrossRef]
- Lugito, G.; Woo, E.M. Interior lamellar assembly in correlation to top-surface banding in crystallized poly(ethylene adipate). Cryst. Growth Des. 2014, 14, 4929–4936. [Google Scholar] [CrossRef]
- Tu, C.H.; Woo, E.M.; Lugito, G. Structured growth from sheaf-like nuclei to highly asymmetric morphology in poly(nonamethylene terephthalate). RSC Adv. 2017, 7, 47614–47618. [Google Scholar] [CrossRef]
- Woo, E.M.; Lugito, G. Origins of periodic bands in polymer spherulites. Eur. Polym. J. 2015, 71, 27–60. [Google Scholar] [CrossRef]
- Lin, Q. Synthetic Biodegradable Polymers. In Introduction to Biomaterials; Tsinghua University Press: Bejing, China, 2005; pp. 187–196. ISBN 9783642271533. [Google Scholar]
- Gan, Z.; Abe, H.; Doi, Y. Temperature-induced polymorphic crystals of poly(butylene adipate). Macromol. Chem. Phys. 2002, 203, 2369–2374. [Google Scholar] [CrossRef]
- Sun, X.; Pi, F.; Zhang, J.; Takahashi, I.; Wang, F.; Yan, S.; Ozaki, Y. Study on the Phase Transition Behavior of Poly(butylene adipate) in its Blends with Poly(vinyl phenol). J. Phys. Chem. B 2011, 115, 1950–1957. [Google Scholar] [CrossRef]
- Yang, J.; Pan, P.; Hua, L.; Zhu, B.; Dong, T.; Inoue, Y. Polymorphic crystallization and phase transition of poly(butylene adipate) in its miscible crystalline/crystalline blend with poly(vinylidene fluoride). Macromolecules 2010, 43, 8610–8618. [Google Scholar] [CrossRef]
- Liu, J.; Ye, H.M.; Xu, J.; Guo, B.H. Formation of ring-banded spherulites of α and β modifications in Poly(butylene adipate). Polymer 2011, 52, 4619–4630. [Google Scholar] [CrossRef]
- Wang, L.Y.; Lugito, G.; Woo, E.M.; Wang, Y.H. Phase behavior, polymorphism and spherulite morphology in Poly(1,4-butylene adipate) interacting with two structurally similar acrylic polymers. Polymer 2012, 53, 3815–3826. [Google Scholar] [CrossRef]
- Wu, M.C.; Woo, E.M. Effects of α-form or β-form nuclei on polymorphic crystalline morphology of poly(butylene adipate). Polym. Int. 2005, 54, 1681–1688. [Google Scholar] [CrossRef]
- Frömsdorf, A.; Woo, E.M.; Lee, L.T.; Chen, Y.F.; Förster, S. Atomic force microscopy characterization and interpretation of thin-film poly(butylene adipate) spherulites with ring bands. Macromol. Rapid Commun. 2008, 29, 1322–1328. [Google Scholar] [CrossRef]
- Lugito, G.; Woo, E.M. Intertwining lamellar assembly in porous spherulites composed of two ring-banded poly(ethylene adipate) and poly(butylene adipate). Soft Matter 2015, 11, 908–917. [Google Scholar] [CrossRef]
- Nagarajan, S.; Woo, E.M.; Su, C.; Yang, C. Microstructural periodic arrays in poly(butylene adipate) featured with photonic crystal aggregates. Macromol. Rapid Commun. 2021, 42, 2100202. [Google Scholar] [CrossRef] [PubMed]
- Nagarajan, S.; Woo, E.M. Unique Optical Periodicity Assembly of Discrete Dendritic Lamellae and Pyramidal Single Crystals in Poly(ε-caprolactone). ACS Appl. Mater. Interfaces 2021, 13, 41200–41208. [Google Scholar] [CrossRef] [PubMed]
- Nagarajan, S. Lamellar Assembly Mechanism on Dendritic Ring-Banded Spherulites of Poly(ε-caprolactone). Macromol. Rapid Commun. 2021, 42, 2100359. [Google Scholar] [CrossRef]
