Investigations of Thermal, Mechanical, and Gas Barrier Properties of PA11-SiO2 Nanocomposites for Flexible Riser Application
Abstract
1. Introduction
2. Materials and Methods
2.1. Materials
2.2. Fabrication of PA11/SiO2 Composites
2.3. Morphology Characterization
2.4. Structure Characterizations
2.5. Thermal Analysis
2.6. Mechanical Properties
2.7. Gas Barrier Test
3. Results and Discussion
3.1. Morphology Characterization
3.2. DSC Characterization
3.3. Structure Characterization
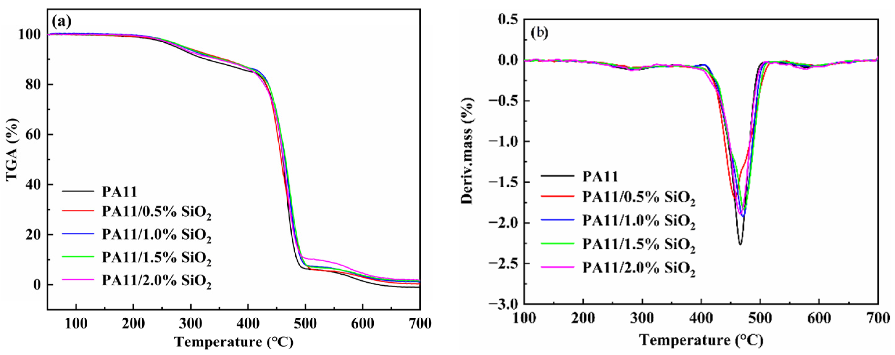
3.4. Mechanical and Thermal Stability Characterization
3.5. CO2 Permeability Characterization and Behavior Analysis
4. Conclusions
Supplementary Materials
Author Contributions
Funding
Institutional Review Board Statement
Informed Consent Statement
Data Availability Statement
Conflicts of Interest
References
- Martins, O.D.C.; Souza, R.R.; Lima, R.S.T.; Reguly, A. Development of micromagnetic techniques for stress analysis in flexible risers. Rev. Matéria 2011, 16, 613–620. [Google Scholar]
- Ossai, C.I.; Boswell, B.; Davies, I.J. Pipeline failures in corrosive environments—A conceptual analysis of trends and effects. Eng. Fail. Anal. 2015, 53, 36–58. [Google Scholar] [CrossRef]
- Tiu, B.; Advincula, R.C. Polymeric corrosion inhibitors for the oil and gas industry: Design principles and mechanism. React. Funct. Polym. 2015, 95, 25–45. [Google Scholar] [CrossRef]
- Pottmaier, D.; Melo, C.R.; Sartor, M.N.; Kuester, S.; Amadio, T.M.; Fernandes, C.; Marinha, D.; Alarcon, O.E. The Brazilian energy matrix: From a materials science and engineering perspective. Renew. Sustain. Energy Rev. 2013, 19, 678–691. [Google Scholar] [CrossRef]
- Frederico, G.D.A.; Veiga, A.G.; da CP Gomes, A.P.A.; da Costa, M.F.; Rocco, M.L.M. Using XPS and FTIR spectroscopies to investigate polyamide 11 degradation on aging flexible risers—ScienceDirect. Polym. Degrad. Stab. 2021, 195, 109787. [Google Scholar]
- Simek, J.; Dockalova, V.; Hrdlicka, Z.; Duchacek, V. Effect of liquid butadiene rubber on mechanical properties of polyamide 11/polyamide 12 blends. J. Polym. Eng. 2015, 35, 349–357. [Google Scholar] [CrossRef]
- Liu, T.; Lim, K.P.; Tjiu, W.C.; Pramoda, K.P.; Chen, Z.K. Preparation and characterization of nylon 11/organoclay nanocomposites. Polymer 2003, 44, 3529–3535. [Google Scholar] [CrossRef]
- Wang, B.B.; Hu, G.S.; Zhao, X. Preparation and characterization of nylon 6 11 copolymer. Mater. Lett. 2006, 60, 2715–2717. [Google Scholar] [CrossRef]
- Mago, G.; Kalyon, D.M.; Fisher, F.T. Nanocomposites of polyamide-11 and carbon nanostructures: Development of microstructure and ultimate properties following solution processing. J. Polym. Sci. Part B Polym. Phys. 2011, 49, 1311–1321. [Google Scholar] [CrossRef]
- Moshynets, O.; Bardeau, J.F.; Tarasyuk, O.; Makhno, S.; Cherniavska, T.; Zhuzha, O.D.; Potters, G.; Rogalsky, S. Antibiofilm Activity of Polyamide 11 Modified with Thermally Stable Polymeric Biocide Polyhexamethylene Guanidine 2-Naphtalenesulfonate. Int. J. Mol. Sci. 2019, 20, 348. [Google Scholar] [CrossRef]
