Epoxy Compositions with Reduced Flammability Based on DER-354 Resin and a Curing Agent Containing Aminophosphazenes Synthesized in Bulk Isophoronediamine
Abstract
:1. Introduction
2. Materials and Methods
2.1. Materials
2.2. Methods
2.3. Synthesis of Hexakis-[(4-formyl)phenoxy]cyclotriphosphazene (FPP)
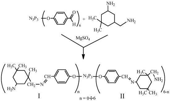
2.4. Synthesis of the Modified Phosphazene-Containing Curing Agent Based on Isophoronediamine and FPP
2.5. Preparation of Epoxy Resin Compositions and Their Curing
3. Results and Discussion
4. Conclusions
Author Contributions
Funding
Institutional Review Board Statement
Informed Consent Statement
Data Availability Statement
Conflicts of Interest
References
- Cai, R.; Zhao, J.; Lv, N.; Fu, A.; Yin, C.; Song, C.; Chao, M. Curing and Molecular Dynamics Simulation of MXene/Phenolic Epoxy Composites with Different Amine Curing Agent Systems. Nanomaterials 2022, 12, 2249. [Google Scholar] [CrossRef] [PubMed]
- Rehman, S.; Gomez, J.; Villaro, E.; Cossey, D.; Karagiannidis, P.G. Βio-Based Epoxy/Amine Reinforced with Reduced Graphene Oxide (rGO) or GLYMO-rGO: Study of Curing Kinetics, Mechanical Properties, Lamination and Bonding Performance. Nanomaterials 2022, 12, 222. [Google Scholar] [CrossRef] [PubMed]
- Merino, E.; Durán, A.; Ceré, S.; Castro, Y. Hybrid Epoxy-Alkyl Sol–Gel Coatings Reinforced with SiO2 Nanoparticles for Corrosion Protection of Anodized AZ31B Mg Alloy. Gels 2022, 8, 242. [Google Scholar] [CrossRef] [PubMed]
- Decarpigny, C.; Ponchel, A.; Monflier, E.; Bleta, R. Effect of Functional Group on the Catalytic Activity of Lipase B from Candida antarctica Immobilized in a Silica-Reinforced Pluronic F127/α-Cyclodextrin Hydrogel. Gels 2021, 8, 3. [Google Scholar] [CrossRef]
- Fang, F.; Ran, S.; Fang, Z.; Song, P.; Wang, H. Improved Flame Resistance and Thermo-Mechanical Properties of Epoxy Resin Nanocomposites from Functionalized Graphene Oxide via Self-Assembly in Water. Compos. Part B-Eng. 2019, 165, 406–416. [Google Scholar] [CrossRef]
- Min, Y.; Li, P.; Yin, X.; Ban, D. Synthesis and Characterization of a Novel Flame Retardant Based on Phosphaphenanthrene for Epoxy Resin. Polym. Bull. 2017, 74, 1–10. [Google Scholar] [CrossRef]
- Rad, E.R.; Vahabi, H.; de Anda, A.R.; Saeb, M.R.; Thomas, S. Bio-Epoxy Resins with Inherent Flame Retardancy. Prog. Org. Coat. 2019, 135, 608–612. [Google Scholar] [CrossRef]
- Vahabi, H.; Saeb, M.R.; Formela, K.; Lopez-Cuesta, J.-M. Flame Retardant Epoxy/Halloysite Nanotubes Nanocomposite Coatings: Exploring Low-Concentration Threshold for Flammability Compared to Expandable Graphite as Superior Fire Retardant. Prog. Org. Coat. 2018, 119, 8–14. [Google Scholar] [CrossRef]
- Xiong, Y.; Jiang, Z.; Xie, Y.; Zhang, X.; Xu, W. Development of a DOPO-Containing Melamine Epoxy Hardeners and Its Thermal and Flame-Retardant Properties of Cured Products. J. Appl. Polym. Sci. 2013, 127, 4352–4358. [Google Scholar] [CrossRef]
