Fire Resistance Improvement of Fast-Growing Poplar Wood Based on Combined Modification Using Resin Impregnation and Compression
Abstract
1. Introduction
2. Materials and Methods
2.1. Materials
2.2. Wood Modification
2.3. Characteristics Analysis of Resin
2.4. Bending Tests of Wood Specimens
2.5. Fire Resistance Testing of Wood Specimen
3. Results and Discussion
3.1. Characteristics Analysis of Resin
3.2. Bending Properties of Wood Specimens at Elevated and High Temperatures
3.2.1. Static Bending Strength
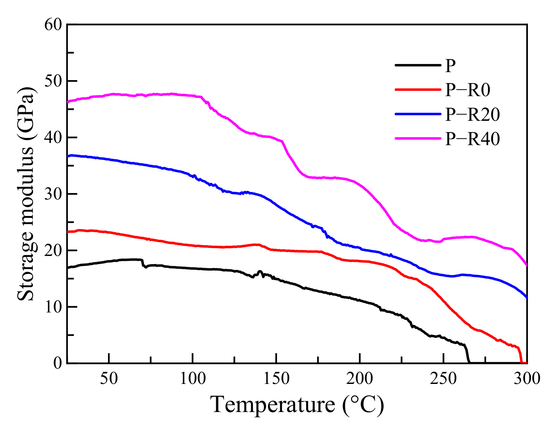
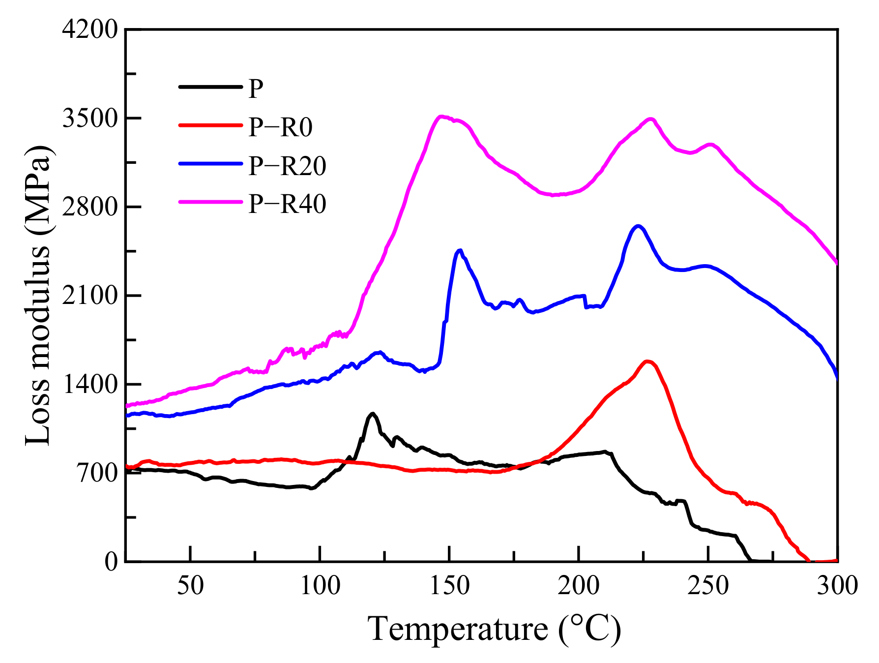
3.2.2. Dynamic Thermomechanical Analysis (DMA)
3.3. Fire Performance
3.3.1. Limiting Oxygen Index and Time to Ignition
3.3.2. Heat Release and Fire Growth Index
3.3.3. Carbon Dioxide and Total Smoke Production
3.3.4. Mass Retention (MR)
3.3.5. Char Residue Morphology and Microstructure Analysis
4. Conclusions
Author Contributions
Funding
Institutional Review Board Statement
Informed Consent Statement
Data Availability Statement
Conflicts of Interest
References
- Yue, K.; Chen, Z.J.; Lu, W.D.; Liu, W.Q.; Li, M.Y.; Shao, Y.L.; Tang, L.J.; Wan, L. Evaluating the mechanical and fire-resistance of modified fast-growing Chinese fir timber with boricphenol-formaldehyde resin. Constr. Build. Mater. 2017, 154, 956–962. [Google Scholar] [CrossRef]
- Yue, K.; Song, X.L.; Jiao, X.K.; Wang, L.; Jia, C.; Chen, Z.J.; Liu, W.Q. An experimental study on flexural behavior of glulam beams made out of thermally treated fast-growing poplar laminae. Wood Fiber Sci. 2020, 52, 152–164. [Google Scholar] [CrossRef]
- Anshari, B.; Guan, Z.W.; Wang, Q.Y. Modelling of glulam beams pre-stressed by compressed wood. Compos. Struct. 2017, 165, 160–170. [Google Scholar] [CrossRef]
- Uzel, M.; Togay, A.; Anil, O.; Sogutlu, C. Experimental investigation of flexural behavior of glulam beams reinforced with different bonding surface materials. Constr. Build. Mater. 2018, 158, 149–163. [Google Scholar] [CrossRef]
- Issa, C.A.; Kmeid, Z. Advanced wood engineering: Glulam beams. Constr. Build. Mater. 2005, 19, 99–106. [Google Scholar] [CrossRef]
- He, Z.X.; Qi, Y.R.; Zhang, G.; Zhao, Y.Y.; Dai, Y.; Liu, B.X.; Lian, C.L.; Dong, X.Y.; Li, Y.F. Mechanical properties and dimensional stability of poplar wood modified by pre-compression and post-vacuum-thermo treatments. Polymers 2022, 14, 1571. [Google Scholar] [CrossRef] [PubMed]
- Yue, K.; Wang, L.; Xia, J.; Zhang, Y.L.; Chen, Z.J.; Liu, W.Q. Experimental research on mechanical properties of laminated poplar wood veneer/plastic sheet composites. Wood Fiber Sci. 2019, 51, 320–331. [Google Scholar] [CrossRef]
- Yue, K.; Liu, W.Q.; Chen, Z.J.; Lu, X.N.; Lu, W.D. Investigation of the creep property of fast-growing poplar wood modified with low molecular weight resins. BioResources 2016, 11, 1620–1633. [Google Scholar] [CrossRef][Green Version]
