Color Changes and Mechanical Properties of Glass Fiber Reinforced Polycarbonate Composites after Thermal Aging
Abstract
:1. Introduction
2. Materials and Methods
2.1. Materials
2.2. Properties Tests
3. Results
4. Conclusions
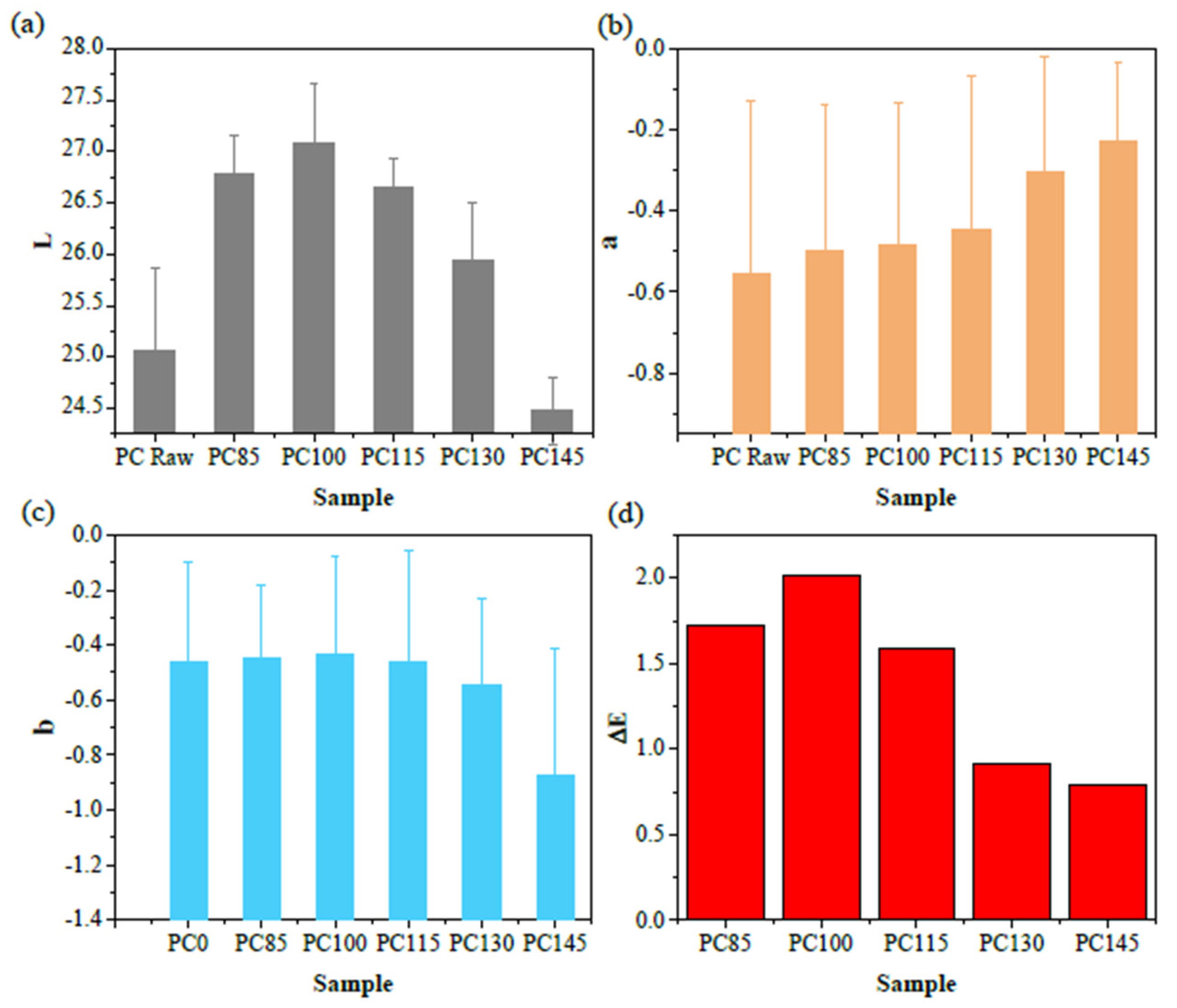
- Comparing with the raw GF-PC composite, the color of the composites after aging at high temperatures changed obviously. The color difference (ΔE) is mainly reflected in brightness of the composites, which increased for 85 °C and 100 °C, but decreased after aging at high temperature.
