A Tractable, Transferable, and Empirically Consistent Fibrous Biomaterial Model
Abstract
1. Introduction
2. Methods
2.1. Model Domain, Volume Fraction, and Spatial Distribution of Fibers
2.2. Drawing Random Numbers from Probability Distributions
2.3. Fiber Diameters and Lengths
2.4. Fiber Orientations
2.5. Fiber Tortuosity
2.6. A Fiber as a Chain of Particles and Non-Penetration Conditions
2.7. Pore Size Measurement
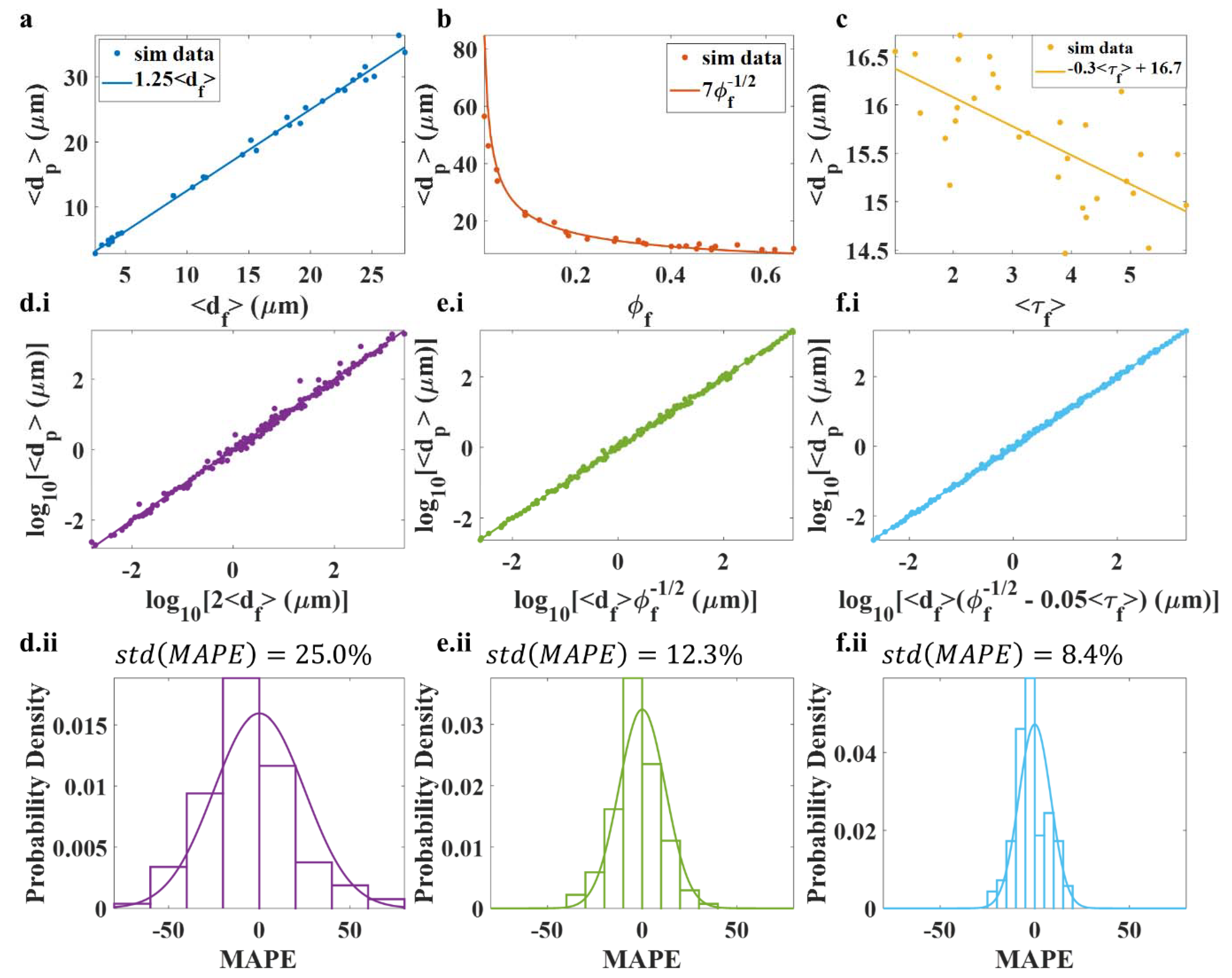
3. Results and Discussions
3.1. Relating de la Vallee Poussin Parameters Measured from 2D data to 3D Structures
3.2. Relating and to Fiber Tortuosity
3.3. Effect of Enforcing Non-Penetration on , , and Distributions
3.4. Pore size Distribution Analysis of FM Models
3.5. Limitations
4. Conclusions
Author Contributions
Funding
Institutional Review Board Statement
Informed Consent Statement
Data Availability Statement
Conflicts of Interest
References
- Shivers, J.L.; Feng, J.; van Oosten, A.S.; Levin, H.; Janmey, P.A.; MacKintosh, F.C. Compression stiffening of fibrous networks with stiff inclusions. Proc. Natl. Acad. Sci. USA 2020, 117, 21037–21044. [Google Scholar] [CrossRef] [PubMed]
- Zhang, Y.; Yu, J.; Wang, X.; Durachko, D.M.; Zhang, S.; Cosgrove, D.J. Molecular insights into the complex mechanics of plant epidermal cell walls. Science 2021, 372, 706–711. [Google Scholar] [CrossRef] [PubMed]
- Bruschke, M.; Advani, S. A numerical approach to model non-isothermal viscous flow through fibrous media with free surfaces. Int. J. Numer. Methods Fluids 1994, 19, 575–603. [Google Scholar] [CrossRef]
- Luu, H.T.; Perrot, C.; Panneton, R. Influence of porosity, fiber radius and fiber orientation on the transport and acoustic properties of random fiber structures. ACTA Acust. United Acust. 2017, 103, 1050–1063. [Google Scholar] [CrossRef]
- Domaschke, S.; Zündel, M.; Mazza, E.; Ehret, A.E. A 3D computational model of electrospun networks and its application to inform a reduced modelling approach. Int. J. Solids Struct. 2019, 158, 76–89. [Google Scholar] [CrossRef]
- Durville, D. Numerical simulation of entangled materials mechanical properties. J. Mater. Sci. 2005, 40, 5941–5948. [Google Scholar] [CrossRef]
- Islam, M.; Tudryn, G.J.; Picu, C.R. Microstructure modeling of random composites with cylindrical inclusions having high volume fraction and broad aspect ratio distribution. Comput. Mater. Sci. 2016, 125, 309–318. [Google Scholar] [CrossRef]
- García, G.D.; Sanchez-Varretti, F.O.; Centres, P.M.; Ramirez-Pastor, A.J. Random sequential adsorption of straight rigid rods on a simple cubic lattice. Phys. A Stat. Mech. Its Appl. 2015, 436, 558–564. [Google Scholar] [CrossRef]
- Karakoç, A.; Hiltunen, E.; Paltakari, J. Geometrical and spatial effects on fiber network connectivity. Compos. Struct. 2017, 168, 335–344. [Google Scholar] [CrossRef]
- Maze, B.; Tafreshi, H.V.; Wang, Q.; Pourdeyhimi, B. A simulation of unsteady-state filtration via nanofiber media at reduced operating pressures. J. Aerosol Sci. 2007, 38, 550–571. [Google Scholar] [CrossRef]
