A Tunable and Wearable Dual-Band Metamaterial Absorber Based on Polyethylene Terephthalate (PET) Substrate for Sensing Applications
Abstract
1. Introduction
2. Literature Review
2.1. Non-Flexible Absorbers
2.2. Tunable Absorbers
2.3. Flexible Absorbers
3. Geometry, Analytical Treatment and Simulation Setup
3.1. Theory of Metamaterial Absorbers
3.2. Design of Meta-Unit Cell
4. Flexibility Framework
4.1. Cylindrical Bending
4.2. Spherical Bending
4.3. Conical Bending
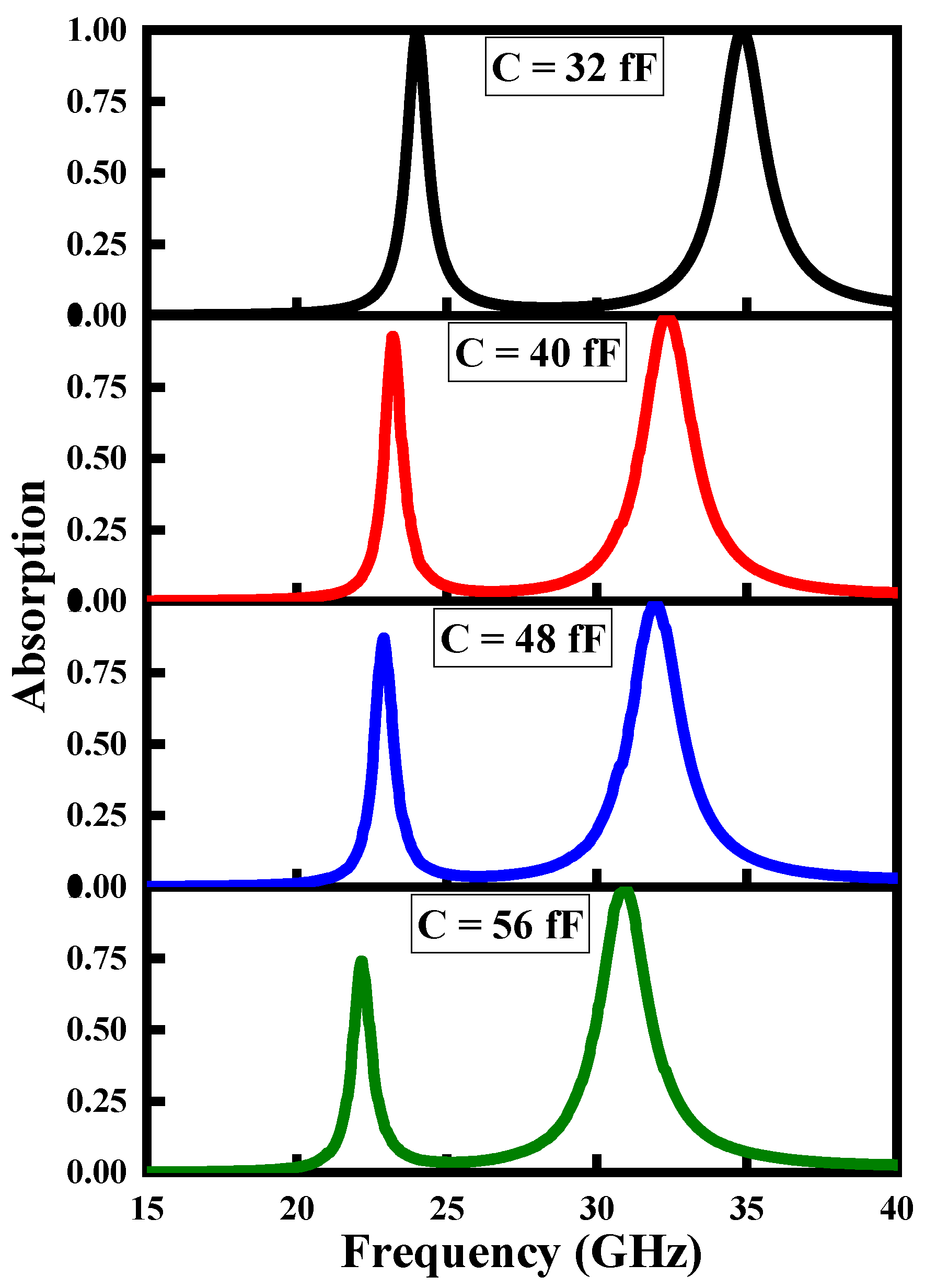
5. Simulation Results and Discussion

6. Interference Theory and Analytical Calculation
7. Conclusions
Author Contributions
Funding
Data Availability Statement
Acknowledgments
Conflicts of Interest
References
- Smith, D.; Schultz, S.; Markoš, P.; Soukoulis, C. Determination of effective permittivity and permeability of metamaterials from reflection and transmission coefficients. Phys. Rev. B 2002, 65, 195104. [Google Scholar] [CrossRef]
- Duan, Z.; Guo, C.; Chen, M. Enhanced reversed Cherenkov radiation in a waveguide with double-negative metamaterials. Opt. Express 2011, 19, 13825–13830. [Google Scholar] [CrossRef] [PubMed]
- Schurig, D.; Mock, J.J.; Justice, B.; Cummer, S.A.; Pendry, J.B.; Starr, A.F.; Smith, D.R. Metamaterial electromagnetic cloak at microwave frequencies. Science 2006, 314, 977–980. [Google Scholar] [CrossRef] [PubMed]
- Valentine, J.; Li, J.; Zentgraf, T.; Bartal, G.; Zhang, X. An optical cloak made of dielectrics. Nat. Mater. 2009, 8, 568–571. [Google Scholar] [CrossRef] [PubMed]
- Landy, N.I.; Sajuyigbe, S.; Mock, J.J.; Smith, D.R.; Padilla, W.J. Perfect metamaterial absorber. Phys. Rev. Lett. 2008, 100, 207402. [Google Scholar] [CrossRef]
- Ahmad, T.; Rahim, A.A.; Bilal, R.M.H.; Noor, A.; Maab, H.; Naveed, M.A.; Madni, A.; Ali, M.M.; Saeed, M.A. Ultrawideband Cross-Polarization Converter Using Anisotropic Reflective Metasurface. Electronics 2022, 11, 487. [Google Scholar] [CrossRef]
- Mehrabi, S.; Bilal, R.M.H.; Naveed, M.A.; Ali, M.M. Ultra-broadband nanostructured metamaterial absorber based on stacked square-layers of TiN/TiO2. Opt. Mater. Express 2022, 12, 2199–2211. [Google Scholar] [CrossRef]
- Naveed, M.A.; Bilal, R.M.H.; Baqir, M.A.; Bashir, M.M.; Ali, M.M.; Rahim, A.A. Ultrawideband fractal metamaterial absorber made of nickel operating in the UV to IR spectrum. Opt. Express 2021, 29, 42911–42923. [Google Scholar] [CrossRef]
- Chambers, B. Optimum design of a Salisbury screen radar absorber. Electron. Lett. 1994, 30, 1353–1354. [Google Scholar] [CrossRef]
- Garg, P.; Jain, P. Isolation improvement of MIMO antenna using a novel flower shaped metamaterial absorber at 5.5 GHz WiMAX band. IEEE Trans. Circuits Syst. II Express Briefs 2019, 67, 675–679. [Google Scholar] [CrossRef]