- Yue, K.; Wu, J.H.; Xu, L.Q.; Tang, Z.Q.; Chen, Z.J.; Liu, W.Q.; Wang, L. Use impregnation and densification to improve mechanical properties and combustion performance of Chinese fir. Constr. Build. Mater. 2020, 241, 118101. [Google Scholar] [CrossRef]
- Li, T.; Deng, D.L.; Avramidis, S.; Wlinder, M.E.P.; Zhou, D.G. Response of hygroscopicity to heat treatment and its relation to durability of thermally modified wood. Constr. Build. Mater. 2017, 144, 671–676. [Google Scholar] [CrossRef]
- Yue, K.; Cheng, X.C.; Chen, Z.J.; Tang, L.J.; Liu, W.Q. Investigation of decay resistance of poplar wood impregnated with of alkaline copper, urea-formaldehyde and phenol-formaldehyde resin. Wood Fiber Sci. 2018, 50, 392–401. [Google Scholar] [CrossRef]
- Sjödin, J.; Johansson, C.J. Influence of initial moisture induced stresses in multiple steel-to-timber dowel joints. Eur. J. Wood Wood Prod. 2007, 65, 71–77. [Google Scholar] [CrossRef]
- Awoyemi, L.; Westermark, U. Effects of borate impregnation on the response of wood strength to heat treatment. Wood Sci. Technol. 2005, 39, 484–491. [Google Scholar] [CrossRef]
- Shams, M.I.; Morooka, T.; Yano, H. Compressive deformation of wood impregnated with low molecular weight phenol formaldehyde (PF) resin. V: Effects of steam pretreatment. J. Wood Sci. 2006, 52, 389–394. [Google Scholar] [CrossRef]
- Furuno, T.; Imamura, Y.; Kajita, H. The modification of wood by treatment with low molecular weight phenol-formaldehyde resin: A properties enhancement with neutralized phenolic-resin and resin penetration into wood cell walls. Wood Sci. Technol. 2004, 37, 349–361. [Google Scholar]
- Gindl, W.; Dessipri, E.; Wimmer, R. Using UV-microscopy to study diffusion of melamine-urea-formaldehyde resin in cell walls of spruce wood. Holzforschung 2002, 56, 103–107. [Google Scholar] [CrossRef]
- Wang, J.; Fishwild, S.; Begel, M.; Zhu, J.Y. Properties of densified poplar wood through partial delignification with alkali and acid pretreatment. J. Mater. Sci. 2020, 55, 14664–14676. [Google Scholar] [CrossRef]
- Jakob, M.; Stemmer, G.; Czabany, I.; Müller, U.; Gindl-Altmutter, W. Preparation of high strength plywood from partially delignified densified wood. Polymers 2020, 12, 1796. [Google Scholar] [CrossRef]
- Yue, K.; Liang, B.; Shao, Y.L.; Xie, C.H.; Hu, W.J.; Zhao, M.Y.; Chen, Z.J.; Lu, W.D. Lateral behavior of wood frame shear walls sheathed with densified plywood under monotonic loading. Thin-Walled Struct. 2021, 166, 108082. [Google Scholar] [CrossRef]
- GB/T 1927.4-2021; Test Methods or Physical and Mechanical Properties of Small Clear Wood Specimen—Part 4: Determination of Moisture Content. Standardization Administration of China: Beijing, China, 2021.