- Pan, Y.; Iorga, L.; Pelegri, A.A. Analysis of 3D random chopped fiber reinforced composites using FEM and random sequential adsorption. Comput. Mater. Sci. 2008, 43, 450–461. [Google Scholar] [CrossRef]
- Perino, E.J.; Matoz-Fernandez, D.A.; Pasinetti, P.M.; Ramirez-Pastor, A.J. Jamming and percolation in random sequential adsorption of straight rigid rods on a two-dimensional triangular lattice. J. Stat. Mech. Theory Exp. 2017, 2017, 073206. [Google Scholar] [CrossRef]
- Chapelle, L.; Brøndsted, P.; Kusano, Y.; Foldschack, M. Microstructural characterization of stone wool fibre network. In Proceedings of the 16th European Conference on Composite Materials, Seville, Spain, 22–26 June 2014. [Google Scholar]
- Jeulin, D. Random texture models for material structures. Stat. Comput. 2000, 10, 121–132. [Google Scholar] [CrossRef]
- Huang, X.; Zhou, W.; Deng, D. Effective diffusion in fibrous porous media: A comparison study between lattice Boltzmann and pore network modeling methods. Materials 2021, 14, 756. [Google Scholar] [CrossRef] [PubMed]
- Huang, X.; Zhou, W.; Deng, D.; Liu, B.; Jiang, K. The Impacts of Surface Microchannels on the Transport Properties of Porous Fibrous Media Using Stochastic Pore Network Modeling. Materials 2021, 14, 7546. [Google Scholar] [CrossRef] [PubMed]
- Deogekar, S.; Picu, R. On the strength of random fiber networks. J. Mech. Phys. Solids 2018, 116, 1–16. [Google Scholar] [CrossRef]
- Gostick, J.T. Random pore network modeling of GDLs using Voronoi and Delaunay tessellations. ECS Trans. 2011, 41, 125. [Google Scholar] [CrossRef]
- Gostick, J.T. Random pore network modeling of fibrous PEMFC gas diffusion media using Voronoi and Delaunay tessellations. J. Electrochem. Soc. 2013, 160, F731–F743. [Google Scholar] [CrossRef]
- Gostick, J.T. Versatile and efficient pore network extraction method using marker-based watershed segmentation. Phys. Rev. E 2017, 96, 023307. [Google Scholar] [CrossRef]
- Altendorf, H.; Jeulin, D. Stochastic Modeling of a Glass Fiber Reinforced Polymer; Springer: Berlin/Heidelberg, Germany, 2011. [Google Scholar]
- Altendorf, H.; Jeulin, D. Random-walk-based stochastic modeling of three-dimensional fiber systems. Phys. Rev. E 2011, 83, 041804. [Google Scholar] [CrossRef]
- Chapelle, L.; Lévesque, M.; Brøndsted, P.; Foldschack, M.; Kusano, Y. Generation of non-overlapping fiber architecture. In Proceedings of the 20th International Conference on Composite Materials (ICCM20), Copenhagen, Denmark, 19–24 July 2015. [Google Scholar]
- Dirrenberger, J.; Forest, S.; Jeulin, D. Towards gigantic RVE sizes for 3D stochastic fibrous networks. Int. J. Solids Struct. 2014, 51, 359–376. [Google Scholar] [CrossRef]
- Kärkkäinen, S.; Miettinen, A.; Turpeinen, T.; Nyblom, J.; Pötschke, P.; Timonen, J. A stochastic shape and orientation model for fibres with an application to carbon nanotubes. Image Anal. Stereol. 2012, 31, 17–26. [Google Scholar] [CrossRef]