- Yan, W.; Yu, J.; Zhang, M.; Qin, S.; Wang, T.; Huang, W.; Long, L. Flame-Retardant Effect of a Phenethyl-Bridged DOPO Derivative and Layered Double Hydroxides for Epoxy Resin. RSC Adv. 2017, 7, 46236–46245. [Google Scholar] [CrossRef] [Green Version]
- Tian, F.; Cao, J.; Zhang, S. Effect of Temperature on the Charge Transport Behavior of Epoxy/Nano−SiO2/Micro−BN Composite. Nanomaterials 2022, 12, 1617. [Google Scholar] [CrossRef] [PubMed]
- Moghari, S.; Jafari, S.H.; Yazdi, M.K.; Jouyandeh, M.; Hejna, A.; Zarrintaj, P.; Saeb, M.R. In-Out Surface Modification of Halloysite Nanotubes (HNTs) for Excellent Cure of Epoxy: Chemistry and Kinetics Modeling. Nanomaterials 2021, 11, 3078. [Google Scholar] [CrossRef] [PubMed]
- Krieg, A.S.; King, J.A.; Odegard, G.M.; Leftwich, T.R.; Odegard, L.K.; Fraley, P.D.; Miskioglu, I.; Jolowsky, C.; Lundblad, M.; Park, J.G.; et al. Mechanical properties and characterization of epoxy composites containing highly entangled as-received and acid treated carbon nanotubes. Nanomaterials 2021, 11, 2445. [Google Scholar] [CrossRef] [PubMed]
- Tang, Y.; Tang, C.; Hu, D.; Gui, Y. Effect of aminosilane coupling agents with different chain lengths on thermo-mechanical properties of cross-linked epoxy resin. Nanomaterials 2018, 8, 951. [Google Scholar] [CrossRef] [PubMed]
- Atta, A.M.; El-Newehy, M.H.; Abdulhameed, M.M.; Wahby, M.H.; Hashem, A.I. Seawater absorption and adhesion properties of hydrophobic and superhydrophobic thermoset epoxy nanocomposite coatings. Nanomaterials 2021, 11, 272. [Google Scholar] [CrossRef]
- Xu, Y.-J.; Shi, X.-H.; Lu, J.-H.; Qi, M.; Guo, D.-M.; Chen, L.; Wang, Y.-Z. Novel Phosphorus-Containing Imidazolium as Hardener for Epoxy Resin Aiming at Controllable Latent Curing Behavior and Flame Retardancy. Compos. Part B-Eng. 2020, 184, 107673. [Google Scholar] [CrossRef]
- Jin, F.-L.; Li, X.; Park, S.-J. Synthesis and Application of Epoxy Resins: A Review. J. Ind. Eng. Chem. 2015, 29, 1–11. [Google Scholar] [CrossRef]
- Zhu, Z.; Lin, P.; Wang, H.; Wang, L.; Yu, B.; Yang, F. A Facile One-Step Synthesis of Highly Efficient Melamine Salt Reactive Flame Retardant for Epoxy Resin. J. Mater. Sci. 2020, 55, 12836–12847. [Google Scholar] [CrossRef]
- Wu, H.; Zhang, W.; Zhang, H.; Gao, P.; Jin, L.; Pan, Y.; Pan, Z. Synthesis of Layered Double Hydroxides with Phosphate Tailings and Its Effect on Flame Retardancy of Epoxy Resin. Polymers 2022, 14, 2516. [Google Scholar] [CrossRef]
- Nageswara Rao, T.; Naidu, T.M.; Kim, M.S.; Parvatamma, B.; Prashanthi, Y.; Heun Koo, B. Influence of zinc oxide nanoparticles and char forming agent polymer on flame retardancy of intumescent flame retardant coatings. Nanomaterials 2019, 10, 42. [Google Scholar] [CrossRef] [Green Version]
- Liu, Q.; Wang, D.; Li, Z.; Li, Z.; Peng, X.; Liu, C.; Zhang, Y.; Zheng, P. Recent Developments in the Flame-Retardant System of Epoxy Resin. Materials 2020, 13, 2145. [Google Scholar] [CrossRef]
- Chen, R.; Luo, Z.; Yu, X.; Tang, H.; Zhou, Y.; Zhou, H. Synthesis of Chitosan-Based Flame Retardant and Its Fire Resistance in Epoxy Resin. Carbohydr. Polym. 2020, 245, 116530. [Google Scholar] [CrossRef]