- Zhan, H.; Nie, Y.; Chen, Y.; Bell, J.M.; Gu, Y. Thermal transport in 3D nanostructures. Adv. Funct. Mater. 2020, 30, 1903841. [Google Scholar] [CrossRef]
- Naskar, A.K.; Keum, J.K.; Boeman, R.G. Polymer matrix nanocomposites for automotive structural components. Nat. Nanotechnol. 2016, 11, 1026–1030. [Google Scholar] [CrossRef] [PubMed]
- Anguita, J.V.; Smith, C.; Stute, T.; Funke, M.; Silva, S. Publisher Correction: Dimensionally and environmentally ultra-stable polymer composites reinforced with carbon fibres. Nat. Mater. 2020, 19, 317–322. [Google Scholar] [CrossRef] [PubMed]
- Medeiros, D.; Jardim, P.; de Tatagiba, M.; d’Almeida, J. Composites of recycled nylon 11 and titanium based nanofillers. Polym. Test. 2015, 42, 108–114. [Google Scholar] [CrossRef]
- Petrovicova, E.; Knight, R.; Schadler, L.S.; Twardowski, T.E. Nylon 11/silica nanocomposite coatings applied by the HVOF process. II. Mechanical and barrier properties. J. Appl. Polym. Sci. 2015, 78, 2272–2289. [Google Scholar] [CrossRef]
- Rodrigues, A.D.C.; Bastos, I.N.; Kappel, M.A.A.; Nascimento, C.R.; Ferreira, L.S.; da Silva, A.L.N. Micromechanical Property Study of Nylon 11 and Organoclay Systems for Offshore Flexible Pipe. Fibers Polym. 2021, 22, 3172–3182. [Google Scholar] [CrossRef]
- Da Cruz, B.D.S.M.; Tienne, L.G.P.; Gondim, F.F.; Candido, L.d.; Chaves, E.G.; Marques, M.D.F.V.; da Luz, F.S.; Monteiro, S.N. Graphene nanoplatelets reinforced Polyamide-11 nanocomposites thermal stability and aging for application in flexible pipelines. J. Mater. Res. Technol. 2022, 18, 1842–1854. [Google Scholar] [CrossRef]
- Santos, B.P.S.; Arias, J.J.R.; Jorge, F.E.; Santos, R.E.P.D.; Fernandes, B.S.; Candido, L.D.; Peres, A.C.D.; Chaves, E.G.; Marques, M.D.F.V. Preparation, characterization and permeability evaluation of poly (vinylidene fluoride) composites with ZnO particles for flexible pipelines. Polym. Test. 2021, 94, 107064. [Google Scholar] [CrossRef]
- Santos, B.P.S.; Arias, J.J.R.; Jorge, F.E.; Santos, R.E.P.D.; Gondim, F.F.; Fernandes, B.S.; Candido, L.S.; Peres, A.C.C.; Gervasoni, E.; Marques, M.D.V. Synthesis and characterization of poly(vinylidene fuoride) composites with flower-like ZnO particles for flexible pipelines applications. J. Mater. Res. Technol. 2021, 13, 99–110. [Google Scholar] [CrossRef]
- Santos, B.P.S.; Arias, J.J.R.; Jorge, F.E.; Santos, R.E.P.D.; Fernandes, B.S.; Candido, L.S.; Peres, A.C.C.; Chaves, E.G.; Marques, V.M.F. PVDF containing different oxide nanoparticles for application in oil and gas pipelines. Mater. Today Commun. 2021, 26, 101743. [Google Scholar] [CrossRef]
- Gondim, F.F.; Tienne, L.; Cruz, B.; Chaves, E.G.; Marques, M.V. Poly(vinylidene fluoride) with zinc oxide and carbon nanotubes applied to pressure sheath layers in oil and gas pipelines. J. Appl. Polym. Sci. 2020, 138, 50157. [Google Scholar] [CrossRef]
