The Mechanical Properties of Plant Fiber-Reinforced Geopolymers: A Review
Abstract
1. Introduction
2. Properties of PFs
3. Geopolymers and PFRGs
3.1. Polymerization Mechanism of Geopolymer
3.2. Compatibility of PFs with Geopolymers
3.3. Degradation Behavior of PFs in Geopolymers
4. Mechanical Properties of PFRGs
4.1. Compressive Strength

4.2. Flexural Strength
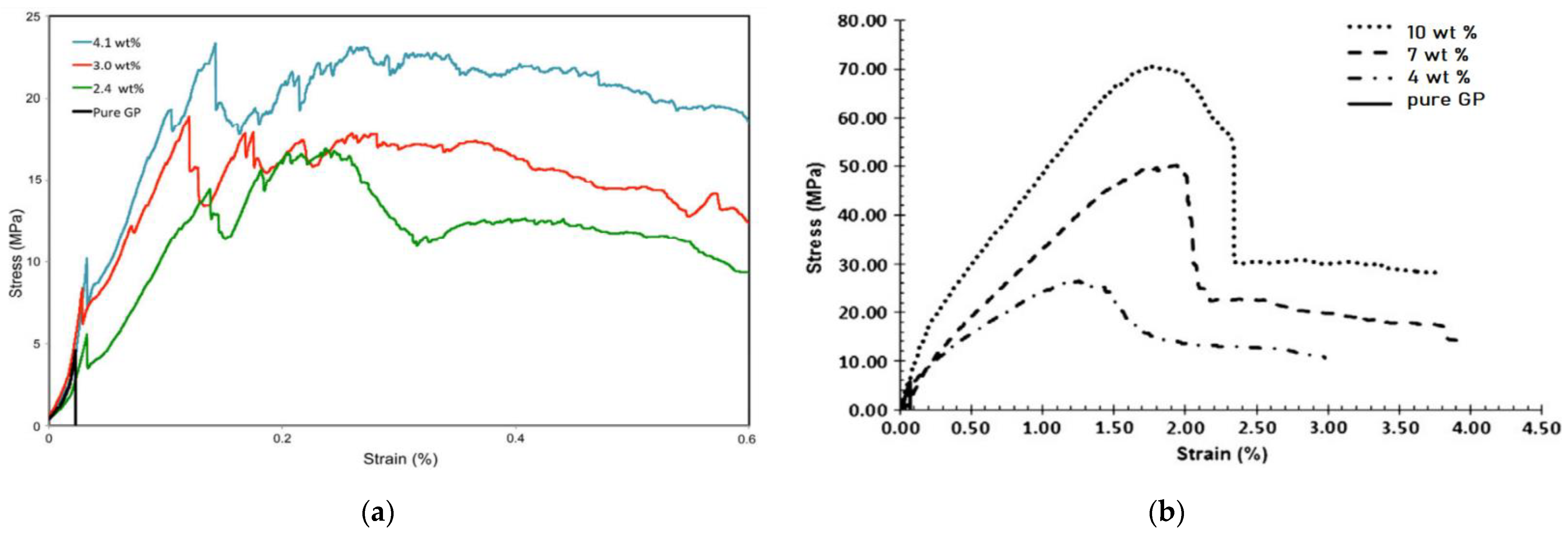
4.3. Tensile Strength
4.4. Load-Displacement Behavior and Toughness
5. Pretreatment of Fibers
6. Limitations and Recommendations
7. Conclusions
- PFs have good compatibility with geopolymers, and the compatibility of wood fibers is better than that of non-wood fibers;
- PFs are more effective in improving flexural strength than compressive strength. Adding PFs to geopolymers have the function of toughening and strengthening composites. The higher the content of cellulose, the greater the toughening and strengthening function;
- At present, physical or chemical methods are commonly used to modify and pretreat PFs to remove sugar in advance. At the same time, it can greatly improve the surface structure of PFs and enhance the bonding ability with the matrix of geopolymers;
- After alkali treatment, the compressive strength, flexural strength and toughness of some PFRGs increased by 7.1%, 21.4% and 449%, respectively.