- Iwaszczuk, K.; Strikwerda, A.C.; Fan, K.; Zhang, X.; Averitt, R.D.; Jepsen, P.U. Flexible metamaterial absorbers for stealth applications at terahertz frequencies. Opt. Express 2012, 20, 635–643. [Google Scholar] [CrossRef] [PubMed]
- Kim, J.; Saeed, M.A.; Kim, S.H.; Lee, D.; Jang, Y.; Park, J.S.; Lee, D.; Lee, C.; Kim, B.J.; Woo, H.Y. Revisiting the Classical Wide-Bandgap Homo-and Random Copolymers for Indoor Artificial Light Photovoltaics. Macromol. Rapid Commun. 2022, 43, 2200279. [Google Scholar] [CrossRef] [PubMed]
- Saeed, M.A.; Shahzad, A.; Rasool, K.; Mateen, F.; Oh, J.M.; Shim, J.W. 2D MXene: A Potential Candidate for Photovoltaic Cells? A Critical Review. Adv. Sci. 2022, 9, 2104743. [Google Scholar] [CrossRef]
- Kim, T.H.; Lee, H.J.; Saeed, M.A.; Son, J.H.; Woo, H.Y.; Kim, T.G.; Shim, J.W. Elastomeric Indoor Organic Photovoltaics with Superb Photothermal Endurance. Adv. Funct. Mater. 2022, 32, 2201921. [Google Scholar] [CrossRef]
- Hwang, J.-N.; Chen, F.-C. Reduction of the peak SAR in the human head with metamaterials. IEEE Trans. Antennas Propag. 2006, 54, 3763–3770. [Google Scholar] [CrossRef]
- Bilal, R.; Baqir, M.; Iftikhar, A.; Naqvi, S.; Mughal, M.; Ali, M. Polarization-controllable and angle-insensitive multiband Yagi-Uda-shaped metamaterial absorber in the microwave regime. Opt. Mater. Express 2022, 12, 798–810. [Google Scholar] [CrossRef]
- Bilal, R.M.H.; Baqir, M.A.; Choudhury, P.K.; Karaaslan, M.; Ali, M.M.; Altłntas, O.; Rahim, A.A.; Unal, E.; Sabah, C. Wideband microwave absorber comprising metallic split-ring resonators surrounded with E-shaped fractal metamaterial. IEEE Access 2021, 9, 5670–5677. [Google Scholar] [CrossRef]
- Naveed, M.A.; Bilal, R.M.H.; Rahim, A.A.; Baqir, M.A.; Ali, M.M. Polarization-insensitive dual-wideband fractal meta-absorber for terahertz applications. Appl. Opt. 2021, 60, 9160–9166. [Google Scholar] [CrossRef] [PubMed]
- Cai, Y.; Xu, K.D. Tunable broadband terahertz absorber based on multilayer graphene-sandwiched plasmonic structure. Opt. Express 2018, 26, 31693–31705. [Google Scholar] [CrossRef]
- Kenney, M.; Grant, J.; Shah, Y.D.; Escorcia-Carranza, I.; Humphreys, M.; Cumming, D.R. Octave-spanning broadband absorption of terahertz light using metasurface fractal-cross absorbers. ACS Photonics 2017, 4, 2604–2612. [Google Scholar] [CrossRef]
- Bilal, R.; Saeed, M.; Choudhury, P.; Baqir, M.; Kamal, W.; Ali, M.; Rahim, A. Elliptical metallic rings-shaped fractal metamaterial absorber in the visible regime. Sci. Rep. 2020, 10, 1–12. [Google Scholar] [CrossRef] [PubMed]