- Wang, B.; Wang, L.; Wang, Y.; Zhou, Z. Unusual toughening effect of graphene oxide on the graphene oxide/nylon 11 composites prepared by in situ melt polycondensation. Compos. Part B Eng. 2013, 55, 215–220. [Google Scholar] [CrossRef]
- Lebaupin, Y.; Chauvin, M.; Hoang, T.-Q.T.; Touchard, F.; Beigbeder, A. Influence of constituents and process parameters on mechanical properties of flax fibre-reinforced polyamide 11 composite. J. Thermoplast. Compos. Mater. 2016, 30, 1503–1521. [Google Scholar] [CrossRef]
- Wijmans, J.G.; Baker, R.W. The solution-diffusion model: A review. J. Membr. Sci. 1995, 107, 1–21. [Google Scholar] [CrossRef]
- Bastani, D.; Esmaeili, N.; Asadollahi, M. Polymeric mixed matrix membranes containing zeolites as a filler for gas separation applications: A review. J. Ind. Eng. Chem. 2013, 19, 375–393. [Google Scholar] [CrossRef]
- Amooghin, A.E.; Shehni, P.M.; Ghadimi, A.; Sadrzadeh, M.; Mohammadi, T. Mathematical modeling of mass transfer in multicomponent gas mixture across the synthesized composite polymeric membrane. J. Ind. Eng. Chem. 2013, 19, 870–885. [Google Scholar] [CrossRef]
- Arjmandi, M.; Pakizeh, M. Mixed matrix membranes incorporated with cubic-MOF-5 for improved polyetherimide gas separation membranes: Theory and experiment. J. Ind. Eng. Chem. 2014, 20, 3857–3868. [Google Scholar] [CrossRef]
- Flaconneche, B.; Martin, J.; Klopffer, M.H. Permeability, Diffusion and Solubility of Gases in Polyethylene, Polyamide 11 and Poly (Vinylidene Fluoride). Oil Gas Sci. Technol. 2001, 56, 261–278. [Google Scholar] [CrossRef]
- Zhang, Q.; Yu, M.; Fu, Q. Crystal morphology and crystallization kinetics of polyamide-11/clay nanocomposites. Polym. Int. 2004, 53, 1941–1949. [Google Scholar] [CrossRef]
- Peng, S.X.; Shrestha, S.; Youngblood, J.P. Crystal structure transformation and induction of shear banding in Polyamide 11 by surface modified Cellulose Nanocrystals. Polymer 2017, 114, 88–102. [Google Scholar] [CrossRef]
- Lonjon, A.; Caffrey, I.; Carponcin, D.; Dantras, E.; Lacabanne, C. High electrically conductive composites of Polyamide 11 filled with silver nanowires: Nanocomposites processing, mechanical and electrical analysis. J. Non-Cryst. Solids 2013, 376, 199–204. [Google Scholar] [CrossRef]
- Hua, Z.; Shi, X.; Chen, Y. Preparation, structure, and property of highly filled polyamide 11/BaTiO3 piezoelectric composites prepared through solid-state mechanochemical method. Polym. Compos. 2017, 40, 177–185. [Google Scholar]
- Wan, J.; Bu, Z.Y.; Li, C.; Hong, F.; Li, B.G. Preparation, melting, glass relaxation and nonisothermal crystallization kinetics of a novel dendritic nylon-11. Thermochim. Acta 2011, 524, 117–127. [Google Scholar] [CrossRef]
- Dechet, M.A.; Goblirsch, A.; Romeis, S.; Zhao, M.; Lanyi, F.J.; Kaschta, J.; Schubert, D.W.; Drummer, D.; Peukert, W.; Schmidt, J. Production of polyamide 11 microparticles for Additive Manufacturing by liquid-liquid phase separation and precipitation. Chem. Eng. Sci. 2019, 197, 11–25. [Google Scholar] [CrossRef]