- Zhu, Z.-M.; Wang, L.-X.; Lin, X.-B.; Dong, L.-P. Synthesis of a Novel Phosphorus-Nitrogen Flame Retardant and Its Application in Epoxy Resin. Polym. Degrad. Stab. 2019, 169, 108981. [Google Scholar] [CrossRef]
- Cheng, J.; Wang, J.; Yang, S.; Zhang, Q.; Huo, S.; Zhang, Q.; Hu, Y.; Ding, G. Benzimidazolyl-Substituted Cyclotriphosphazene Derivative as Latent Flame-Retardant Curing Agent for One-Component Epoxy Resin System with Excellent Comprehensive Performance. Compos. Part B-Eng. 2019, 177, 107440. [Google Scholar] [CrossRef]
- Kim, M.; Ko, H.; Park, S.-M. Synergistic Effects of Amine-Modified Ammonium Polyphosphate on Curing Behaviors and Flame Retardation Properties of Epoxy Composites. Compos. Part B-Eng. 2019, 170, 19–30. [Google Scholar] [CrossRef]
- Zhou, X.; Mu, X.; Cai, W.; Wang, J.; Chu, F.; Xu, Z.; Song, L.; Xing, W.; Hu, Y. Design of Hierarchical NiCo-LDH@PZS Hollow Dodecahedron Architecture and Application in High-Performance Epoxy Resin with Excellent Fire Safety. ACS Appl. Mater. Interfaces 2019, 11, 41736–41749. [Google Scholar] [CrossRef]
- De la Cruz, L.G.; Abt, T.; León, N.; Wang, L.; Sánchez-Soto, M. Ice-Template Crosslinked PVA Aerogels Modified with Tannic Acid and Sodium Alginate. Gels 2022, 8, 419. [Google Scholar] [CrossRef]
- Yao, Z.; Qian, L.; Qiu, Y.; Chen, Y.; Xu, B.; Li, J. Flame Retardant and Toughening Behaviors of Bio-Based DOPO-Containing Curing Agent in Epoxy Thermoset. Polym. Adv. Technol. 2020, 31, 461–471. [Google Scholar] [CrossRef]
- Wang, H.; Li, S.; Zhu, Z.; Yin, X.; Wang, L.; Weng, Y.; Wang, X. A Novel DOPO-Based Flame Retardant Containing Benzimidazolone Structure with High Charring Ability towards Low Flammability and Smoke Epoxy Resins. Polym. Degrad. Stab. 2021, 183, 109426. [Google Scholar] [CrossRef]
- Duan, H.; Chen, Y.; Ji, S.; Hu, R.; Ma, H. A Novel Phosphorus/Nitrogen-Containing Polycarboxylic Acid Endowing Epoxy Resin with Excellent Flame Retardance and Mechanical Properties. Chem. Eng. J. 2019, 375, 121916. [Google Scholar] [CrossRef]
- Sonnier, R.; Dumazert, L.; Livi, S.; Nguyen, T.K.L.; Duchet-Rumeau, J.; Vahabi, H.; Laheurte, P. Flame Retardancy of Phosphorus-Containing Ionic Liquid Based Epoxy Networks. Polym. Degrad. Stab. 2016, 134, 186–193. [Google Scholar] [CrossRef]
- Qiu, Y.; Qian, L.; Feng, H.; Jin, S.; Hao, J. Toughening Effect and Flame-Retardant Behaviors of Phosphaphenanthrene/Phenylsiloxane Bigroup Macromolecules in Epoxy Thermoset. Macromolecules 2018, 51, 9992–10002. [Google Scholar] [CrossRef]
- Tan, Y.; Shao, Z.-B.; Chen, X.-F.; Long, J.-W.; Chen, L.; Wang, Y.-Z. Novel Multifunctional Organic–Inorganic Hybrid Curing Agent with High Flame-Retardant Efficiency for Epoxy Resin. ACS Appl. Mater. Interfaces 2015, 7, 17919–17928. [Google Scholar] [CrossRef]
- Wang, F.; Liao, J.; Yan, L.; Cai, M. Facile Construction of Polypyrrole Microencapsulated Melamine-Coated Ammonium Polyphosphate to Simultaneously Reduce Flammability and Smoke Release of Epoxy Resin. Polymers 2022, 14, 2375. [Google Scholar] [CrossRef] [PubMed]