Author Contributions
Funding
Institutional Review Board Statement
Informed Consent Statement
Data Availability Statement
Conflicts of Interest
References
- Kamarudin, S.H.; Mohd Basri, M.S.; Rayung, M.; Abu, F.; Ahmad, S.; Norizan, M.N.; Osman, S.; Sarifuddin, N.; Desa, M.S.Z.M.; Abdullah, U.H.; et al. A Review on Natural Fiber Reinforced Polymer Composites (NFRPC) for Sustainable Industrial Applications. Polymers 2022, 14, 3698. [Google Scholar] [CrossRef] [PubMed]
- Osial, M.; Pregowska, A.; Wilczewski, S.; Urbańska, W.; Giersig, M. Waste Management for Green Concrete Solutions: A Concise Critical Review. Recycling 2022, 7, 37. [Google Scholar] [CrossRef]
- Liu, J.; Lv, C. Properties of 3D-Printed Polymer Fiber-Reinforced Mortars: A Review. Polymers 2022, 14, 1315. [Google Scholar] [CrossRef] [PubMed]
- Elimbi, A.; Tchakoute, H.K.; Njopwouo, D. Effects of calcination temperature of kaolinite clays on the properties of geopolymer cements. Constr. Build. Mater. 2011, 25, 2805–2812. [Google Scholar] [CrossRef]
- Kocherla, A.; Kamakshi, T.A.; Subramaniam, K. In situ embedded PZT sensor for monitoring 3D concrete printing: Application in alkali-activated fly ash-slag geopolymers. Smart Mater. Struct. 2021, 30, 125024. [Google Scholar] [CrossRef]
- Jeremiah, J.J.; Abbey, S.J.; Booth, C.A.; Kashyap, A. Geopolymers as Alternative Sustainable Binders for Stabilisation of Clays—A Review. Geotechnics 2021, 1, 439–459. [Google Scholar] [CrossRef]
- Luhar, I.; Luhar, S. A Comprehensive Review on Fly Ash-Based Geopolymer. J. Compos. Sci. 2022, 6, 219. [Google Scholar] [CrossRef]
- Zakka, W.P.; Lim, N.; Ma, C.K. A scientometric review of geopolyamer concrete. J. Clean. Prod. 2021, 280, 124353. [Google Scholar] [CrossRef]
- Wong, L.S. Durability Performance of Geopolymer Concrete: A Review. Polymers 2022, 14, 868. [Google Scholar] [CrossRef]
- Ouni, M.E.; Raza, A.; Haider, H.; Arshad, M.; Ali, B. Enhancement of mechanical and toughness properties of carbon fiber-reinforced geopolymer pastes comprising nano calcium oxide. J. Aust. Ceram. Soc. 2022, 58, 1375–1387. [Google Scholar] [CrossRef]
- Martínez-García, R.; Jagadesh, P.; Zaid, O.; Șerbănoiu, A.A.; Fraile-Fernández, F.J.; de Prado-Gil, J.; Qaidi, S.M.A.; Grădinaru, C.M. The Present State of the Use of Waste Wood Ash as an Eco-Efficient Construction Material: A Review. Materials 2022, 15, 5349. [Google Scholar] [CrossRef] [PubMed]
- Raza, A.; Khan, Q.; Ouni, M.; Brahmia, A.; Berradia, M. Mechanical performance of geopolymer composites containing nano-silica and micro-carbon fibers. Arab. J. Sci. Eng. 2022, 02, 1–12. [Google Scholar] [CrossRef]
- Davidovits, J. Geopolymers: Inorganic Polymeric New Materials. J. Therm. Anal. Calorim. 1991, 37, 1633–1656. [Google Scholar] [CrossRef]
- Parathi, S.; Nagarajan, P.; Pallikkara, S.A. Ecofriendly geopolymer concrete: A comprehensive review. Clean Technol. Environ. Policy 2021, 23, 1701–1713. [Google Scholar] [CrossRef]
- Ren, B.; Zhao, Y.; Bai, H.; Kang, S.; Zhang, T.; Song, S. Eco-friendly geopolymer prepared from solid wastes: A critical review. Chemosphere 2021, 267, 128900. [Google Scholar] [CrossRef]
- Alvee, A.; Malinda, R.; Akbar, A.; Ashar, R.; Rahmawati, C.; Alomayri, T.; Raza, A.; Shaikh, F. Experimental study of the mechanical properties and microstructure of geopolymer paste containing nano-silica from agricultural waste and crystalline admixtures. Case Stud. Constr. Mater. 2022, 16, e00792. [Google Scholar] [CrossRef]
- Rashedi, A.; Marzouki, R.; Raza, A.; Rawi, N.F.M.; Naveen, J. Mechanical, Fracture, and Microstructural Assessment of Carbon-Fiber-Reinforced Geopolymer Composites Containing Na2O. Polymers 2021, 13, 3852. [Google Scholar] [CrossRef]
- Kozub, B.; Bazan, P.; Mierzwiński, D.; Korniejenko, K. Fly-ash-based geopolymers reinforced by melamine fibers. Materials 2021, 14, 400. [Google Scholar] [CrossRef]