- The tensile and flexural strength of the composites reached the maximum value of 72 MPa and 131 MPa, respectively, after aging at 100 °C for 8 h, which is of guiding significance to improve the mechanical properties of industrial GF-PC composites.
- In the aging temperature range of 85 °C to 145 °C, the mechanical properties are closely related to the color difference of the GF-PC composites. It can be inferred that the trend of changes in the brightness of the composites is consistent with trends of changes observed in its tensile strength and flexural strength.
Author Contributions
Funding
Acknowledgments
Conflicts of Interest
References
- Morampudi, P.; Namala, K.K.; Gajjela, Y.K.; Barath, M.; Prudhvi, G. Review on glass fiber reinforced polymer composites. Mater. Today Proc. 2021, 43, 314–319. [Google Scholar] [CrossRef]
- Sharma, V.; Meena, M.L.; Kumar, M. Mechanical properties of unfilled and particulate filled glass fiber reinforced polymer composites—A review. AIP Conf. Proc. 2019, 2057, 20037. [Google Scholar] [CrossRef]
- Sathishkumar, T.P.; Satheeshkumar, S.; Naveen, J. Glass fiber-reinforced polymer composites—A review. J. Reinf. Plast. Compos. 2014, 33, 1258–1275. [Google Scholar] [CrossRef]
- Harizi, W.; Chaki, S.; Bourse, G.; Ourak, M. Mechanical damage assessment of Glass Fiber-Reinforced Polymer composites using passive infrared thermography. Compos. Part B Eng. 2014, 59, 74–79. [Google Scholar] [CrossRef]
- Awan, G.H.; Ali, L.; Karim, M.R.A.; Ulhaq, E. Effect of Various Forms of Glass Fiber Reinforcements on Tensile Properties of Polyester Matrix Composite. J. Fac. Eng. Technol. 2010, 16, 33–39. [Google Scholar]
- Sanjay, M.R.; Arpitha, G.R.; Yogesha, B. Study on mechanical properties of natural-glass fibre reinforced polymer hybrid composites: A review. Mater. Today Proc. 2015, 2, 2959–2967. [Google Scholar] [CrossRef]
- Gao, Y.; Wang, Z.; Lu, S.; Bao, J.; Guo, Y.; Dong, S. Main Influential Factors of Fatigue Properties of Fiber Reinforced Composites Laminates. Aviat. Manuf. Technol. 2013, 15, 91–95. [Google Scholar]
- Zheng, C.; Wang, L.; Li, R.; Wei, Z.; Zhou, W. Fatigue test of carbon epoxy composite high pressure hydrogen storage vessel under hydrogen environment. J. Zhejiang Univ. Sci. A 2013, 14, 393–400. [Google Scholar] [CrossRef] [Green Version]
- Raji, M.; Zari, N.; Bouhfid, R. Durability of composite materials during hydrothermal and environmental aging. In Durability and Life Prediction in Biocomposites, Fibre-Reinforced Composites and Hybrid Composite; Woodhead Publishing: Cambridge, UK, 2019; pp. 83–119. [Google Scholar]
- Banna, M.H.; Shirokoff, J.; Molgaard, J. Effects of two aqueous acidic solutions on polyester and bisphenol A epoxy vinyl ester resins. Mater. Sci. Eng. A 2011, 528, 2137–2142. [Google Scholar] [CrossRef]