- GB/T 14074-2017; Testing Methods for Wood Adhesives and Their Resins. Standardization Administration of China: Beijing, China, 2017.
- ASTM E689-18; Standard Test Method for Kinetic Parameters for Thermally Unstable Materials Using Differential Scanning Calorimetry and the Flynn/Wall/Ozawa Method. ASTM International: West Conshohocken, PA, USA, 2020.
- He, G.B.; Riedl, B. Curing kinetics of phenol formaldehyde resin and wood-resin interactions in the presence of wood substrates. Wood Sci Technol. 2004, 38, 69–81. [Google Scholar]
- White, R.H.; Nordheim, E.V. Charring rate of wood for ASTM E 119 exposure. Fire Technol. 1992, 28, 5–30. [Google Scholar] [CrossRef]
- GB/T 1927.9-2021; Test Methods for Physical and Mechanical Properties of Small Clear Wood Specimen—Part 9: Determination of Bending Strength. Standardization Administration of China: Beijing, China, 2021.
- Lytle, C.A.; Bertsch, W.; Mckinley, M. Determination of novolac resin thermal decomposition products by pyrolysis-gas chromatography-mass. J. Anal. Appl. Pyrol. 1998, 45, 121–131. [Google Scholar] [CrossRef]
- Bergander, A.; Salmen, L. Cell wall properties and their effects on the mechanical properties of fibres. Radiat. Prot. Dosim. 2003, 103, 103–109. [Google Scholar]
- Lin, B.J.; Chlin, B.; Chen, W.H.; Pétrissans, A.; Rousset, P.; Pétrissans, M. Thermal degradation and compositional changes of wood treated in a semi-industrial scale reactor in vacuum. J. Anal. Appl. Pyrol. 2018, 130, 8–18. [Google Scholar] [CrossRef]
- EN 1995-1-2, 2009; Eurocode 5: Design of Timber Structures—Part 1-2: General—Structural Fire Design. CEN(European Committee for Standardization): Brussels, Belgium, 2009.
- Tang, Z.Q.; Yue, K.; Lu, D.; Shi, X.L.; Chu, Y.Y.; Tian, Z.Y.; Lu, W.D. Experimental investigation into fire performance of mixed species glulam beam under three-side fire exposure. Eur. J. Wood Wood Prod. 2022, 80, 235–245. [Google Scholar] [CrossRef]
- Wang, J.Y.; Zhao, G.J.; Iida, I. Effect of oxidation on heat fixation of compressed wood of China fir. For. Study China 2000, 2, 73–79. [Google Scholar]
- ISO 5660-1:2015; Reaction-to-Fire Tests—Heat Release, Smoke Production and Mass Loss Rate. Part 1: Heat Release Rate (Cone Calorimeter Method) and Smoke Production Rate (Dynamic Measurement). International Organization for Standardization: Geneva, Switzerland, 2015.
- Wang, J.W.; Laborie, M.P.G.; Wolcott, M.P. Comparison of model-fitting kinetics for predicting the cure behavior of commercial phenol–formaldehyde resins. J. Appl. Polym. Sci. 2007, 105, 1289–1296. [Google Scholar] [CrossRef]
- GB 50206-2012; Code for Acceptance of Construction Quality Timber Structures. Harbin Institute of Technology, CSCEC Xinjiang Construction & Engineering (Group) Co., Ltd.: Urumqi, China, 2012.