- Ali, L.; Ouni, M.E.; Raza, A.; Janjua, S.; Ahmad, Z.; Ali, B.; Kahla, N.; Bai, Y. Experimental investigation on the mechanical and fracture evaluation of carbon fiber-reinforced cementitious composites with nano-calcium carbonate. Constr. Build. Mater. 2021, 308, 125095. [Google Scholar] [CrossRef]
- Mohajerani, A.; Hui, S.-Q.; Mirzababaei, M.; Arulrajah, A.; Horpibulsuk, S.; Abdul Kadir, A.; Rahman, M.T.; Maghool, F. Amazing Types, Properties, and Applications of Fibres in Construction Materials. Materials 2019, 12, 2513. [Google Scholar] [CrossRef]
- Cai, J.; Jiang, J.; Gao, X.; Ding, M. Improving the Mechanical Properties of Fly Ash-Based Geopolymer Composites with PVA Fiber and Powder. Materials 2022, 15, 2363. [Google Scholar] [CrossRef]
- Intarabut, D.; Sukontasukkul, P.; Phoo-ngernkham, T.; Zhang, H.; Yoo, D.-Y.; Limkatanyu, S.; Chindaprasirt, P. Influence of Graphene Oxide Nanoparticles on Bond-Slip Reponses between Fiber and Geopolymer Mortar. Nanomaterials 2022, 12, 943. [Google Scholar] [CrossRef] [PubMed]
- Rashad, A.M. The effect of polypropylene, polyvinyl-alcohol, carbon and glass fibres on geopolymers properties. Mater. Sci. Technol. 2019, 35, 127–146. [Google Scholar] [CrossRef]
- Saloni; Parveen; Pham, T.M. Enhanced properties of high-silica rice husk ash-based geopolymer paste by incorporating basalt fibers. Constr. Build. Mater. 2020, 245, 118422. [Google Scholar] [CrossRef]
- Zaghloul, M.M.Y.; Zaghloul, M.M.Y. Influence of flame retardant magnesium hydroxide on the mechanical properties of high density polyethylene composites. J. Reinf. Plast. Comp. 2017, 36, 1802–1816. [Google Scholar] [CrossRef]
- Luhar, S.; Suntharalingam, T.; Navaratnam, S.; Luhar, I.; Thamboo, J.; Poologanathan, K.; Gatheeshgar, P. Sustainable and Renewable Bio-Based Natural Fibres and Its Application for 3D Printed Concrete: A Review. Sustainability 2020, 12, 10485. [Google Scholar] [CrossRef]
- Liu, J.; Lv, C. Research Progress on Durability of Cellulose Fiber-Reinforced Cement-Based Composites. Int. J. Polym. Sci. 2021, 2021, 1014531. [Google Scholar] [CrossRef]
- Liu, J.; Lv, C. Durability of Cellulosic-Fiber-Reinforced Geopolymers: A Review. Molecules 2022, 27, 796. [Google Scholar] [CrossRef]
- Othuman Mydin, M.A.; Mohd Nawi, M.N.; Odeh, R.A.; Salameh, A.A. Durability Properties of Lightweight Foamed Concrete Reinforced with Lignocellulosic Fibers. Materials 2022, 15, 4259. [Google Scholar] [CrossRef]
- Guo, G.; Lv, C.; Liu, J.; Wang, L. Properties of Fiber-Reinforced One-Part Geopolymers: A Review. Polymers 2022, 14, 3333. [Google Scholar] [CrossRef]
- Abbas, A.-G.N.; Aziz, F.N.A.A.; Abdan, K.; Mohd Nasir, N.A.; Norizan, M.N. Kenaf Fibre Reinforced Cementitious Composites. Fibers 2022, 10, 3. [Google Scholar] [CrossRef]
- Abirami, R.; Sangeetha, S.P.; Nadeemmishab, K.; Vaseem, P.Y.; Sad, K.S. Experimental behaviour of sisal and kenaf fibre reinforced concrete. AIP Conf. Proc. 2020, 2271, 030023. [Google Scholar]
- Beddu, S.; Basri, A.; Muda, Z.C.; Farahlina, F.; Mohamad, D.; Itam, Z.; Kamal, N.L.M.; Sabariah, T. Comparison of Thermomechanical Properties of Cement Mortar with Kenaf and Polypropylene Fibers. IOP Conf. Ser. Mater. Sci. Eng. 2021, 1144, 012036. [Google Scholar] [CrossRef]
- Petrella, A.; De Gisi, S.; Di Clemente, M.E.; Todaro, F.; Ayr, U.; Liuzzi, S.; Dobiszewska, M.; Notarnicola, M. Experimental Investigation on Environmentally Sustainable Cement Composites Based on Wheat Straw and Perlite. Materials 2022, 15, 453. [Google Scholar] [CrossRef]
- Ahmad, J.; Majdi, A.; Al-Fakih, A.; Deifalla, A.F.; Althoey, F.; El Ouni, M.H.; El-Shorbagy, M.A. Mechanical and Durability Performance of Coconut Fiber Reinforced Concrete: A State-ofthe-Art Review. Materials 2022, 15, 3601. [Google Scholar] [CrossRef]
- Zaid, O.; Martínez-García, R.; Abadel, A.A.; Fraile-Fernández, F.J.; Alshaikh, I.M.H.; Palencia-Coto, C. To determine the performance of metakaolin-based fiber-reinforced geopolymer concrete with recycled aggregates. Archiv. Civ. Mech. Eng. 2022, 22, 114. [Google Scholar] [CrossRef]