- Luu, H.T.; Perrot, C.; Monchiet, V.; Panneton, R. Three-dimensional reconstruction of a random fibrous medium: Geometry, transport, and sound absorbing properties. J. Acoust. Soc. Am. 2017, 141, 4768–4780. [Google Scholar] [CrossRef] [PubMed]
- Schladitz, K.; Peters, S.; Reinel-Bitzer, D.; Wiegmann, A.; Ohser, J. Design of acoustic trim based on geometric modeling and flow simulation for non-woven. Comput. Mater. Sci. 2006, 38, 56–66. [Google Scholar] [CrossRef]
- Soto, M.; Esteva, M.; Martínez-Romero, O.; Baez, J.; Elías-Zúñiga, A. Modeling percolation in polymer nanocomposites by stochastic microstructuring. Materials 2015, 8, 6697–6718. [Google Scholar] [CrossRef]
- Gersh, K.; Edmondson, K.; Weisel, J. Flow rate and fibrin fiber alignment. J. Thromb. Haemost. 2010, 8, 2826–2828. [Google Scholar] [CrossRef]
- Kim, H.K.; Sohn, J.S.; Ryu, Y.; Kim, S.W.; Cha, S.W. Warpage Reduction of Glass Fiber Reinforced Plastic Using Microcellular Foaming Process Applied Injection Molding. Polymers 2019, 11, 360. [Google Scholar] [CrossRef]
- Mostaço-Guidolin, L.B.; Smith, M.S.; Hewko, M.; Schattka, B.; Sowa, M.G.; Major, A.; Ko, A.C.-T. Fractal dimension and directional analysis of elastic and collagen fiber arrangement in unsectioned arterial tissues affected by atherosclerosis and aging. J. Appl. Physiol. 2019, 126, 638–646. [Google Scholar] [CrossRef]
- Sun, M.; Bloom, A.B.; Zaman, M.H. Correction: Rapid Quantification of 3D Collagen Fiber Alignment and Fiber Intersection Correlations with High Sensitivity. PLoS ONE 2016, 11, e0157379. [Google Scholar] [CrossRef]
- Venu, L.B.S.; Shim, E.; Anantharamajah, N.; Pourdeyhimi, B. Three-dimensional structural characterization of nonwoven fabrics. Microsc. Microanal. 2012, 18, 1368–1379. [Google Scholar] [CrossRef]
- Li, Z.; Zhou, X.; Pei, C. Effect of sisal fiber surface treatment on properties of sisal fiber reinforced polylactide composites. Int. J. Polym. Sci. 2011, 2011, 803428. [Google Scholar] [CrossRef]
- Sakaguchi, A.; Kimura, H. Fiber orientation and aspect ratio calculation using image analysis. J. Text. Sci. Eng. 2015, 5, 187. [Google Scholar]
- Chapelle, L.; Lyckegaard, A.; Kusano, Y.; Gundlach, C.; Foldschack, M.R.; Lybye, D.; Brøndsted, P. Determination of the fibre orientation distribution of a mineral wool network and prediction of its transverse stiffness using X-ray tomography. J. Mater. Sci. 2018, 53, 6390–6402. [Google Scholar] [CrossRef]
- Farukh, F.; Demirci, E.; Sabuncuoglu, B.; Acar, M.; Pourdeyhimi, B.; Silberschmidt, V.V. Mechanical analysis of bi-component-fibre nonwovens: Finite-element strategy. Compos. Part B Eng. 2015, 68, 327–335. [Google Scholar] [CrossRef]
- Wu, X.; Pankow, M.; Huang, H.-Y.S.; Peters, K. High-speed polarization imaging of dynamic collagen fiber realignment in tendon-to-bone insertion region. J. Biomed. Opt. 2018, 23, 116002. [Google Scholar] [CrossRef] [PubMed]
- Seehaus, A.; Roebroeck, A.; Bastiani, M.; Fonseca, L.; Bratzke, H.; Lori, N.; Vilanova, A.; Goebel, R.; Galuske, R. Histological validation of high-resolution DTI in human post mortem tissue. Front. Neuroanat. 2015, 9, 98. [Google Scholar] [CrossRef] [PubMed]