- Moraes, P.D.; Rogaume, Y.; Bocquet, J.F.; Triboulot, P. Influence of temperature on the embedding strength. Eur. J. Wood Wood Prod. 2005, 63, 297–302. [Google Scholar] [CrossRef]
- Sinha, A.; Gupta, R.; Nairn, J.A. Thermal degradation of bending properties of structural wood and wood-based composites. Holzforschung 2011, 65, 221–229. [Google Scholar] [CrossRef]
- Manríquez, M.J.; Moraes, P.D. Influence of the temperature on the compression strength parallel to grain of paricá. Constr. Build. Mater. 2010, 24, 99–104. [Google Scholar] [CrossRef]
- Sharma, M.; Brennan, M.; Chauhan, S.S.; Entwistle, K.M.; Altaner, C.M.; Harris, P.J. Wood quality assessment of Pinus radiata saplings by dynamic mechanical analysis. Wood Sci. Technol. 2015, 49, 1239–1250. [Google Scholar] [CrossRef]
- Salmen, L.; Stevanic, J.S.; Olsson, A.M. Contribution of lignin to the strength properties in wood fibres studied by dynamic FTIR spectroscoty and dynamic mechanicl analysis (DMA). Holzforschung 2016, 70, 1155–1163. [Google Scholar] [CrossRef]
- Kuai, B.B.; Wang, Z.H.; Gao, J.S.; Tong, J.W.; Zhan, T.Y.; Zhang, Y.L.; Lu, J.X.; Cai, L.P. Development of densified wood with high strength and excellent dimensional stability by impregnating delignified poplar by sodium silicate. Constr. Build. Mater. 2022, 344, 128282. [Google Scholar] [CrossRef]
- Richter, F.; Atreya, A.; Kotsovinos, P.; Rein, G. The effect of chemical composition on the charring of wood across scales. P. Combust. Inst. 2019, 37, 4053–4061. [Google Scholar] [CrossRef]
- Bertaud, F.; Holmbom, B. Chemical composition of earlywood and latewood in Norway spruce heartwood, sapwood and transition zone wood. Wood Sci. Technol. 2004, 38, 245–256. [Google Scholar] [CrossRef]
- González-Pena, M.M.; Curling, S.F.; Hale, M.D.C. On the effect of heat on the chemical composition and dimensions of thermally-modified wood. Polym. Degrad. Stab. 2009, 94, 2184–2193. [Google Scholar] [CrossRef]
- Indira, K.N.; Jyotishkumar, P.; Thomas, S. Viscoelastic behavior of untreated and chemically treated banana fiber/PF composites. Fiber Polym. 2014, 15, 91–100. [Google Scholar] [CrossRef]
- Åkeroholm, M.; Salmén, L. The oriented structure of lignin and its viscoelastic properties studied by static and dynamic FT-IR spectroscopy. Holzforschung 2003, 57, 459–465. [Google Scholar] [CrossRef]
- Irvine, G.M. The glass transition of lignin, hemicellulose, cellulose and their measurement by differential thermal analysis. Tappi J. 1984, 67, 118–121. [Google Scholar]
- Back, E.L.; Salmén, N.L. Glass transition of wood components hold implications for molding and pulping processes. Tappi J. 1982, 65, 107–110. [Google Scholar]
- Salmén, L. Temperature and Water Induced Softening Behaviour of Wood Fiber Based Material. Ph.D. Thesis, Department of Paper Technology, Royal Institute of Technology, Stockholm, Sweden, April 1982. [Google Scholar]
- Esteves, B.; Graça, J.; Pereira, H. Extractive composition and summative chemical analysis of thermally treated eucalypt wood. Holzforschung 2008, 62, 344–351. [Google Scholar] [CrossRef]
- Ling, N.; Hori, N.; Takemura, A. Effect of postcure conditions on the dynamic mechanical behavior of water-based polymerisocyanate adhesive for wood. J. Wood Sci. 2008, 54, 377–382. [Google Scholar] [CrossRef]
- Schartel, B.; Hull, T.R. Development of fire-retarded materials interpretation of cone calorimeter data. Fire Mater. 2007, 31, 327–354. [Google Scholar] [CrossRef]
- Xu, Q.F.; Chen, L.Z.; Harries, K.A.; Zhang, F.W.; Liu, Q.; Feng, J.H. Combustion and charring properties of five common constructional wood species from cone calorimeter tests. Constr. Build. Mater. 2015, 96, 416–427. [Google Scholar] [CrossRef]
- Liu, Q.Q.; Chai, Y.B.; Ni, L.; Lyu, W.H. Flame retardant properties and thermal decomposition kinetics of wood treated with boric acid modified silica sol. Materials 2020, 13, 4478. [Google Scholar] [CrossRef] [PubMed]