- Ahmad, J.; Majdi, A.; Deifalla, A.F.; Ben Kahla, N.; El-Shorbagy, M.A. Concrete Reinforced with Sisal Fibers (SSF): Overview of Mechanical and Physical Properties. Crystals 2022, 12, 952. [Google Scholar] [CrossRef]
- Zaghloul, M.; Zaghloul, M.; Zaghloul, M. Developments in polyester composite materials–An in-depth review on natural fibres and nano fillers. Comp. Struct. 2021, 278, 114698. [Google Scholar] [CrossRef]
- Karimah, A.; Ridho, M.R.; Munawar, S.S.; Ismadi; Amin, Y.; Damayanti, R.; Lubis, M.A.R.; Wulandari, A.P.; Nurindah; Iswanto, A.H.; et al. A Comprehensive Review on Natural Fibers: Technological and Socio-Economical Aspects. Polymers 2021, 13, 4280. [Google Scholar] [CrossRef]
- Neto, J.S.S.; de Queiroz, H.F.M.; Aguiar, R.A.A.; Banea, M.D. A Review on the Thermal Characterisation of Natural and Hybrid Fiber Composites. Polymers 2021, 13, 4425. [Google Scholar] [CrossRef]
- Amin, M.N.; Ahmad, W.; Khan, K.; Ahmad, A. A Comprehensive Review of Types, Properties, Treatment Methods and Application of Plant Fibers in Construction and Building Materials. Materials 2022, 15, 4362. [Google Scholar] [CrossRef] [PubMed]
- Nurazzi, N.M.; Asyraf, M.R.M.; Fatimah Athiyah, S.; Shazleen, S.S.; Rafiqah, S.A.; Harussani, M.M.; Kamarudin, S.H.; Razman, M.R.; Rahmah, M.; Zainudin, E.S.; et al. A Review on Mechanical Performance of Hybrid Natural Fiber Polymer Composites for Structural Applications. Polymers 2021, 13, 2170. [Google Scholar] [CrossRef] [PubMed]
- Abdul Khalil, H.P.S.; Davoudpour, Y.; Islam, M.N.; Mustapha, A.; Sudesh, K.; Dungani, R.; Jawaid, M. Production and modification of nanofibrillated cellulose using various mechanical processes: A review. Carbohydr. Polym. 2014, 99, 649–665. [Google Scholar] [CrossRef] [PubMed]
- Pereira, P.H.F.; de Freitas Rosa, M.; Cioffi, M.O.H.; de Carvalho Benini, K.C.C.; Milanese, A.C.; Voorwald, H.J.C.; Mulinari, D.R. Vegetal fibers in polymeric composites: A review. Polímeros 2015, 25, 9–22. [Google Scholar] [CrossRef]
- Mtui, G.Y. Recent advances in pretreatment of lignocellulosic wastes and production of value added products. Afr. J. Biotechnol. 2009, 8, 1398–1415. [Google Scholar]
- Zakaria, M.R.; Fujimoto, S.; Hirata, S.; Hassan, M.A. Ball Milling Pretreatment of Oil Palm Biomass for Enhancing Enzymatic Hydrolysis. Appl. Biochem. Biotechnol. 2014, 173, 1778–1789. [Google Scholar] [CrossRef]
- Ramamoorthy, S.K.; Skrifvars, M.; Persson, A. A review of natural fibers used in biocomposites: Plant, animal and regenerated cellulose fibers. Polym. Rev. 2015, 55, 107–162. [Google Scholar] [CrossRef]
- Bos, H.L.; Oever, M.; Peters, O. Tensile and compressive properties of flax fibres for natural fibre reinforced composites. J. Mater. Sci. 2002, 37, 1683–1692. [Google Scholar] [CrossRef]
- Kerni, L.; Singh, S.; Patnaik, A.; Kumar, N. A review on natural fiber reinforced composites. Mater. Today Proc. 2020, 28, 1616–1621. [Google Scholar] [CrossRef]
- Jonoobi, M.; Harun, J.; Mishra, M.; Oksman, K. Chemical composition, crystallinity and thermal degradation of bleached and unbleached kenaf bast (Hibiscus cannabinus) pulp and nanofiber. BioResources 2009, 4, 626–639. [Google Scholar]
- Katman, H.Y.B.; Khai, W.J.; Bheel, N.; Kırgız, M.S.; Kumar, A.; Benjeddou, O. Fabrication and Characterization of Cement-Based Hybrid Concrete Containing Coir Fiber for Advancing Concrete Construction. Buildings 2022, 12, 1450. [Google Scholar] [CrossRef]
- Syafri, E.; Kasim, A.; Abral, H.; Asben, A. Cellulose nanofibers isolation and characterization from ramie using a chemicalultrasonic treatment. J. Nat. Fibers 2018, 16, 1145–1155. [Google Scholar] [CrossRef]
- Gassan, J.; Chate, A.; Bledzki, A.K. Calculation of elastic properties of natural fibers. J. Mater. Sci. 2001, 36, 3715–3720. [Google Scholar] [CrossRef]
- Faruk, O.; Bledzki, A.K.; Fink, H.-P.; Sain, M. Biocomposites Reinforced with Natural Fibers: 2000–2010. Prog. Polym. Sci. 2012, 37, 1552–1596. [Google Scholar] [CrossRef]