- Sun, Y.; Peng, Y.; Zhang, Y. A Study on the Synthesis, Curing Behavior and Flame Retardance of a Novel Flame Retardant Curing Agent for Epoxy Resin. Polymers 2022, 14, 245. [Google Scholar] [CrossRef]
- Jiang, J.; Huo, S.; Zheng, Y.; Yang, C.; Yan, H.; Ran, S.; Fang, Z. A Novel Synergistic Flame Retardant of Hexaphenoxycyclotriphosphazene for Epoxy Resin. Polymers 2021, 13, 3648. [Google Scholar] [CrossRef]
- Wang, F.; Liao, J.; Yan, L.; Liu, H. Fabrication of Diaminodiphenylmethane Modified Ammonium Polyphosphate to Remarkably Reduce the Fire Hazard of Epoxy Resins. Polymers 2021, 13, 3221. [Google Scholar] [CrossRef]
- Qiu, J.J.; Xue, Q.; Liu, Y.Y.; Pan, M.; Liu, C.M. A new polymer containing α-aminophosphonate unit used as reactive, halogen-free flame retardant for epoxy resins. Phosphorus Sulfur Silicon Relat. Elem. 2014, 189, 361–373. [Google Scholar] [CrossRef]
- Szolnoki, B.; Toldy, A.; Marosi, G. Effect of phosphorus flame retardants on the flammability of sugar-based bioepoxy resin. Phosphorus Sulfur Silicon Relat. Elem. 2019, 194, 309–312. [Google Scholar] [CrossRef]
- Aljamal, A.; Marosi, G.; Szolnoki, B. Flame retardancy effect of melamine cyanurate in combination with aluminum diethylphosphinate in a fully waterborne epoxy system. Phosphorus Sulfur Silicon Relat. Elem. 2021, 197, 574–578. [Google Scholar] [CrossRef]
- Wang, W.; Li, Y.; Wei, J.; Luo, Z.; Pan, C.; Liu, C. A novel polyhedral oligomeric silsesquioxanes derivative: Synthesis and characterization. J. Mol. Struct. 2021, 1246, 131255. [Google Scholar] [CrossRef]
- Liang, D.; Zhu, X.; Dai, P.; Lu, X.; Guo, H.; Que, H.; Wang, D.; He, T.; Xu, C.; Robin, H.M.; et al. Preparation of a novel lignin-based flame retardant for epoxy resin. Mater. Chem. Phys. 2021, 259, 124101. [Google Scholar] [CrossRef]
- Qian, X.; Song, L.; Bihe, Y.; Yu, B.; Shi, Y.; Hu, Y.; Yuen, R.K. Organic/inorganic flame retardants containing phosphorus, nitrogen and silicon: Preparation and their performance on the flame retardancy of epoxy resins as a novel intumescent flame retardant system. Mater. Chem. Phys. 2014, 143, 1243–1252. [Google Scholar] [CrossRef]
- Wang, X.; Song, L.; Xing, W.; Lu, H.; Hu, Y. An effective flame retardant for epoxy resins based on poly (DOPO substituted dihydroxyl phenyl pentaerythritol diphosphonate). Mater. Chem. Phys. 2011, 125, 536–541. [Google Scholar] [CrossRef]
- Wang, P.; Chen, L.; Xiao, H.; Zhan, T. Nitrogen/Sulfur-Containing DOPO Based Oligomer for Highly Efficient Flame-Retardant Epoxy Resin. Polym. Degrad. Stab. 2020, 171, 109023. [Google Scholar] [CrossRef]
- Wang, H.; Zhu, Z.; Yuan, J.; Wang, H.; Wang, Z.; Yang, F.; Zhan, J.; Wang, L. A New Recycling Strategy for Preparing Flame Retardants from Polyphenylene Sulfide Waste Textiles. Compos. Commun. 2021, 27, 100852. [Google Scholar] [CrossRef]
- Gu, X.; Huang, X.; Wei, H.; Tang, X. Synthesis of Novel Epoxy-Group Modified Phosphazene-Containing Nanotube and Its Reinforcing Effect in Epoxy Resin. Eur. Polym. J. 2011, 47, 903–910. [Google Scholar] [CrossRef]