- Liao, Y.; Nagarajan, S.; Woo, E.M.; Chuang, W.; Tsai, Y. Synchrotron X-Ray analysis and morphology evidence for stereo-assemblies of periodic aggregates in poly(3-hydroxybutyrate) with unusual photonic iridescence. Macromol. Rapid Commun. 2021, 42, 2100281. [Google Scholar] [CrossRef]
- Woo, E.M.; Yen, K.C.; Yeh, Y.T.; Wang, L.Y. Biomimetically structured lamellae assembly in periodic banding of poly(ethylene adipate) crystals. Macromolecules 2018, 51, 3845–3854. [Google Scholar] [CrossRef]
- Natarajan, B.; Emiroglu, C.; Obrzut, J.; Fox, D.M.; Pazmino, B.; Douglas, J.F.; Gilman, J.W. Dielectric characterization of confined water in chiral cellulose nanocrystal films. ACS Appl. Mater. Interfaces 2017, 9, 14222–14231. [Google Scholar] [CrossRef]
- Espinha, A.; Guidetti, G.; Serrano, M.C.; Frka-Petesic, B.; Dumanli, A.G.; Hamad, W.Y.; Blanco, Á.; López, C.; Vignolini, S. Shape memory cellulose-based photonic reflectors. ACS Appl. Mater. Interfaces 2016, 8, 31935–31940. [Google Scholar] [CrossRef]
- Chen, H.; Hou, A.; Zheng, C.; Tang, J.; Xie, K.; Gao, A. Light and humidity responsive chiral nematic photonic crystal films based on cellulose nanocrystals. ACS Appl. Mater. Interfaces 2020, 12, 24505–24511. [Google Scholar] [CrossRef]
- Nan, F.; Nagarajan, S.; Chen, Y.; Liu, P.; Duan, Y.; Men, Y.; Zhang, J. Enhanced toughness and thermal stability of cellulose nanocrystal iridescent films by alkali treatment. ACS Sustain. Chem. Eng. 2017, 5, 8951–8958. [Google Scholar] [CrossRef]
- Espinha, A.; Dore, C.; Matricardi, C.; Alonso, M.I.; Goñi, A.R.; Mihi, A. Hydroxypropyl cellulose photonic architectures by soft nanoimprinting lithography. Nat. Photonics 2018, 12, 343–348. [Google Scholar] [CrossRef]
- Ganesh, N.; Cunningham, B.T. Photonic-crystal near-ultraviolet reflectance filters fabricated by nanoreplica molding. Appl. Phys. Lett. 2006, 88, 071110. [Google Scholar] [CrossRef]
- Pretzl, M.; Schweikart, A.; Hanske, C.; Chiche, A.; Zettl, U.; Horn, A.; Böker, A.; Fery, A. A lithography-free pathway for chemical microstructuring of macromolecules from aqueous solution based on wrinkling. Langmuir 2008, 24, 12748–12753. [Google Scholar] [CrossRef]
- Li, W.; Xu, M.; Ma, C.; Liu, Y.; Zhou, J.; Chen, Z.; Wang, Y.; Yu, H.; Li, J.; Liu, S. Tunable upconverted circularly polarized luminescence in cellulose nanocrystal based chiral photonic films. ACS Appl. Mater. Interfaces 2019, 11, 23512–23519. [Google Scholar] [CrossRef]
- Smith, G.S. Structural color of morpho butterflies. Am. J. Phys. 2009, 77, 1010–1019. [Google Scholar] [CrossRef]
- Kinoshita, S.; Yoshioka, S.; Miyazaki, J. Physics of structural colors. Rep. Prog. Phys. 2008, 71, 076401. [Google Scholar] [CrossRef]
- Vignolini, S.; Rudall, P.J.; Rowland, A.V.; Reed, A.; Moyroud, E.; Faden, R.B.; Baumberg, J.J.; Glover, B.J.; Steiner, U. Pointillist structural color in Pollia fruit. Proc. Natl. Acad. Sci. USA 2012, 109, 15712–15715. [Google Scholar] [CrossRef]
- Zi, J.; Yu, X.; Li, Y.; Hu, X.; Xu, C.; Wang, X.; Liu, X.; Fu, R. Coloration strategies in peacock feathers. Proc. Natl. Acad. Sci. USA 2003, 100, 12576–12578. [Google Scholar] [CrossRef]