- Huo, J.S.; Ma, J.F.; Xiao, Y. Flammability assessment of glubam with cone-calorimeter tests. J. Mater. Civ. Eng. 2021, 33, 04021060. [Google Scholar] [CrossRef]
- Harada, T. Time to ignition, heat release rate and fire endurance time of wood in cone calorimeter test. Fire Mater. 2001, 25, 161–167. [Google Scholar] [CrossRef]
- Kubovsk, I.; Kačkov, D.; Kačk, F. Structural changes of oak wood main components caused by thermal modification. Polymers 2020, 12, 485. [Google Scholar] [CrossRef]
- Lau, W.C.; White, R.; Zeeland, I.V. Modelling the charring behaviour of structural lumber. Fire Mater. 1999, 23, 209–216. [Google Scholar] [CrossRef]
- Liu, J.; Yue, K.; Xu, L.Q.; Wu, J.H.; Chen, Z.J.; Wang, L.; Liu, W.Q.; Lu, W.D. Bonding performance of melamine-urea-formaldehyde and phenol-resorcinol-formaldehyde adhesive glulams at elevated temperatures. Int. J. Adhes. Adhes. 2020, 98, 102500. [Google Scholar] [CrossRef]
- Peng, W.; Yang, Z.Y.; Huang, X.; Liu, W.Q.; Fang, H. Exact solutions for multilayer functionally graded beams bonded by viscoelastic interlayer considering memory effect. Compos. Struct. 2020, 249, 112492. [Google Scholar]
- Ling, Z.; Ji, Z.; Ding, D.Y.; Cao, J.Z.; Xu, F. Microstructural and topochemical characterization of thermally modified poplar (Populus cathayaha) cell wall. BioResources 2016, 11, 786–799. [Google Scholar] [CrossRef]
- Yue, K.; Wu, J.H.; Wang, F.; Chen, Z.J.; Lu, W.D. Mechanical properties of Douglas fir wood at elevated temperatures under nitrogen conditions. J. Mater. Civ. Eng. 2022, 34, 04021434. [Google Scholar] [CrossRef]
- Abdalla, M.O.; Ludwick, A.; Mitchell, T. Boron-modified phenolic resins for high performance applications. Polymer 2003, 44, 7353–7359. [Google Scholar] [CrossRef]
















| Wood Species | Strength Classes | Bending Strength (MPa) |
|---|---|---|
| Hardwood | TB11 | 58 |
| TB13 | 68 | |
| TB15 | 78 | |
| TB17 | 88 | |
| TB20 | 98 |
| Specimen Type | Density (g·cm−3) | TTI (s) | HRR 1 (kW·m−2) | THR 2 (MJ·m−2) | TSP (m2) | MR (%) | FGI | ||||||||
| 464 s | 499 s | 564 s | 464 s | 499 s | 564 s | 464 s | 499 s | 564 s | 880 s | [53] | [54] | ||||
| P | 0.444 | 17 | 208.38 (245) | 55.24 | - | - | 3.06 | - | - | 22.02 | - | - | - | 0.09 | 1.18 |
| P-R0 | 0.524 | 26 | 163.92 (299) | 41.44 | 42.99 | - | 2.21 | 2.21 | - | 38.20 | 35.97 | - | - | 0.14 | 1.82 |
| P-R20 | 0.656 | 44 | 180.66 (364) | 40.55 | 42.39 | 45.06 | 2.96 | 2.99 | 3.00 | 44.21 | 40.84 | 37.74 | - | 0.24 | 2.01 |
| P-R40 | 0.874 | 83 | 179.07 (589) | 32.62 | 35.65 | 41.82 | 2.00 | 2.34 | 2.37 | 71.09 | 68.46 | 63.26 | 34.42 | 0.43 | 3.29 |
Publisher’s Note: MDPI stays neutral with regard to jurisdictional claims in published maps and institutional affiliations. |
© 2022 by the authors. Licensee MDPI, Basel, Switzerland. This article is an open access article distributed under the terms and conditions of the Creative Commons Attribution (CC BY) license (https://creativecommons.org/licenses/by/4.0/).
Share and Cite
Cheng, X.; Lu, D.; Yue, K.; Lu, W.; Zhang, Z. Fire Resistance Improvement of Fast-Growing Poplar Wood Based on Combined Modification Using Resin Impregnation and Compression. Polymers 2022, 14, 3574. https://doi.org/10.3390/polym14173574
Cheng X, Lu D, Yue K, Lu W, Zhang Z. Fire Resistance Improvement of Fast-Growing Poplar Wood Based on Combined Modification Using Resin Impregnation and Compression. Polymers. 2022; 14(17):3574. https://doi.org/10.3390/polym14173574
Chicago/Turabian StyleCheng, Xiaowu, Dong Lu, Kong Yue, Weidong Lu, and Zhongfeng Zhang. 2022. "Fire Resistance Improvement of Fast-Growing Poplar Wood Based on Combined Modification Using Resin Impregnation and Compression" Polymers 14, no. 17: 3574. https://doi.org/10.3390/polym14173574
APA StyleCheng, X., Lu, D., Yue, K., Lu, W., & Zhang, Z. (2022). Fire Resistance Improvement of Fast-Growing Poplar Wood Based on Combined Modification Using Resin Impregnation and Compression. Polymers, 14(17), 3574. https://doi.org/10.3390/polym14173574