- Sarychev, I.A.; Sirotin, I.S.; Borisov, R.S.; Mu, J.; Sokolskaya, I.B.; Bilichenko, J.V.; Filatov, S.N.; Kireev, V.V. Synthesis of Resorcinol-Based Phosphazene-Containing Epoxy Oligomers. Polymers 2019, 11, 614. [Google Scholar] [CrossRef]
- Feng, H.; Wang, X.; Wu, D. Fabrication of Spirocyclic Phosphazene Epoxy-Based Nanocomposites with Graphene via Exfoliation of Graphite Platelets and Thermal Curing for Enhancement of Mechanical and Conductive Properties. Ind. Eng. Chem. Res. 2013, 52, 10160–10171. [Google Scholar] [CrossRef]
- Liu, J.; Tang, J.; Wang, X.; Wu, D. Synthesis, Characterization and Curing Properties of a Novel Cyclolinear Phosphazene-Based Epoxy Resin for Halogen -Free Flame Retardancy and High Performance. RSC Adv. 2012, 2, 5789–5799. [Google Scholar] [CrossRef]
- Peng, W.; Xu, Y.; Nie, S.; Yang, W. A Bio-Based Phosphaphenanthrene-Containing Derivative Modified Epoxy Thermosets with Good Flame Retardancy, High Mechanical Properties and Transparency. RSC Adv. 2021, 11, 30943–30954. [Google Scholar] [CrossRef] [PubMed]
- Wang, H.; Yuan, J.; Zhu, Z.; Yin, X.; Weng, Y.; Wang, Z.; Yang, F.; Zhan, J.; Wang, H.; Wang, L. High Performance Epoxy Resin Composites Modified with Multifunctional Thiophene/Phosphaphenanthrene-Based Flame Retardant: Excellent Flame Retardance, Strong Mechanical Property and High Transparency. Compos. Part B-Eng. 2021, 227, 109392. [Google Scholar] [CrossRef]
- Liu, Y.-L. Epoxy Resins from Novel Monomers with a Bis-(9,10-Dihydro-9-Oxa-10-Oxide-10-Phosphaphenanthrene-10-Yl-) Substituent. J. Polym. Sci. A Polym. Chem. 2002, 40, 359–368. [Google Scholar] [CrossRef]
- Benin, V.; Cui, X.; Morgan, A.B.; Seiwert, K. Synthesis and Flammability Testing of Epoxy Functionalized Phosphorous-Based Flame Retardants. J. Appl. Polym. Sci. 2015, 132, 1–10. [Google Scholar] [CrossRef]
- Kim, I.J.; Ko, J.W.; Song, M.S.; Cheon, J.W.; Lee, D.J.; Park, J.W.; Yu, S.; Lee, J.H. Thermal and Flame Retardant Properties of Phosphate-Functionalized Silica/Epoxy Nanocomposites. Materials 2020, 13, 5418. [Google Scholar] [CrossRef]
- Wang, X.; Zhou, S.; Guo, W.-W.; Wang, P.-L.; Xing, W.; Song, L.; Hu, Y. Renewable Cardanol-Based Phosphate as a Flame Retardant Toughening Agent for Epoxy Resins. ACS Sustain. Chem. Eng. 2017, 5, 3409–3416. [Google Scholar] [CrossRef]
- Bornosuz, N.V.; Gorbunova, I.Y.; Kireev, V.V.; Bilichenko, Y.V.; Chursova, L.V.; Svistunov, Y.S.; Onuchin, D.V.; Shutov, V.V.; Petrakova, V.V.; Kolenchenko, A.A.; et al. Synthesis and Application of Arylaminophosphazene as a Flame Retardant and Catalyst for the Polymerization of Benzoxazines. Polymers 2021, 13, 263. [Google Scholar] [CrossRef]
- Terekhov, I.V.; Chistyakov, E.M.; Filatov, S.N.; Kireev, V.V.; Buzin, M.I. Hexa-Para-Aminophenoxycyclo-Triphosphazene as a Curing Agent/Modifier for Epoxy Resins. Int. Polym. Sci. Technol. 2015, 42, 31–34. [Google Scholar] [CrossRef]