- Pickering, K.L.; Beckermann, G.W.; Alam, S.N.; Foreman, N.J. Optimising industrial hemp fibre for composites. Compos. Part A Appl. Sci. Manuf. 2007, 38, 461. [Google Scholar] [CrossRef]
- Summerscales, J.; Dissanayake, N.; Virk, A.S.; Hall, W. A review of bast fibres and their composites. Part1-fibres as reinforcements. Compos. Part A Appl. Sci. Manuf. 2010, 41, 1329–1335. [Google Scholar] [CrossRef]
- Mustafa, A.; Abdollah, M.; Shuhimi, F.F.; Ismail, N.; Amiruddin, H.; Umehara, N. Selection and verification of kenaf fibres as an alternative friction material using weighted decision matrix method. Mater. Des. 2015, 67, 577–582. [Google Scholar] [CrossRef]
- Kumar, R.; Obrai, S.; Sharma, A. Chemical modifications of natural fiber for composite material. Chem. Sin. 2011, 2, 219–228. [Google Scholar]
- Haque, M.; Rahman, R.; Islam, N.; Huque, M.; Hasan, M. Mechanical properties of polypropylene composites reinforced with chemically treated coir and abaca fiber. J. Reinf. Plast. Compos. 2010, 29, 2253–2261. [Google Scholar] [CrossRef]
- Barreto, A.; Rosa, D.; Fechine, P.; Mazzetto, S. Properties of sisal fibers treated by alkali solution and their application into cardanol-based biocomposites. Compos. Part A Appl. Sci. Manuf. 2011, 42, 492–500. [Google Scholar] [CrossRef]
- Kumar, P.S.S.; Allamraju, K.V. A review of natural fiber composites [Jute, Sisal, Kenaf]. Mater. Today Proc. 2019, 18, 2556–2562. [Google Scholar] [CrossRef]
- Kumre, A.; Rana, R.; Purohit, R. A Review on mechanical property of sisal glass fiber reinforced polymer composites. Mater. Today Proc. 2017, 4, 3466–3476. [Google Scholar] [CrossRef]
- Beskopylny, A.N.; Stel’makh, S.A.; Shcherban, E.M.; Mailyan, L.R.; Meskhi, B.; Shilov, A.A.; Beskopylny, N.; Chernil’nik, A. Enhanced Performance of Concrete Dispersedly Reinforced with Sisal Fibers. Appl. Sci. 2022, 12, 9102. [Google Scholar] [CrossRef]
- Asim, M.; Abdan, K.; Jawaid, M.; Nasir, M.; Dashtizadeh, Z.; Ishak, M.R.; Hoque, M.E. A Review on Pineapple Leaves Fibre and Its Composites. Int. J. Polym. Sci. 2015, 2015, 950567. [Google Scholar] [CrossRef]
- Huda, M.S.; Drzal, L.T.; Mohanty, A.K.; Misra, M. Chopped glass and recycled newspaper as reinforcement fibers in injection molded poly (lactic acid) (pla) composites: A comparative study. Compos. Sci. Technol. 2015, 66, 1813–1824. [Google Scholar] [CrossRef]
- Zainudin, E.; Yan, L.H.; Haniffah, W.; Jawaid, M.; Alothman, O.Y. Effect of coir fiber loading on mechanical and morphological properties of oil palm fibers reinforced polypropylene composites. Polym. Compos. 2013, 35, 1418–1425. [Google Scholar] [CrossRef]
- Sonar, T.; Patil, S.; Deshmukh, V.; Acharya, R. Natural fiber reinforced polymer composite material-A review. IOSR J. Mech. Civ. Eng. 2015, 4, 142–147. [Google Scholar]
- Väisänen, T.; Das, O.; Tomppo, L. A review on new bio-based constituents for natural fiber-polymer composites. J. Clean. Prod. 2017, 149, 582–596. [Google Scholar] [CrossRef]
- Gurunathan, T.; Mohanty, S.; Nayak, S.K. A review of the recent developments in biocomposites based on natural fibres and their application perspectives. Compos. Part A Appl. Sci. Manuf. 2015, 77, 1–25. [Google Scholar] [CrossRef]
- Mwaikambo, L. Review of the history, properties and application of plant fibres. Afr. J. Sci. Technol. 2006, 7, 121. [Google Scholar]
- Duxson, P.; Lukey, G.C.; Separovic, F.; van Deventer, J.S.J. Effect of Alkali Cations on Aluminum Incorporation in Geopolymeric Gels. Ind. Eng. Chem. Res. 2005, 44, 832–839. [Google Scholar] [CrossRef]
- Wei, Q.; Liu, Y.; Le, H. Mechanical and Thermal Properties of Phosphoric Acid Activated Geopolymer Materials Reinforced with Mullite Fibers. Materials 2022, 15, 4185. [Google Scholar] [CrossRef] [PubMed]
- Lilargem Rocha, D.; Tambara Júnior, L.U.D.; Marvila, M.T.; Pereira, E.C.; Souza, D.; de Azevedo, A.R.G. A Review of the Use of Natural Fibers in Cement Composites: Concepts, Applications and Brazilian History. Polymers 2022, 14, 2043. [Google Scholar] [CrossRef]