- Huang, Y.Q.; Dai, D.D.; Li, H.B.; Sun, L.; Runt, J.; Huang, K.S.; Yeh, J.T. Oxygen barrier, free volume, and blending properties of fully bio-based polyamide 11/poly(vinyl alcohol) blends. J. Appl. Polym. Sci. 2019, 137, 48562. [Google Scholar] [CrossRef]
- Domingos, E.; Pereira, T.M.C.; Castro, E.V.R.D.; Romao, W.; Guimaraes, R.C.L. Monitoring the Degradation of Polyamide 11 (PA-11) via Fourier Transform Infrared Spectroscopy (FTIR). Polimeros 2013, 23, 37–41. [Google Scholar] [CrossRef]
- Yang, X.; Wang, H.; Chen, J.; Fu, Z.; Zhao, X.; Li, Y. Copolymers containing two types of reactive groups: New compatibilizer for immiscible PLLA/PA11 polymer blends. Polymer 2019, 177, 139–148. [Google Scholar] [CrossRef]
- Jubinville, D.; Chang, B.P.; Pin, J.-M.; Mohanty, A.K.; Misra, M. Synergistic thermo-oxidative maleation of PA11 as compatibilization strategy for PA6 and PBT blend. Polymer 2019, 179, 121594. [Google Scholar] [CrossRef]
- Halim, K.; Farrell, J.B.; Kennedy, J.E. Preparation and characterisation of polyamide 11/montmorillonite (MMT) nanocomposites for use in angioplasty balloon applications. Mater. Chem. Phys. 2013, 143, 336–348. [Google Scholar] [CrossRef]
- Gaabour, L.H. Influence of silica nanoparticles incorporated with chitosan/polyacrylamide polymer nanocomposites. J. Mater. Res. Technol. 2019, 8, 2157–2163. [Google Scholar] [CrossRef]
- Do, V.-T.; Chun, D.-M. Fabrication of large-scale, flexible, and robust superhydrophobic composite films using hydrophobic fumed silica nanoparticles and polydimethylsiloxane. Polymer 2022, 244, 124630. [Google Scholar] [CrossRef]
- Ramalla, I.; Gupta, R.K.; Bansal, K. Effect on superhydrophobic surfaces on electrical porcelain insulator, improved technique at polluted areas for longer life and reliability. Int. J. Eng. Technol. 2015, 4, 509–519. [Google Scholar] [CrossRef]
- Mancic, L.; Pontón, P.I.; Letichevsky, S.; Costa, A.M.; Marinkovic, B.A.; Rizzo, F.C. Application of silane grafted titanate nanotubes in reinforcing of polyamide 11 composites. Compos. Part B Eng. 2016, 93, 153–162. [Google Scholar] [CrossRef]
- Yamunadevi, V.; Vijayanand, G.; Ganeshan, P.; Sowmiya, S.; Raja, K. Effect on the behaviour of dynamic mechanical analysis for hybrid epoxy nanocomposite. Mater. Today Proc. 2020, 37, 223–227. [Google Scholar] [CrossRef]
- Nicharat, A.; Sapkota, J.; Weder, C.; Foster, E.J. Melt processing of polyamide 12 and cellulose nanocrystals nanocomposites. J. Appl. Polym. Sci. 2015, 132, 42752. [Google Scholar] [CrossRef]
- Aroon, M.A.; Ismail, A.F.; Matsuura, T.; Montazer-Rahmati, M.M. Performance studies of mixed matrix membranes for gas separation: A review. Sep. Purif. Technol. 2010, 75, 229–242. [Google Scholar] [CrossRef]