- Bilal, R.M.H.; Baqir, M.A.; Hameed, M.; Naqvi, S.A.; Ali, M.M. Triangular metallic ring-shaped broadband polarization-insensitive and wide-angle metamaterial absorber for visible regime. JOSA A 2022, 39, 136–142. [Google Scholar] [CrossRef] [PubMed]
- Chaurasiya, D.; Ghosh, S.; Bhattacharyya, S.; Bhattacharya, A.; Srivastava, K.V. Compact multi-band polarisation-insensitive metamaterial absorber. IET Microw. Antennas Propag. 2016, 10, 94–101. [Google Scholar] [CrossRef]
- Nguyen, T.T.; Lim, S. Angle-and polarization-insensitive broadband metamaterial absorber using resistive fan-shaped resonators. Appl. Phys. Lett. 2018, 112, 021605. [Google Scholar] [CrossRef]
- Bilal, R.; Baqir, M.; Choudhury, P.K.; Ali, M.M.; Rahim, A.A.; Kamal, W. Polarization-insensitive multi-band metamaterial absorber operating in the 5G spectrum. Optik 2020, 216, 164958. [Google Scholar] [CrossRef]
- Bhattacharyya, S.; Ghosh, S.; Srivastava, K.V. Bandwidth-Enhanced Metamaterial Absorber Using Electric Field–Driven Lc Resonator for Airborne Radar Applications. Microw. Opt. Technol. Lett. 2013, 55, 2131–2137. [Google Scholar] [CrossRef]
- Ding, F.; Cui, Y.; Ge, X.; Jin, Y.; He, S. Ultra-broadband microwave metamaterial absorber. Appl. Phys. Lett. 2012, 100, 103506. [Google Scholar] [CrossRef]
- Moniruzzaman, M.; Islam, M.T.; Muhammad, G.; Singh, M.S.J.; Samsuzzaman, M. Quad band metamaterial absorber based on asymmetric circular split ring resonator for multiband microwave applications. Results Phys. 2020, 19, 103467. [Google Scholar] [CrossRef]
- Zhao, J.; Cheng, Q.; Chen, J.; Qi, M.Q.; Jiang, W.X.; Cui, T.J. A tunable metamaterial absorber using varactor diodes. New J. Phys. 2013, 15, 043049. [Google Scholar] [CrossRef]
- Singh, P.K.; Korolev, K.A.; Afsar, M.N.; Sonkusale, S. Single and dual band 77/95/110 GHz metamaterial absorbers on flexible polyimide substrate. Appl. Phys. Lett. 2011, 99, 264101. [Google Scholar] [CrossRef]
- Xin, W.; Binzhen, Z.; Wanjun, W.; Junlin, W.; Junping, D. Design, fabrication, and characterization of a flexible dual-band metamaterial absorber. IEEE Photonics J. 2017, 9, 1–12. [Google Scholar] [CrossRef]
- Wang, Y.; Zhao, C.; Wang, J.; Luo, X.; Xie, L.; Zhan, S.; Kim, J.; Wang, X.; Liu, X.; Ying, Y. Wearable plasmonic-metasurface sensor for noninvasive and universal molecular fingerprint detection on biointerfaces. Sci. Adv. 2021, 7, eabe4553. [Google Scholar] [CrossRef] [PubMed]
- Geiger, S.; Michon, J.; Liu, S.; Qin, J.; Ni, J.; Hu, J.; Gu, T.; Lu, N. Flexible and stretchable photonics: The next stretch of opportunities. ACS Photonics 2020, 7, 2618–2635. [Google Scholar] [CrossRef]