- Yazid, M.H.; Faris, M.A.; Abdullah, M.M.A.B.; Nabiałek, M.; Rahim, S.Z.A.; Salleh, M.A.A.M.; Kheimi, M.; Sandu, A.V.; Rylski, A.; Jeż, B. Contribution of Interfacial Bonding towards Geopolymers Properties in Geopolymers Reinforced Fibers: A Review. Materials 2022, 15, 1496. [Google Scholar] [CrossRef] [PubMed]
- Ranjbar, N.; Zhang, M. Fiber reinforced geopolymer composites: A review. Cement Concrete Comp. 2020, 107, 103498. [Google Scholar] [CrossRef]
- Alomayri, T.; Shaikh, F.; Low, I.M. Synthesis and mechanical properties of cotton fabric reinforced geopolymer composites. Comp. Part B Eng. 2014, 60, 36–42. [Google Scholar] [CrossRef]
- Camargo, M.M.; Taye, E.A.; Roether, J.A.; Redda, D.T.; Boccaccini, A.R. A review on natural fiber-reinforced geopolymer and cement-based composites. Materials 2020, 13, 4603. [Google Scholar] [CrossRef]
- Tan, J.; Lu, W.; Huang, Y.; Wei, S.; Xuan, X.; Liu, L. Preliminary study on compatibility of metakaolin-based geopolymer paste with plant fibers. Constr. Build. Mater. 2019, 225, 772–775. [Google Scholar] [CrossRef]
- Wei, J.; Ma, S.; Thomas, D.G. Correlation between hydration of cement and durability of natural fiber-reinforced cement composites. Corros. Sci. 2016, 106, 1–15. [Google Scholar] [CrossRef]
- Wei, J.; Meyer, C. Utilization of rice husk ash in green natural fiber-reinforced cement composites: Mitigating degradation of sisal fiber. Cem. Concr. Res. 2016, 81, 94–111. [Google Scholar] [CrossRef]
- Wei, J.; Meyer, C. Degradation mechanisms of natural fiber in the matrix of cement composites. Cem. Concr. Res. 2015, 73, 1–16. [Google Scholar] [CrossRef]
- Suriani, M.J.; Ilyas, R.A.; Zuhri, M.Y.M.; Khalina, A.; Sultan, M.T.H.; Sapuan, S.M.; Ruzaidi, C.M.; Wan, F.N.; Zulkifli, F.; Harussani, M.M.; et al. Critical Review of Natural Fiber Reinforced Hybrid Composites: Processing, Properties, Applications and Cost. Polymers 2021, 13, 3514. [Google Scholar] [CrossRef]
- Ferreira, S.R.; Ukrainczyk, N.; e Silva KD, D.C.; Silva, L.E.; Koenders, E. Effect of microcrystalline cellulose on geopolymer and Portland cement pastes mechanical performance. Constr. Build. Mater. 2021, 288, 123053. [Google Scholar] [CrossRef]
- Ye, H.; Zhang, Y.; Yu, Z. Effects of cellulose, hemicellulose, and lignin on the morphology and mechanical properties of metakaolin-based geopolymer. Constr. Build. Mater. 2018, 173, 10–16. [Google Scholar] [CrossRef]
- Witzleben, S. Minimizing the Global Warming Potential with Geopolymer-Based Insulation Material with Miscanthus Fiber. Polymers 2022, 14, 3191. [Google Scholar] [CrossRef] [PubMed]
- Hejazi, S.M.; Sheikhzadeh, M.; Abtahi, S.M.; Zadhoush, A. A simple review of soil reinforcement by using natural and synthetic fibers. Constr. Build. Mater. 2012, 30, 100–116. [Google Scholar] [CrossRef]
- Bouasker, M.; Belayachi, N.; Hoxha, D.; Al-Mukhtar, M. Physical Characterization of Natural Straw Fibers as Aggregates for Construction Materials Applications. Materials 2014, 7, 3034–3048. [Google Scholar] [CrossRef]
- Taye, E.A.; Roether, J.A.; Schubert, D.W.; Redda, D.T.; Boccaccini, A.R. Hemp Fiber Reinforced Red Mud/Fly Ash Geopolymer Composite Materials: Effect of Fiber Content on Mechanical Strength. Materials 2021, 14, 511. [Google Scholar] [CrossRef] [PubMed]
- Zaghlou, M. Mechanical properties of linear low-density polyethylene fire-retarded with melamine polyphosphate. Inc. J. Appl. Polym. Sci. 2018, 134, 46770. [Google Scholar] [CrossRef]
- da Fonseca, R.P.; Rocha, J.C.; Cheriaf, M. Mechanical Properties of Mortars Reinforced with Amazon Rainforest Natural Fibers. Materials 2021, 14, 155. [Google Scholar] [CrossRef]
- Ayeni, O.; Mahamat, A.A.; Bih, N.L.; Stanislas, T.T.; Isah, I.; Savastano Junior, H.; Boakye, E.; Onwualu, A.P. Effect of Coir Fiber Reinforcement on Properties of Metakaolin-Based Geopolymer Composite. Appl. Sci. 2022, 12, 5478. [Google Scholar] [CrossRef]
- Wongsa, A.; Kunthawatwong, R.; Naenudon, S.; Sata, V.; Chindaprasirt, P. Natural fiber reinforced high calcium fly ash geopolymer mortar. Construct. Build. Mater. 2020, 241, 118143. [Google Scholar] [CrossRef]