- Terekhov, I.V.; Chistyakov, E.M.; Filatov, S.N.; Deev, I.S.; Kurshev, E.V.; Lonskii, S.L. Factors Influencing the Fire-Resistance of Epoxy Compositions Modified with Epoxy-Containing Phosphazenes. Inorg. Mater. Appl. Res. 2019, 10, 1429–1435. [Google Scholar] [CrossRef]
- Sirotin, I.S.; Sarychev, I.A.; Filatov, S.N.; Kireev, V.V.; Terekhov, I.V.; Khaskov, M.A. Physicomechanical Properties of Epoxy Composites Based on Low-Viscosity Phosphazene-Containing Epoxy-Resorcinol Resins. Polym. Sci. Ser. B 2020, 62, 362–367. [Google Scholar] [CrossRef]
- Salmeia, K.A.; Gaan, S. An Overview of Some Recent Advances in DOPO-Derivatives: Chemistry and Flame Retardant Applications. Polym. Degrad. Stab. 2015, 113, 119–134. [Google Scholar] [CrossRef]
- Jian, R.-K.; Ai, Y.-F.; Xia, L.; Zhao, L.-J.; Zhao, H.-B. Single Component Phosphamide-Based Intumescent Flame Retardant with Potential Reactivity towards Low Flammability and Smoke Epoxy Resins. J. Hazard. Mater. 2019, 371, 529–539. [Google Scholar] [CrossRef]
- Zhang, Q.; Yang, S.; Wang, J.; Cheng, J.; Zhang, Q.; Ding, G.; Hu, Y.; Huo, S. A DOPO Based Reactive Flame Retardant Constructed by Multiple Heteroaromatic Groups and Its Application on Epoxy Resin: Curing Behavior, Thermal Degradation and Flame Retardancy. Polym. Degrad. Stab. 2019, 167, 10–20. [Google Scholar] [CrossRef]
- Yang, J.W.; Wang, Z.Z. Thermal and flame retardant properties of epoxy resin cured by a novel phosphorus-containing 4, 4′-bisphenol novolac curing agent. Phosphorus Sulfur Silicon Relat. Elem. 2017, 192, 1294–1300. [Google Scholar] [CrossRef]
- Xiao, L.; Sun, D.C.; Niu, T.L.; Yao, Y.W. Syntheses of two dopo-based reactive additives as flame retardants and co-curing agents for epoxy resins. Phosphorus Sulfur Silicon Relat. Elem. 2014, 189, 1564–1571. [Google Scholar] [CrossRef]
- Sun, Z.; Hou, Y.; Hu, Y.; Hu, W. Effect of additive phosphorus-nitrogen containing flame retardant on char formation and flame retardancy of epoxy resin. Mater. Chem. Phys. 2018, 214, 154–164. [Google Scholar] [CrossRef]
- Liang, B.; Hong, X.D.; Wang, C.S. Synthesis and Properties of a Novel Phosphorous-containing Flame-retardant Hardener for Epoxy Resin. J. Appl. Polym. Sci. 2012, 128, 2759–2765. [Google Scholar] [CrossRef]
- Wirasaputra, A.; Yao, X.; Zhu, Y.; Liu, S.; Yuan, Y.; Zhao, J.; Fu, Y. Flame-Retarded Epoxy Resins with a Curing Agent of DOPO-Triazine Based Anhydride. Macromol. Mater. Eng. 2016, 301, 982–991. [Google Scholar] [CrossRef]
- Shao, Z.-B.; Zhang, M.-X.; Li, Y.; Han, Y.; Ren, L.; Deng, C. A Novel Multi-Functional Polymeric Curing Agent: Synthesis, Characterization, and Its Epoxy Resin with Simultaneous Excellent Flame Retardance and Transparency. Chem. Eng. J. 2018, 345, 471–482. [Google Scholar] [CrossRef]
- Xu, Y.-J.; Chen, L.; Rao, W.-H.; Qi, M.; Guo, D.-M.; Liao, W.; Wang, Y.-Z. Latent Curing Epoxy System with Excellent Thermal Stability, F.; lame Retardance and Dielectric Property. Chem. Eng. J. 2018, 347, 223–232. [Google Scholar] [CrossRef]
- Xie, W.; Huang, S.; Tang, D.; Liu, S.; Zhao, J. Synthesis of a Furfural-Based DOPO-Containing Co-Curing Agent for Fire-Safe Epoxy Resins. RSC Adv. 2020, 10, 1956–1965. [Google Scholar] [CrossRef] [PubMed]