- Tao, H.; Landy, N.I.; Bingham, C.M.; Zhang, X.; Averitt, R.D.; Padilla, W.J. A metamaterial absorber for the terahertz regime: Design, fabrication and characterization. Opt. Express 2008, 16, 7181–7188. [Google Scholar] [CrossRef] [PubMed]
- Zhang, J.; Wu, X.; Liu, L.; Huang, C.; Chen, X.; Tian, Z.; Ouyang, C.; Gu, J.; Zhang, X.; He, M. Ultra-broadband microwave metamaterial absorber with tetramethylurea inclusion. Opt. Express 2019, 27, 25595–25602. [Google Scholar] [CrossRef] [PubMed]
- Bilal, R.; Naveed, M.; Baqir, M.; Ali, M.; Rahim, A. Design of a wideband terahertz metamaterial absorber based on Pythagorean-tree fractal geometry. Opt. Mater. Express 2020, 10, 3007–3020. [Google Scholar] [CrossRef]
- Cao, T.; Wei, C.W.; Simpson, R.E.; Zhang, L.; Cryan, M.J. Broadband polarization-independent perfect absorber using a phase-change metamaterial at visible frequencies. Sci. Rep. 2014, 4, 3955. [Google Scholar] [CrossRef]
- Huang, L.; Chen, H. Multi-band and polarization insensitive metamaterial absorber. Prog. Electromagn. Res. 2011, 113, 103–110. [Google Scholar] [CrossRef]
- Shen, X.; Cui, T.J.; Zhao, J.; Ma, H.F.; Jiang, W.X.; Li, H. Polarization-independent wide-angle triple-band metamaterial absorber. Opt. Express 2011, 19, 9401–9407. [Google Scholar] [CrossRef]
- Ye, Y.Q.; Jin, Y.; He, S. Omnidirectional, polarization-insensitive and broadband thin absorber in the terahertz regime. JOSA B 2010, 27, 498–504. [Google Scholar] [CrossRef]
- Lin, C.-H.; Chern, R.-L.; Lin, H.-Y. Polarization-independent broad-band nearly perfect absorbers in the visible regime. Opt. Express 2011, 19, 415–424. [Google Scholar] [CrossRef] [PubMed]
- Cui, Y.; Xu, J.; Hung Fung, K.; Jin, Y.; Kumar, A.; He, S.; Fang, N.X. A thin film broadband absorber based on multi-sized nanoantennas. Appl. Phys. Lett. 2011, 99, 253101. [Google Scholar] [CrossRef]
- Yuan, H.; Zhu, B.; Feng, Y. A frequency and bandwidth tunable metamaterial absorber in x-band. J. Appl. Phys. 2015, 117, 173103. [Google Scholar] [CrossRef]
- Huang, X.; He, W.; Yang, F.; Ran, J.; Yang, Q.; Xie, S. Thermally tunable metamaterial absorber based on strontium titanate in the terahertz regime. Opt. Mater. Express 2019, 9, 1377–1385. [Google Scholar] [CrossRef]
- Lei, L.; Lou, F.; Tao, K.; Huang, H.; Cheng, X.; Xu, P. Tunable and scalable broadband metamaterial absorber involving VO 2-based phase transition. Photonics Res. 2019, 7, 734–741. [Google Scholar] [CrossRef]
- Zhang, Y.; Feng, Y.; Zhu, B.; Zhao, J.; Jiang, T. Graphene based tunable metamaterial absorber and polarization modulation in terahertz frequency. Opt. Express 2014, 22, 22743–22752. [Google Scholar] [CrossRef]