- Amaro, A.M.; Reis, P.N.B.; Neto, M.A.; Louro, C. Effect of different acid solutions on glass/epoxy composites. J. Reinf. Plast. Compos. 2013, 32, 1018–1029. [Google Scholar] [CrossRef]
- Wang, M.; Song, H.; Guo, J. Thermo-Oxidative Aging and Thermal Degradation Kinetics of the Flame Retardant Glass Fiber Reinforced Nylon 10T Composites. Mater. Rev. 2018, 32, 1344–1351. [Google Scholar]
- Han, Y.Z.; LI, J.; Zhang, D.P.; Kang, S.; Ma, P.; Zhou, S. Effects of multiple factors on thermal aging properties of glass fiber/epoxy composites using in-situ monitoring. Acta Mater. Compos. Sin. 2020, 37, 1531–1538. [Google Scholar]
- Gao, K.; Shi, H.; Sun, B.; Wang, Z.; Yang, Z.; Xing, Y.; Yang, Y. Effects of hydro-thermal aging on properties of glass fiber/epoxy composites. Acta Mater. Compos. Sin. 2016, 33, 1147–1152. [Google Scholar]
- Wang, G.; Sun, Y.; Jiang, W.; Wang, X. Thermal Aging Properties of GF Reinforced Epoxy Vinyl Ester Resin Matrix Composites. Eng. Plast. Appl. 2017, 45, 6. [Google Scholar]
- Mouzakis, D.E.; Zoga, H.; Galiotis, C. Accelerated environmental ageing study of polyester/glass fiber reinforced composites (GFRPCs). Compos. Part B Eng. 2008, 39, 467–475. [Google Scholar] [CrossRef]
- Gómez-Gras, G.; Abad, M.D.; Pérez, M.A. Mechanical Performance of 3D-Printed Biocompatible Polycarbonate for Biomechanical Applications. Polymers 2021, 13, 3669. [Google Scholar] [CrossRef] [PubMed]
- Swinarew, A.S.; Swinarew, B.; Flak, T.; Okła, H.; Lenartowicz-Klik, M.; Barylski, A.; Popczyk, M.; Gabor, J.; Stanula, A. The Evaluation of Simulated Environmental Degradation of Polycarbonate Filled with Inorganic and Organic Reinforcements. Polymers 2021, 13, 3572. [Google Scholar] [CrossRef]
- Ogończyk, D.; Jankowski, P.; Garstecki, P. A Method for Simultaneous Polishing and Hydrophobization of Polycarbonate for Microfluidic Applications. Polymers 2020, 12, 2490. [Google Scholar] [CrossRef]
- Redjala, S.; Ferhoum, R.; Hocine, N.A.; Azem, S. Degradation of Polycarbonate Properties Under Thermal Aging. J. Fail. Anal. Prev. 2019, 19, 536–542. [Google Scholar] [CrossRef]
- Darıcık, F.; Delibaş, H.; Canbolat, G.; Topcu, A. Effects of Short-Term Thermal Aging on the Fracture Behavior of 3D-Printed Polymers. J. Mater. Eng. Perform. 2021, 30, 8851–8858. [Google Scholar] [CrossRef]
- Nakazono, T.; Matsumoto, A. Mechanical properties and thermal aging behavior of styrene-butadiene rubbers vulcanized using liquid diene polymers as the plasticizer. J. Appl. Polym. Sci. 2010, 118, 2314–2320. [Google Scholar] [CrossRef]
- Senden, D.; Dommelen, J.; Govaert, L.E. Physical aging and deformation kinetics of polycarbonate. J. Polym. Sci. Part B Polym. Phys. 2012, 50, 1589–1596. [Google Scholar] [CrossRef]
- ASTM D3045-92. In Standard Practice for Heat Aging of Plastics Without Load; American Society for Testing Materials: Philadelphia, PA, USA, 2010; pp. 7–11.