- Hu, C.; Santi, M.; Adelaja, O.; Kajdacsy-Balla, A.; Popescu, G.; Kobak, W. Imaging collagen properties in the uterosacral ligaments of women with pelvic organ prolapse using spatial light interference microscopy (SLIM). Front. Phys. 2019, 7, 72. [Google Scholar] [CrossRef]
- Mottahedi, M.; Han, H.-C. Artery buckling analysis using a two-layered wall model with collagen dispersion. J. Mech. Behav. Biomed. Mater. 2016, 60, 515–524. [Google Scholar] [CrossRef][Green Version]
- Watson, S.R. Factors Influencing the Collagen Fiber Angle Distribution in the Mouse Aorta. Ph.D. Thesis, University of South Carolina, Columbia, SC, USA, 2016. [Google Scholar]
- Rawal, A.; Kameswara Roa, P.; Russell, S.; Jeganathan, A. Effect of fiber orientation on pore size characteristics of nonwoven structures. J. Appl. Polym. Sci. 2010, 118, 2668–2673. [Google Scholar] [CrossRef]
- Sizeland, K.H.; Basil-Jones, M.M.; Edmonds, R.L.; Cooper, S.M.; Kirby, N.; Hawley, A.; Haverkamp, R.G. Collagen orientation and leather strength for selected mammals. J. Agric. Food Chem. 2013, 61, 887–892. [Google Scholar] [CrossRef]
- Tan, G.Z.; Zhou, Y. Tunable 3D nanofiber architecture of polycaprolactone by divergence electrospinning for potential tissue engineering applications. Nano-Micro Lett. 2018, 10, 73. [Google Scholar] [CrossRef] [PubMed]
- Fu, S.-Y.; Lauke, B. Effects of fiber length and fiber orientation distributions on the tensile strength of short-fiber-reinforced polymers. Compos. Sci. Technol. 1996, 56, 1179–1190. [Google Scholar] [CrossRef]
- Kang, S.T.; Lee, B.Y.; Kim, J.-K.; Kim, Y.Y. The effect of fibre distribution characteristics on the flexural strength of steel fibre-reinforced ultra high strength concrete. Constr. Build. Mater. 2011, 25, 2450–2457. [Google Scholar] [CrossRef]
- Meng, W.; Khayat, K.H. Improving flexural performance of ultra-high-performance concrete by rheology control of suspending mortar. Compos. Part B Eng. 2017, 117, 26–34. [Google Scholar] [CrossRef]
- Piggott, M.R. Short fibre polymer composites: A fracture-based theory of fibre reinforcement. J. Compos. Mater. 1994, 28, 588–606. [Google Scholar] [CrossRef]
- Xia, M.; Hamada, H.; Maekawa, Z. Flexural stiffness of injection molded glass fiber reinforced thermoplastics. Int. Polym. Process. 1995, 10, 74–81. [Google Scholar] [CrossRef]
- Afrianti, Y.; Pasaribu, U.; Latief, F.; Ardy, H. Wood fiber modelling using stochastic models. IOP Conf. Ser. Mater. Sci. Eng. 2021, 1098, 062016. [Google Scholar] [CrossRef]
- Moakher, M.; Basser, P.J. Fiber orientation distribution functions and orientation tensors for different material symmetries. In Visualization and Processing of Higher Order Descriptors for Multi-Valued Data; Springer: Cham, Switzerland, 2015; pp. 37–71. [Google Scholar]
- Rathi, Y.; Michailovich, O.; Shenton, M.E.; Bouix, S. Directional functions for orientation distribution estimation. Med. Image Anal. 2009, 13, 432–444. [Google Scholar] [CrossRef]