- Buravov, B.A.; Bochkarev, E.S.; Al-Khamzawi, A.; Tuzhikov, O.O.; Tuzhikov, O.I. Modern trends in the development of antipyrine for polymer compositions. Composition, properties, application. IZVESTIA VGTU 2020, 7–24. [Google Scholar] [CrossRef]
- Li, A.; Mao, P.; Liang, B. The Application of a Phosphorus Nitrogen Flame Retardant Curing Agent in Epoxy Resin. e-Polymers 2019, 19, 545–554. [Google Scholar] [CrossRef]
- Ma, H.; Tong, L.; Xu, Z.; Fang, Z.; Jin, Y.; Lu, F. A Novel Intumescent Flame Retardant: Synthesis and Application in ABS Copolymer. Polym. Degrad. Stab. 2007, 92, 720–726. [Google Scholar] [CrossRef]
- Wang, Q.; Chen, Y.; Liu, Y.; Yin, H.; Aelmans, N.; Kierkels, R. Performance of an Intumescent-Flame-Retardant Master Batch Synthesized by Twin-Screw Reactive Extrusion: Effect of the Polypropylene Carrier Resin. Polym. Int. 2004, 53, 439–448. [Google Scholar] [CrossRef]
- Yang, X.; Wang, C.; Xia, J.; Mao, W.; Li, S. Study on Synthesis of Novel Phosphorus-Containing Flame Retardant Epoxy Curing Agents from Renewable Resources and the Comprehensive Properties of Their Combined Cured Products. Prog. Org. Coat. 2017, 110, 195–203. [Google Scholar] [CrossRef]
- Huo, S.; Yang, S.; Wang, J.; Cheng, J.; Zhang, Q.; Hu, Y.; Ding, G.; Zhang, Q.; Song, P. A Liquid Phosphorus-Containing Imidazole Derivative as Flame-Retardant Curing Agent for Epoxy Resin with Enhanced Thermal Latency, Mechanical, and Flame-Retardant Performances. J. Hazard. Mater. 2020, 386, 121984. [Google Scholar] [CrossRef]
- Chistyakov, E.M.; Kireev, V.V.; Filatov, S.N.; Terekhov, I.V.; Buzin, M.I.; Komarova, L.I. Thermal polycondensation of hexa-p-hydroxymethylphenoxycyclotriphosphazene. Polym. Sci. Ser. B 2012, 54, 407–412. [Google Scholar] [CrossRef]
- Zhou, X.; Qiu, S.; He, L.; Wang, X.; Zhu, Y.; Chu, F.; Wang, B.; Song, L.; Hu, Y. Synthesis of star-shaped allyl phosphazene small molecules for enhancing fire safety and toughness of high performance BMI resin. Chem. Eng. J. 2021, 425, 130655. [Google Scholar] [CrossRef]
- Abu-Shanab, O.L.; Chang, C.P.; Soucek, M.D. Polyphosphazene toughened PMR-type thermosets. High Perform. Polym. 1996, 8, 455–473. [Google Scholar] [CrossRef]
- Howell, B.A.; Lienhart, G.W.; Livingstone, V.J.; Aulakh, D. 1-Dopyl-1, 2-(4-hydroxyphenyl) ethene: A flame retardant hardner for epoxy resin. Polym. Degrad. Stab. 2020, 175, 109110. [Google Scholar] [CrossRef]





| Ingredients | Weight of FPP Added to IPDA, wt. % | ||
|---|---|---|---|
| 10 | 20 | 30 | |
| FPP, g | 4 | 8 | 12 |
| MgSO4, g | 0.65 | 1.32 | 1.98 |
| FPP Content in the Curing Agent, wt.% | DER-354 Weight, g |
|---|---|
| 0 | 6.02 |
| 10 | 5.63 |
| 20 | 5.31 |
| 30 | 5.03 |
| Properties | FPP Content in IPDA, wt.% | |||
|---|---|---|---|---|
| 0 | 10 | 20 | 30 | |
| Dynamic viscosity of the curing agent, mPa∙s | 18 | 90 | 890 | 7300 |
| Dynamic viscosity of the binder, mPa∙s | 740 | 1320 | 2740 | 4650 |
| Parameter | FPP Content in IPDA, wt.% | |||
|---|---|---|---|---|