- Korniejenko, K.; Fraczek, M.; Pytlak, E.; Adamski, M. Mechanical properties of geopolymer composites reinforced with natural fibers. Procedia Eng. 2016, 151, 388–393. [Google Scholar] [CrossRef]
- Lazorenko, G.; Kasprzhitskii, A.; Kruglikov, A.; Mischinenk, V.; Yavna, V. Sustainable geopolymer composites reinforced with flax tows. Ceram. Int. 2020, 46, 12870–12875. [Google Scholar] [CrossRef]
- Zhou, B.; Wang, L.; Ma, G.; Zhao, X.; Zhao, X. Preparation and properties of bio-geopolymer composites with waste cotton stalk materials. J. Clean. Prod. 2019, 2019, 118842. [Google Scholar] [CrossRef]
- Workiye, A.; Woldsenbet, E. Development of Maize Stalk Cellulose Fiber Reinforced Calcined Kaolinite Clay Geopolymer Composite. Proceed. Eng. Tech. Innov. 2020, 16, 30–38. [Google Scholar] [CrossRef]
- Assaedi, H.; Alomayri, T.; Shaikh, F.U.A.; Low, I. Characterisation of mechanical and thermal properties in flax fabric reinforced geopolymer composites. J. Adv. Ceram. 2015, 4, 272–281. [Google Scholar] [CrossRef]
- Yadav, B.M.; Swanth, K.; Vani, B. Durability characteristics of hybrid fiber reinforced geopolymer concrete with m-sand. Int. J. Civil Eng. 2018, 5, 1–5. [Google Scholar] [CrossRef]
- Ribeiro, R.A.S.; Ribeiro, M.G.; Sankar, K.; Kriven, W.M. Geopolymer-bamboo composite-A novel sustainable construction material. Constr. Build. Mater. 2016, 123, 501–507. [Google Scholar] [CrossRef]
- Mastali, M.; Abdollahnejad, Z.; Pacheco-torgal, F. Carbon dioxide sequestration of fly ash alkaline-based mortars containing recycled aggregates and reinforced by hemp fibres. Constr. Build. Mater. 2018, 160, 48–56. [Google Scholar] [CrossRef]
- Chen, R.; Ahmari, S.; Zhang, L. Utilization of sweet sorghum fiber to reinforce fly ash-based geopolymer. J. Mater. Sci. 2014, 49, 2548–2558. [Google Scholar] [CrossRef]
- Rao, N.V.; Mohan, R.; Papolu, R. Impact on Strength of Concrete by Coconut Coir and Polypropylene Fibers. Int. J. Innovative Technol. Explor. Eng. 2019, 12, 5161–5165. [Google Scholar]
- Fuseini, M.; Zaghloul, M. nvestigation of Electrophoretic Deposition of PANI Nano fibers as a Manufacturing Technology for corrosion protection. Prog. Org. Coat. 2022, 171, 107015. [Google Scholar] [CrossRef]
- Fujiyama, R.; Darwish, F.; Pereira, M. V Mechanical Characterization of Sisal Reinforced Cement Mortar. Theor. Appl. Mech. Lett. 2014, 4, 61002. [Google Scholar] [CrossRef]
- Lima, P.R.L.; Barros, J.A.O.; Roque, A.B.; Fontes, C.M.A.; Lima, J.M.F. Short Sisal Fiber Reinforced Recycled Concrete Block for One-Way Precast Concrete Slabs. Constr. Build. Mater. 2018, 187, 620–634. [Google Scholar] [CrossRef]
- Jamshaid, H.; Mishra, R.; Militký, J.; Noman, M.T. Interfacial Performance and Durability of Textile Reinforced Concrete. J. Text. Inst. 2018, 109, 879–890. [Google Scholar] [CrossRef]
- Naraganti, S.R.; Pannem, R.M.R.; Putta, J. Impact Resistance of Hybrid Fibre Reinforced Concrete Containing Sisal Fibres. Ain Shams Eng. J. 2019, 10, 297–305. [Google Scholar] [CrossRef]
- Alomayri, T.; Shaikh, F.U.A.; Low, I.M. Characterisation of cotton fibre-reinforced geopolymer composites. Compos. B Eng. 2013, 50, 1–6. [Google Scholar] [CrossRef]
- Guo, X.; Pan, X. Mechanical properties and mechanisms of fiber reinforced fly ash-steel slag based geopolymer mortar. Constr. Build. Mater. 2018, 179, 633–641. [Google Scholar] [CrossRef]
- Sankar, K.; Ribeiro, R.A.S.; Ribeiro, M.G.S.; Kriven, W.M. Potassium-based geopolymer composites reinforced with chopped bamboo fibers. J. Am. Ceram. Soc. 2016, 100, 49–55. [Google Scholar] [CrossRef]
- Kavipriya, S.; Deepanraj, C.G.; Dinesh, S.; Prakhash, N.; Lingeshwaran, N.; Ramkumar, S. Flexural strength of Lightweight geopolymer concrete using sisal fibres. Mater. Today Proc. 2021, 47, 5503–5507. [Google Scholar] [CrossRef]
- Zaghloul, M.M.Y.; Mohamed, Y.S.; El-Gamal, H. Fatigue and tensile behaviors of fiber-reinforced thermosetting composites embedded with nanoparticles. J. Comp. Mater. 2019, 53, 709–718. [Google Scholar] [CrossRef]