- Rathi, Y.; Michailovich, O.; Bouix, S.; Shenton, M.E. Orientation distribution estimation for Q-ball imaging. In Proceedings of the 2008 IEEE Computer Society Conference on Computer Vision and Pattern Recognition Workshops, Anchorage, AK, USA, 23–28 June 2008. [Google Scholar]
- Schaeben, H. A simple standard orientation density function: The hyperspherical de la Vallée Poussin kernel. Phys. Status Solidi B 1997, 200, 367–376. [Google Scholar] [CrossRef]
- Huang, X.; Wen, D.; Zhao, Y.; Wang, Q.; Zhou, W.; Deng, D. Skeleton-based tracing of curved fibers from 3D X-ray microtomographic imaging. Results Phys. 2016, 6, 170–177. [Google Scholar] [CrossRef][Green Version]
- Luo, T.; Chen, H.; Kassab, G.S. Resliced image space construction for coronary artery collagen fibers. PLoS ONE 2017, 12, e0184972. [Google Scholar] [CrossRef] [PubMed]
- Lux, J. Automatic segmentation and structural characterization of low density fibreboards. Image Anal. Stereol. 2013, 32, 13–25. [Google Scholar] [CrossRef]
- Peyrega, C.; Jeulin, D.; Delisée, C.; Malvestio, J. 3D morphological modelling of a random fibrous network. Image Anal. Stereol. 2009, 28, 129–141. [Google Scholar] [CrossRef]
- Chow, M.-J.; Turcotte, R.; Lin, C.P.; Zhang, Y. Arterial extracellular matrix: A mechanobiological study of the contributions and interactions of elastin and collagen. Biophys. J. 2014, 106, 2684–2692. [Google Scholar] [CrossRef] [PubMed]
- Roy, S.; Boss, C.; Rezakhaniha, R.; Stergiopulos, N. Experimental characterization of the distribution of collagen fiber recruitment. J. Biorheol. 2010, 24, 84–93. [Google Scholar] [CrossRef]
- Zeinali-Davarani, S.; Chow, M.-J.; Turcotte, R.; Zhang, Y. Characterization of biaxial mechanical behavior of porcine aorta under gradual elastin degradation. Ann. Biomed. Eng. 2013, 41, 1528–1538. [Google Scholar] [CrossRef] [PubMed]
- Faessel, M.; Delisée, C.; Bos, F.; Castéra, P. 3D Modelling of random cellulosic fibrous networks based on X-ray tomography and image analysis. Compos. Sci. Technol. 2005, 65, 1931–1940. [Google Scholar] [CrossRef]
- Harper, L.; Qian, C.; Luchoo, R.; Warrior, N. 3D geometric modelling of discontinuous fibre composites using a force-directed algorithm. J. Compos. Mater. 2017, 51, 2389–2406. [Google Scholar] [CrossRef]
- Cork, J.; Whittaker, A.K.; Cooper-White, J.J.; Grøndahl, L. Electrospinning and mechanical properties of P (TMC-co-LLA) elastomers. J. Mater. Chem. B 2017, 5, 2263–2272. [Google Scholar] [CrossRef]
- Lang, N.R.; Münster, S.; Metzner, C.; Krauss, P.; Schürmann, S.; Lange, J.; Aifantis, K.E.; Friedrich, O.; Fabry, B. Estimating the 3D pore size distribution of biopolymer networks from directionally biased data. Biophys. J. 2013, 105, 1967–1975. [Google Scholar] [CrossRef]
- Lee, J.-W.; Lee, J.-W.; Jung, J.; Cho, Y.H.; Yadav, S.K.; Baek, K.Y.; Park, H.B.; Hong, S.M.; Koo, C.M. Fouling-tolerant nanofibrous polymer membranes for water treatment. ACS Appl. Mater. Interfaces 2014, 6, 14600–14607. [Google Scholar] [CrossRef] [PubMed]