- Moore, T.T.; Koros, W.J. Non-ideal effects in organic–inorganic materials for gas separation membranes. J. Mol. Struct. 2005, 739, 87–98. [Google Scholar] [CrossRef]
- Chung, T.S.; Lan, Y.J.; Yi, L.; Kulprathipanja, S. Mixed matrix membranes (MMMs) comprising organic polymers with dispersed inorganic fillers for gas separation. Prog. Polym. Sci. 2007, 32, 483–507. [Google Scholar] [CrossRef]
- Bugatti, V.; Bernardo, P.; Clarizia, G.; Viscusi, G.; Vertuccio, L.; Gorrasi, G. Ball Milling to Produce Composites Based of Natural Clinoptilolite as a Carrier of Salicylate in Bio-Based PA11. Polymers 2019, 11, 634. [Google Scholar] [CrossRef]
- Wu, B.; Firouzi, M.; Mitchell, T.; Rufford, T.E.; Leonardi, C.; Towler, B. A critical review of flow maps for gas-liquid flows in vertical pipes and annuli. Chem. Eng. J. 2017, 326, 350–377. [Google Scholar] [CrossRef]
- Klepić, M.; Jansen, J.C.; Fuoco, A.; Esposito, E.; Izák, P.; Petrusová, Z.; Vankelecom, I.F.; Randová, A.; Fíla, V.; Lanč, M. Gas separation performance of carbon dioxide-selective poly (vinyl alcohol)–ionic liquid blend membranes: The effect of temperature, feed pressure and humidity. Sep. Purif. Technol. 2021, 270, 118812. [Google Scholar] [CrossRef]
- Rabiee, H.; Alsadat, S.M.; Soltanieh, M.; Mousavi, S.A.; Ghadimi, A. Gas permeation and sorption properties of poly (amide-12-b-ethyleneoxide)(Pebax1074)/SAPO-34 mixed matrix membrane for CO2/CH4 and CO2/N2 separation. J. Ind. Eng. Chem. 2015, 27, 223–239. [Google Scholar] [CrossRef]
- Salahshoori, I.; Seyfaee, A.; Babapoor, A.; Neville, F.; Moreno-Atanasio, R. Evaluation of the effect of silica nanoparticles, temperature and pressure on the performance of PSF/PEG/SiO2 mixed matrix membranes: A molecular dynamics simulation (MD) and design of experiments (DOE) study. J. Mol. Liq. 2021, 333, 115957. [Google Scholar] [CrossRef]
- Gouveia, A.S.; Yanez, M.; Alves, V.D.; Palomar, J.; Moya, C.; Gorri, D.; Tomé, L.C.; Marrucho, I.M. CO2/H2 separation through poly (ionic liquid)–ionic liquid membranes: The effect of multicomponent gas mixtures, temperature and gas feed pressure. Sep. Purif. Technol. 2021, 259, 118113. [Google Scholar] [CrossRef]
- Zhang, B.; Qiao, J.; Wu, D.; He, X.; Liu, J.; Yi, C.; Qi, S. Enhanced Gas Separation by Free Volume Tuning in a Crown Ether-Containing Polyimide Membrane. Sep. Purif. Technol. 2022, 293, 121116. [Google Scholar] [CrossRef]
- Ash, R.; Barrer, R.M.; Palmer, D.G. Solubility and transport of gases in nylon and polyethylene. Polymer 1970, 11, 421–435. [Google Scholar] [CrossRef]
- Vrentas, J.S.; Duda, J.L. Diffusion in polymer—Solvent systems. I. Reexamination of the free-volume theory. J. Polym. Sci. Polym. Phys. Ed. 1977, 15, 403–416. [Google Scholar] [CrossRef]
- Vrentas, J.S.; Duda, J.L. Diffusion in polymer—Solvent systems. II. A predictive theory for the dependence of diffusion coefficients on temperature, concentration, and molecular weight. J. Polym. Sci. Polym. Phys. Ed. 1977, 15, 417–439. [Google Scholar] [CrossRef]