- Taveri, G.; Bernardo, E.; Dlouhy, I. Mechanical Performance of Glass-Based Geopolymer Matrix Composites Reinforced with Cellulose Fibers. Materials 2018, 11, 2395. [Google Scholar] [CrossRef]
- Mourak, A.; Hajjaji, M.; Alagui, A. Cured alkali-activated heated clay-cellulose composites: Microstructure, effect of glass addition and performances. Boletín Soc. Española Cerámica Vidr. 2021, 60, 62–72. [Google Scholar] [CrossRef]
- Zhou, Y.; Fan, M.; Chen, L. Interface and bonding mechanisms of plant fibre composites: An overview. Compos. Part B Eng. 2016, 101, 31–45. [Google Scholar] [CrossRef]
- Alzeer, M.; MacKenzie, K. Synthesis and mechanical properties of novel composites of inorganic polymers (geopolymers) with unidirectional natural flax fibres (phormium tenax). Appl. Clay. Sci. 2013, 75–76, 148–152. [Google Scholar] [CrossRef]
- Yan, L.B.; Chouw, N.; Huang, L.; Kasal, B. Effect of alkali treatment on microstructure and mechanical properties of coir fibres, coir fibre reinforced-polymer composites and reinforced-cementitious composites. Constr. Build. Mater. 2016, 112, 168–182. [Google Scholar] [CrossRef]
- Huang, Y.; Tan, J.; Xuan, X.; Liu, L.; Zheng, G. Study on untreated and alkali treated rice straw reinforced geopolymer composites. Mater. Chem. Phys. 2021, 262, 124304. [Google Scholar] [CrossRef]
- Malenab, R.A.J.; Ngo, J.P.S.; Promentilla, M.A.B. Chemical Treatment of Waste Abaca for Natural Fiber-Reinforced Geopolymer Composite. Materials 2017, 10, 579. [Google Scholar] [CrossRef]
- Maichin, P.; Suwan, T.; Jitsangiam, P.; Chindaprasirt, P.; Fan, M. Effect of self-treatment process on properties of natural fiber-reinforced geopolymer composites. Mater. Manuf. Processes 2020, 35, 1120–1128. [Google Scholar] [CrossRef]













| Fiber Type | Fiber Name | Density /g·cm−3 | Tensile Strength/MPa | Tensile Modulus/GPa | Elongation at Break/% | Ref. |
|---|---|---|---|---|---|---|
| Bast | Flax | 1.50 | 800–1500 | 27.60–80.00 | 1.2–3.2 | [48,49,50,51,52,53,54] |
| Hemp | 1.48 | 550–900 | 70.00 | 2.0–4.0 | [49,50,51,52,53,55] | |
| Jute | 1.46 | 393–800 | 10.00–30.00 | 1.5–1.8 | [54] | |
| Kenaf | 1.45 | 930 | 53.00 | 1. 6 | [55] | |
| Ramie | 1.50 | 220–938 | 44.00–128.00 | 2.0–3.8 | [54,58] | |
| Leaf | Abaca | 1.50 | 400 | 12.00 | 3.0–10.0 | [59] |
| Sisal | 1.45 | 530–640 | 9.40–22.00 | 3.0–7.0 | [53,58,60,61,62,63] | |
| Banana | 1.35 | 600 | 17.85 | 3.4 | [58] | |
| Pineapple | 0.80-1.60 | 400–627 | 1.40 | 14.5 | [54,64] | |
| Coconut | 1.15 | 500 | 2. 50 | 20.0 | [65] | |
| Seed/Fruit | cotton | 1.60 | 287–597 | 5.50–12.60 | 7.0–8.0 | [65,67,68,69,70] |
| Coir | 1.20–1.35 | 120–200 | 19.00–25.00 | 10.0–25.0 | [51,53,64] | |
| Grass | bamboo | 1.10 | 500 | 35.91 | 1.4 | [51,65] |
| Wood | Soft wood | 1.50 | 1000 | 40.00 | 4.4 | [65] |
Publisher’s Note: MDPI stays neutral with regard to jurisdictional claims in published maps and institutional affiliations. |
© 2022 by the authors. Licensee MDPI, Basel, Switzerland. This article is an open access article distributed under the terms and conditions of the Creative Commons Attribution (CC BY) license (https://creativecommons.org/licenses/by/4.0/).
Share and Cite
Lv, C.; Liu, J.; Guo, G.; Zhang, Y. The Mechanical Properties of Plant Fiber-Reinforced Geopolymers: A Review. Polymers 2022, 14, 4134. https://doi.org/10.3390/polym14194134
Lv C, Liu J, Guo G, Zhang Y. The Mechanical Properties of Plant Fiber-Reinforced Geopolymers: A Review. Polymers. 2022; 14(19):4134. https://doi.org/10.3390/polym14194134
Chicago/Turabian StyleLv, Chun, Jie Liu, Guoliang Guo, and Yanming Zhang. 2022. "The Mechanical Properties of Plant Fiber-Reinforced Geopolymers: A Review" Polymers 14, no. 19: 4134. https://doi.org/10.3390/polym14194134
APA StyleLv, C., Liu, J., Guo, G., & Zhang, Y. (2022). The Mechanical Properties of Plant Fiber-Reinforced Geopolymers: A Review. Polymers, 14(19), 4134. https://doi.org/10.3390/polym14194134