| 0 | 10 | 20 | 30 | |
| Tg onset (DMA), °C | 109 | 115 (+5.5%) | 111 (+1.8%) | 71 (−34.9%) |
| Tg end (DMA), °C | 125 | 131 (+4.8%) | 128 (+2.4%) | 100 (−20.0%) |
| Tg (DSC), °C | 119 | 121 (+1.7%) | 121 (+1.7%) | 89 (−25.2%) |
| Parameter | FPP Content in IPDA, wt.% | |||
|---|---|---|---|---|
| 0 | 10 | 20 | 30 | |
| Tensile strength, MPa | 40.7 | 52.7 (+29.5%) | 50.7 (+24.6%) | 38.8 (−4.7%) |
| Tensile modulus, MPa | 1990 | 2820 (+41.7%) | 2888 (+45.1%) | 2570 (+29.1%) |
| Ultimate tensile strain, % | 2.5 | 2.7 (+8.0%) | 3.0 (+20%) | 2.5 (0%) |
| Compressive strength, MPa | 117.8 | 124.3 (+5.5%) | 126.5 (+7.4%) | 124.4 (+5.6%) |
| Compression modulus, MPa | 1160 | 1120 (−3.4%) | 1120 (−3.4%) | 1120 (−3.4%) |
| Ultimate compression strain, % | 14.0 | 13.7 (−2.1%) | 13.7 (−2.1%) | 14.9 (+6.4%) |
| Adhesion strength, MPa | 4.43 | 4.61 (+4.1%) | 4.67 (+5.4%) | 4.71 (+9.5%) |
| Type of destruction | Adhesion | Adhesion | Adhesion | Adhesion |
| Water absorption, % | 0.25 | 0.24 (−4.0%) | 0.24 (−4.0%) | 0.25 (0%) |
| Water solubility, % | 0.12 | 0.12 (0%) | 0.12 (0%) | 0.12 (0%) |
| FPP Content in IPDA, wt.% | Phosphorus Content in the Cured Resin, % | Burning Rate, mm/min. |
|---|---|---|
| 0 | 0 | 17 |
| 10 | 0.26 | 15 |
| 20 | 0.51 | 13 |
| 30 | 0.86 | 10 |
Publisher’s Note: MDPI stays neutral with regard to jurisdictional claims in published maps and institutional affiliations. |
© 2022 by the authors. Licensee MDPI, Basel, Switzerland. This article is an open access article distributed under the terms and conditions of the Creative Commons Attribution (CC BY) license (https://creativecommons.org/licenses/by/4.0/).
Share and Cite
Orlov, A.; Konstantinova, A.; Korotkov, R.; Yudaev, P.; Mezhuev, Y.; Terekhov, I.; Gurevich, L.; Chistyakov, E. Epoxy Compositions with Reduced Flammability Based on DER-354 Resin and a Curing Agent Containing Aminophosphazenes Synthesized in Bulk Isophoronediamine. Polymers 2022, 14, 3592. https://doi.org/10.3390/polym14173592
Orlov A, Konstantinova A, Korotkov R, Yudaev P, Mezhuev Y, Terekhov I, Gurevich L, Chistyakov E. Epoxy Compositions with Reduced Flammability Based on DER-354 Resin and a Curing Agent Containing Aminophosphazenes Synthesized in Bulk Isophoronediamine. Polymers. 2022; 14(17):3592. https://doi.org/10.3390/polym14173592
Chicago/Turabian StyleOrlov, Alexey, Anastasia Konstantinova, Roman Korotkov, Pavel Yudaev, Yaroslav Mezhuev, Ivan Terekhov, Leonid Gurevich, and Evgeniy Chistyakov. 2022. "Epoxy Compositions with Reduced Flammability Based on DER-354 Resin and a Curing Agent Containing Aminophosphazenes Synthesized in Bulk Isophoronediamine" Polymers 14, no. 17: 3592. https://doi.org/10.3390/polym14173592
APA StyleOrlov, A., Konstantinova, A., Korotkov, R., Yudaev, P., Mezhuev, Y., Terekhov, I., Gurevich, L., & Chistyakov, E. (2022). Epoxy Compositions with Reduced Flammability Based on DER-354 Resin and a Curing Agent Containing Aminophosphazenes Synthesized in Bulk Isophoronediamine. Polymers, 14(17), 3592. https://doi.org/10.3390/polym14173592