- Douglas, R.D. Color stability of new-generation indirect resins for prosthodontic application. J. Prosthet. Dent. 2000, 83, 166–170. [Google Scholar] [CrossRef]
- Boubakri, A.; Haddar, N.; Elleuch, K.; Bienvenu, Y. Influence of thermal aging on tensile and creep behavior of thermoplastic polyurethane. Comptes Rendus Mécanique 2011, 339, 666–673. [Google Scholar] [CrossRef]
- Diawara, B.; Fatyeyeva, K.; Chappey, C.; Colasse, L.; Ortiz, J.; Marais, S. Evolution of mechanical and barrier properties of thermally aged polycarbonate films. J. Membr. Sci. 2020, 607, 117630. [Google Scholar] [CrossRef]
- Gao, W.B.; Xu, L.C.; Dan, Y. Thermo-oxidative aging on properties of polycarbonate. Plastic 2010, 39, 61–64. [Google Scholar]
- Richeton, J.; Ahzi, S.; Vecchio, K.S.; Jiang, F.C.; Adharapurapu, R.R. Influence of temperature and strain rate on the mechanical behavior of three amorphous polymers: Characterization and modeling of the compressive yield stress. Int. J. Solids Struct. 2006, 43, 2318–2335. [Google Scholar] [CrossRef] [Green Version]
- Xiao, Z.L. Study on Polycarbonate Injection Molding Process and Thermal Oxygen Aging Stability; Qingdao University of Science and Technology: Qingdao, China, 2014. [Google Scholar]
- Sen, T.; Rai, R.N.; Paul, A. Damage and degradability study of pretreated natural fiber-reinforced polymers composites and its comparative analysis with artificial fiber-reinforced polymers composites. In Reference Module in Materials Science and Materials Engineering; Elsevier: Amsterdam, The Netherlands, 2016. [Google Scholar]
- Panda, G.; Kumari, M. Damage and Degradation Study of FRP Composites. Bachelor Dissertation, National Institute of Technology, Rourkela, India, 2010. [Google Scholar]






| Sample | L | a | b |
|---|---|---|---|
| PC Raw | 25.067 | −0.556 | −0.462 |
| PC85 | 26.789 | −0.500 | −0.449 |
| PC100 | 27.077 | −0.483 | −0.434 |
| PC115 | 26.647 | −0.444 | −0.463 |
| PC130 | 25.945 | −0.303 | −0.545 |
| PC145 | 24.475 | −0.227 | −0.875 |
| Sample | ΔL | Δa | Δb | ΔE |
|---|---|---|---|---|
| PC85 | 1.722 | 0.056 | 0.013 | 1.723 |
| PC100 | 2.010 | 0.073 | 0.028 | 2.013 |
| PC115 | 1.580 | 0.112 | −0.001 | 1.584 |
| PC130 | 0.878 | 0.253 | −0.083 | 0.917 |
| PC145 | −0.592 | 0.329 | −0.413 | 0.793 |
Publisher’s Note: MDPI stays neutral with regard to jurisdictional claims in published maps and institutional affiliations. |
© 2022 by the authors. Licensee MDPI, Basel, Switzerland. This article is an open access article distributed under the terms and conditions of the Creative Commons Attribution (CC BY) license (https://creativecommons.org/licenses/by/4.0/).
Share and Cite
Lan, Z.; Deng, J.; Song, Y.; Xu, Z.; Nie, Y.; Chen, Y.; Ma, Y. Color Changes and Mechanical Properties of Glass Fiber Reinforced Polycarbonate Composites after Thermal Aging. Polymers 2022, 14, 222. https://doi.org/10.3390/polym14020222
Lan Z, Deng J, Song Y, Xu Z, Nie Y, Chen Y, Ma Y. Color Changes and Mechanical Properties of Glass Fiber Reinforced Polycarbonate Composites after Thermal Aging. Polymers. 2022; 14(2):222. https://doi.org/10.3390/polym14020222
Chicago/Turabian StyleLan, Zhenbo, Jiangang Deng, You Song, Zhuolin Xu, Yu Nie, Yanming Chen, and Ye Ma. 2022. "Color Changes and Mechanical Properties of Glass Fiber Reinforced Polycarbonate Composites after Thermal Aging" Polymers 14, no. 2: 222. https://doi.org/10.3390/polym14020222
APA StyleLan, Z., Deng, J., Song, Y., Xu, Z., Nie, Y., Chen, Y., & Ma, Y. (2022). Color Changes and Mechanical Properties of Glass Fiber Reinforced Polycarbonate Composites after Thermal Aging. Polymers, 14(2), 222. https://doi.org/10.3390/polym14020222