- Shakil, U.A.; Hassan, S.B.; Yahya, M.Y.; Nauman, S. Mechanical properties of electrospun nanofiber reinforced/interleaved epoxy matrix composites—A review. Polym. Compos. 2020, 41, 2288–2315. [Google Scholar] [CrossRef]
- Kornilov, A.S.; Safonov, I.V. An overview of watershed algorithm implementations in open source libraries. J. Imaging 2018, 4, 123. [Google Scholar] [CrossRef]
- Koch, R.G.; Tsamis, A.; D’Amore, A.; Wagner, W.R.; Watkins, S.C.; Gleason, T.G.; Vorp, D.A. A custom image-based analysis tool for quantifying elastin and collagen micro-architecture in the wall of the human aorta from multi-photon microscopy. J. Biomech. 2014, 47, 935–943. [Google Scholar] [CrossRef] [PubMed]
- Wang, R.; Hsiao, B.S.; Chu, B. Electrospun Nanofibrous Membranes for Liquid Filtration. In Electrospun Nanofibers for Energy and Environmental Applications; Springer: Berlin/Heidelberg, Germany, 2014; pp. 325–354. [Google Scholar]
- Simmonds, G.E.; Bomberger, J.D.; Bryner, M.A. Designing nonwovens to meet pore size specifications. J. Eng. Fibers Fabr. 2007, 2, 1–13. [Google Scholar] [CrossRef]
- Kim, O.V.; Xu, Z.; Rosen, E.D.; Alber, M.S. Fibrin networks regulate protein transport during thrombus development. PLoS Comput. Biol. 2013, 9, e1003095. [Google Scholar] [CrossRef] [PubMed]
- Bizet, L.; Gueret, S.; Ré, C.; Ouagne, P. Comparison between Glass and Flax Non-Crimp Stitched Fabrics. In Proceedings of the 18th International Conference on Composite Materials, Jeju, Korea, 21–26 August 2011. [Google Scholar]
- Du, W.; Xue, N.; Shyy, W.; Martins, J.R. A surrogate-based multi-scale model for mass transport and electrochemical kinetics in lithium-ion battery electrodes. J. Electrochem. Soc. 2014, 161, E3086–E3096. [Google Scholar] [CrossRef]





| Fibrin | Stone wool | Polyester | Collagen | |
|---|---|---|---|---|
| 1 | 3 | 2 | 2 | |
| (Measured) | 0.98 | 5.25, 5.25, 5.25 | 2.50, 2.50 | 4.00, 2.20 |
| (Equation (18)) | 0.37 | 3.41, 3.41, 3.41 | 1.33, 1.33 | 2.12, 1.17 |
Publisher’s Note: MDPI stays neutral with regard to jurisdictional claims in published maps and institutional affiliations. |
© 2022 by the authors. Licensee MDPI, Basel, Switzerland. This article is an open access article distributed under the terms and conditions of the Creative Commons Attribution (CC BY) license (https://creativecommons.org/licenses/by/4.0/).
Share and Cite
Filla, N.; Zhao, Y.; Wang, X. A Tractable, Transferable, and Empirically Consistent Fibrous Biomaterial Model. Polymers 2022, 14, 4437. https://doi.org/10.3390/polym14204437
Filla N, Zhao Y, Wang X. A Tractable, Transferable, and Empirically Consistent Fibrous Biomaterial Model. Polymers. 2022; 14(20):4437. https://doi.org/10.3390/polym14204437
Chicago/Turabian StyleFilla, Nicholas, Yiping Zhao, and Xianqiao Wang. 2022. "A Tractable, Transferable, and Empirically Consistent Fibrous Biomaterial Model" Polymers 14, no. 20: 4437. https://doi.org/10.3390/polym14204437
APA StyleFilla, N., Zhao, Y., & Wang, X. (2022). A Tractable, Transferable, and Empirically Consistent Fibrous Biomaterial Model. Polymers, 14(20), 4437. https://doi.org/10.3390/polym14204437