- Barrera-Patiño, C.P.; Vollet-Filho, J.D.; Teixeira-Rosa, R.G.; Quiroz, H.P.; Dussan, A.; Inada, N.M.; Bagnato, V.S.; Rey-González, R.R. Photonic effects in natural nanostructures on Morpho cypris and Greta oto butterfly wings. Sci. Rep. 2020, 10, 5786. [Google Scholar] [CrossRef]
- Mason, C.W. Structural Colors in Insects. II. J. Phys. Chem. 1927, 31, 321–354. [Google Scholar] [CrossRef]
- Vukusic, P.; Sambles, J.R.; Ghiradella, H. Optical classification of microstructure in butterfly wing-scales. Photonics Sci. News 2000, 6, 61–66. [Google Scholar]
- Prum, R.O.; Quinn, T.; Torres, R.H. Anatomically diverse butterfly scales all produce structural colours by coherent scattering. J. Exp. Biol. 2006, 209, 748–765. [Google Scholar] [CrossRef] [PubMed]
- Bixler, G.D.; Theiss, A.; Bhushan, B.; Lee, S.C. Anti-fouling properties of microstructured surfaces bio-inspired by rice leaves and butterfly wings. J. Colloid Interface Sci. 2014, 419, 114–133. [Google Scholar] [CrossRef]
- Rodríguez, R.E.; Agarwal, S.P.; An, S.; Kazyak, E.; Das, D.; Shang, W.; Skye, R.; Deng, T.; Dasgupta, N.P. Biotemplated Morpho Butterfly Wings for Tunable Structurally Colored Photocatalysts. ACS Appl. Mater. Interfaces 2018, 10, 4614–4621. [Google Scholar] [CrossRef]
- Bartl, M.H.; Galusha, J.W.; Richey, L.R.; Gardner, J.S.; Cha, J.N. Discovery of a diamond-based photonic crystal structure in beetle scales. Phys. Rev. E—Stat. Nonlinear, Soft Matter Phys. 2008, 77, 2–5. [Google Scholar]
- Available online: https://en.wikipedia.org/wiki/Opal (accessed on 17 June 2021).
- Dumanli, A.G.; Kamita, G.; Landman, J.; van der Kooij, H.; Glover, B.J.; Baumberg, J.J.; Steiner, U.; Vignolini, S. Controlled, bio-inspired self-assembly of cellulose-based chiral reflectors. Adv. Opt. Mater. 2014, 2, 646–650. [Google Scholar] [CrossRef]













Publisher’s Note: MDPI stays neutral with regard to jurisdictional claims in published maps and institutional affiliations. |
© 2022 by the authors. Licensee MDPI, Basel, Switzerland. This article is an open access article distributed under the terms and conditions of the Creative Commons Attribution (CC BY) license (https://creativecommons.org/licenses/by/4.0/).
Share and Cite
Chang, C.-I.; Woo, E.M.; Nagarajan, S. Grating Assembly Dissected in Periodic Bands of Poly (Butylene Adipate) Modulated with Poly (Ethylene Oxide). Polymers 2022, 14, 4781. https://doi.org/10.3390/polym14214781
Chang C-I, Woo EM, Nagarajan S. Grating Assembly Dissected in Periodic Bands of Poly (Butylene Adipate) Modulated with Poly (Ethylene Oxide). Polymers. 2022; 14(21):4781. https://doi.org/10.3390/polym14214781
Chicago/Turabian StyleChang, Chia-I., Eamor M. Woo, and Selvaraj Nagarajan. 2022. "Grating Assembly Dissected in Periodic Bands of Poly (Butylene Adipate) Modulated with Poly (Ethylene Oxide)" Polymers 14, no. 21: 4781. https://doi.org/10.3390/polym14214781
APA StyleChang, C.-I., Woo, E. M., & Nagarajan, S. (2022). Grating Assembly Dissected in Periodic Bands of Poly (Butylene Adipate) Modulated with Poly (Ethylene Oxide). Polymers, 14(21), 4781. https://doi.org/10.3390/polym14214781