- Tian, X.; Li, Z.-Y. Visible-near infrared ultra-broadband polarization-independent metamaterial perfect absorber involving phase-change materials. Photonics Res. 2016, 4, 146–152. [Google Scholar] [CrossRef]
- Su, Z.; Yin, J.; Zhao, X. Soft and broadband infrared metamaterial absorber based on gold nanorod/liquid crystal hybrid with tunable total absorption. Sci. Rep. 2015, 5, 1–9. [Google Scholar] [CrossRef]
- Fan, Z.; Razavi, H.; Do, J.-W.; Moriwaki, A.; Ergen, O.; Chueh, Y.-L.; Leu, P.W.; Ho, J.C.; Takahashi, T.; Reichertz, L.A. Three-dimensional nanopillar-array photovoltaics on low-cost and flexible substrates. Nat. Mater. 2009, 8, 648–653. [Google Scholar] [CrossRef]
- Yoo, M.; Kim, H.K.; Kim, S.; Tentzeris, M.; Lim, S. Silver nanoparticle-based inkjet-printed metamaterial absorber on flexible paper. IEEE Antennas Wirel. Propag. Lett. 2015, 14, 1718–1721. [Google Scholar] [CrossRef]
- Jiang, Z.H.; Wu, Q.; Wang, X.; Werner, D.H. Flexible wide-angle polarization-insensitive mid-infrared metamaterial absorbers. In Proceedings of the 2010 IEEE Antennas and Propagation Society International Symposium, Toronto, ON, Canada, 11–17 July 2010; pp. 1–4. [Google Scholar]
- Yahiaoui, R.; Guillet, J.P.; de Miollis, F.; Mounaix, P. Ultra-flexible multiband terahertz metamaterial absorber for conformal geometry applications. Opt. Lett. 2013, 38, 4988–4990. [Google Scholar] [CrossRef] [PubMed]
- Tao, H.; Bingham, C.; Strikwerda, A.; Pilon, D.; Shrekenhamer, D.; Landy, N.; Fan, K.; Zhang, X.; Padilla, W.; Averitt, R. Highly flexible wide angle of incidence terahertz metamaterial absorber: Design, fabrication, and characterization. Phys. Rev. B 2008, 78, 241103. [Google Scholar] [CrossRef]
- Bilal, R.; Baqir, M.; Choudhury, P.; Naveed, M.; Ali, M.; Rahim, A. Ultrathin broadband metasurface-based absorber comprised of tungsten nanowires. Results Phys. 2020, 19, 103471. [Google Scholar] [CrossRef]
- Tayebi, A.; Tang, J.; Paladhi, P.R.; Udpa, L.; Udpa, S.S.; Rothwell, E.J. Dynamic beam shaping using a dual-band electronically tunable reflectarray antenna. IEEE Trans. Antennas Propag. 2015, 63, 4534–4539. [Google Scholar] [CrossRef]
- Rotshild, D.; Rahamim, E.; Abramovich, A. Innovative reconfigurable metasurface 2-D beam-steerable reflector for 5G wireless communication. Electronics 2020, 9, 1191. [Google Scholar] [CrossRef]
- Chen, H.-T. Interference theory of metamaterial perfect absorbers. Opt. Express 2012, 20, 7165–7172. [Google Scholar] [CrossRef] [PubMed]






| Varactor State, C = 32 fF | Varactor State, C = 40 fF | ||||||||
|---|---|---|---|---|---|---|---|---|---|
| B | ALP | AHP | LOP | HOP | B | ALP | AHP | LOP | HOP |
| R = ∞ | 100 | 100 | 24.04 | 34.93 | R = ∞ | 99 | 92 | 22.916 | 32.629 |