- Xiao, Y.; Low, B.T.; Hosseini, S.S.; Chung, T.S.; Paul, D.R. The strategies of molecular architecture and modification of polyimide-based membranes for CO2 removal from natural gas—A review. Prog. Polym. Sci. 2009, 34, 561–580. [Google Scholar] [CrossRef]












| Sample | Tc/°C | ΔHc/J·g−1 | Tm/°C | ΔHm/J·g−1 | Xc/% |
|---|---|---|---|---|---|
| PA11 | 153.3 | 52.50 | 181.7 | 53.39 | 23.63 |
| PA11/0.5% SiO2 | 156.1 | 54.00 | 181.8 | 54.50 | 24.13 |
| PA11/1.0% SiO2 | 156.3 | 51.67 | 181.7 | 52.23 | 23.13 |
| PA11/1.5% SiO2 | 156.4 | 52.98 | 181.9 | 53.67 | 23.76 |
| PA11/2.0% SiO2 | 155.8 | 53.48 | 181.7 | 54.54 | 24.15 |
| Sample | Tensile Strength (MPa) | Elongation at Break (%) | Elasticity Modulus (MPa) |
|---|---|---|---|
| PA11 | 78.5 ± 3.6 | 447.7 ± 12.7 | 89.9 ± 4.6 |
| PA11/0.5%SiO2 | 74.1 ± 2.3 | 425.6 ± 16.6 | 92.7 ± 9.8 |
| PA11/1.0%SiO2 | 73.9 ± 3.0 | 413.8 ± 9.9 | 97.2 ± 7.4 |
| PA11/1.5%SiO2 | 72.0 ± 2.7 | 406.9 ± 12.5 | 97.9 ± 3.7 |
| PA11/2.0%SiO2 | 71.0 ± 2.1 | 399.1 ± 13.5 | 97.4 ± 8.8 |
| Samples | PA11 | PA11/ 0.5% SiO2 | PA11/ 1.0% SiO2 | PA11/ 1.5% SiO2 | PA11/ 2.0% SiO2 | Reference |
|---|---|---|---|---|---|---|
| EP (kJ/mol) | 31.94 | 32.81 | 30.63 | 30.99 | 31.08 | 35 [28], 34 [56] |
| ED (kJ/mol) | 45.74 | 46.17 | 46.22 | 50.79 | 48.40 | 40 [28], 52 [56] |
| ΔHS (kJ/mol) | −13.80 | −13.36 | −15.58 | −19.80 | −17.31 | (−10)–(−4) [28] (−18)–(−13) [56] |
Publisher’s Note: MDPI stays neutral with regard to jurisdictional claims in published maps and institutional affiliations. |
© 2022 by the authors. Licensee MDPI, Basel, Switzerland. This article is an open access article distributed under the terms and conditions of the Creative Commons Attribution (CC BY) license (https://creativecommons.org/licenses/by/4.0/).
Share and Cite
Wen, J.; Huang, D.; Li, Y.; Yu, X.; Zhang, X.; Meng, X.; Cong, C.; Zhou, Q. Investigations of Thermal, Mechanical, and Gas Barrier Properties of PA11-SiO2 Nanocomposites for Flexible Riser Application. Polymers 2022, 14, 4260. https://doi.org/10.3390/polym14204260
Wen J, Huang D, Li Y, Yu X, Zhang X, Meng X, Cong C, Zhou Q. Investigations of Thermal, Mechanical, and Gas Barrier Properties of PA11-SiO2 Nanocomposites for Flexible Riser Application. Polymers. 2022; 14(20):4260. https://doi.org/10.3390/polym14204260
Chicago/Turabian StyleWen, Jihong, Dong Huang, Yan Li, Xichong Yu, Xinpeng Zhang, Xiaoyu Meng, Chuanbo Cong, and Qiong Zhou. 2022. "Investigations of Thermal, Mechanical, and Gas Barrier Properties of PA11-SiO2 Nanocomposites for Flexible Riser Application" Polymers 14, no. 20: 4260. https://doi.org/10.3390/polym14204260
APA StyleWen, J., Huang, D., Li, Y., Yu, X., Zhang, X., Meng, X., Cong, C., & Zhou, Q. (2022). Investigations of Thermal, Mechanical, and Gas Barrier Properties of PA11-SiO2 Nanocomposites for Flexible Riser Application. Polymers, 14(20), 4260. https://doi.org/10.3390/polym14204260