| R = 10 | 100 | 100 | 24.025 | 34.85 | R = 10 | 93 | 98 | 23.30 | 32.60 |
| R = 8 | 100 | 100 | 24 | 34.5 | R = 8 | 93 | 98 | 23.30 | 32.55 |
| R = 4 | 99 | 97 | 24.025 | 34.62 | R = 4 | 93 | 97 | 23.30 | 32.525 |
| R = 2 | 99 | 94 | 24.07 | 34.62 | R = 2 | 90 | 94 | 23.325 | 32.45 |
| R = 1.5 | 98 | 91 | 24.20 | 36 | R = 1.5 | 85 | 93 | 23.325 | 32.50 |
| R = 1 | 55 | 95 | 23.25 | 34.025 | R = 1 | 37 | 97 | 22.65 | 32.375 |
| R = 0.7 | 0 | 93 | X | 35.40 | R = 0.7 | 0 | 98 | X | 33.325 |
| Varactor State, C = 48 fF | Varactor State, C = 56 fF | ||||||||
| R = ∞ | 99 | 91 | 22.396 | 31.576 | R = ∞ | 86 | 87 | 21.358 | 29.704 |
| R = 10 | 86 | 98 | 22.70 | 31.925 | R = 10 | 74 | 98 | 22.10 | 31.125 |
| R = 8 | 88 | 98 | 22.80 | 32.125 | R = 8 | 76 | 97 | 22.15 | 31.225 |
| R = 4 | 87 | 96 | 22.725 | 31.925 | R = 4 | 76 | 96 | 22.225 | 31.30 |
| R = 2 | 78 | 94 | 22.625 | 31.55 | R = 2 | 64 | 93 | 22.025 | 30.90 |
| R = 1.5 | 78 | 93 | 22.975 | 32.475 | R = 1.5 | 62 | 93 | 22.425 | 31.75 |
| R = 1 | 22 | 98 | 22.10 | 31.475 | R = 1 | 11 | 98 | 21.45 | 30.525 |
| R = 0.7 | 0 | 99 | X | 32.275 | R = 0.7 | 0 | 100 | X | 31.175 |
Publisher’s Note: MDPI stays neutral with regard to jurisdictional claims in published maps and institutional affiliations. |
© 2022 by the authors. Licensee MDPI, Basel, Switzerland. This article is an open access article distributed under the terms and conditions of the Creative Commons Attribution (CC BY) license (https://creativecommons.org/licenses/by/4.0/).
Share and Cite
Alsulami, Q.A.; Wageh, S.; Al-Ghamdi, A.A.; Bilal, R.M.H.; Saeed, M.A. A Tunable and Wearable Dual-Band Metamaterial Absorber Based on Polyethylene Terephthalate (PET) Substrate for Sensing Applications. Polymers 2022, 14, 4503. https://doi.org/10.3390/polym14214503
Alsulami QA, Wageh S, Al-Ghamdi AA, Bilal RMH, Saeed MA. A Tunable and Wearable Dual-Band Metamaterial Absorber Based on Polyethylene Terephthalate (PET) Substrate for Sensing Applications. Polymers. 2022; 14(21):4503. https://doi.org/10.3390/polym14214503
Chicago/Turabian StyleAlsulami, Qana A., S. Wageh, Ahmed A. Al-Ghamdi, Rana Muhammad Hasan Bilal, and Muhammad Ahsan Saeed. 2022. "A Tunable and Wearable Dual-Band Metamaterial Absorber Based on Polyethylene Terephthalate (PET) Substrate for Sensing Applications" Polymers 14, no. 21: 4503. https://doi.org/10.3390/polym14214503
APA StyleAlsulami, Q. A., Wageh, S., Al-Ghamdi, A. A., Bilal, R. M. H., & Saeed, M. A. (2022). A Tunable and Wearable Dual-Band Metamaterial Absorber Based on Polyethylene Terephthalate (PET) Substrate for Sensing Applications. Polymers, 14(21), 4503. https://doi.org/10.3390/polym14214503

