Effect of Coir Fiber Surface Treatment on Interfacial Properties of Reinforced Epoxy Resin Composites
Abstract
:1. Introduction
2. Materials and Methods
2.1. Materials
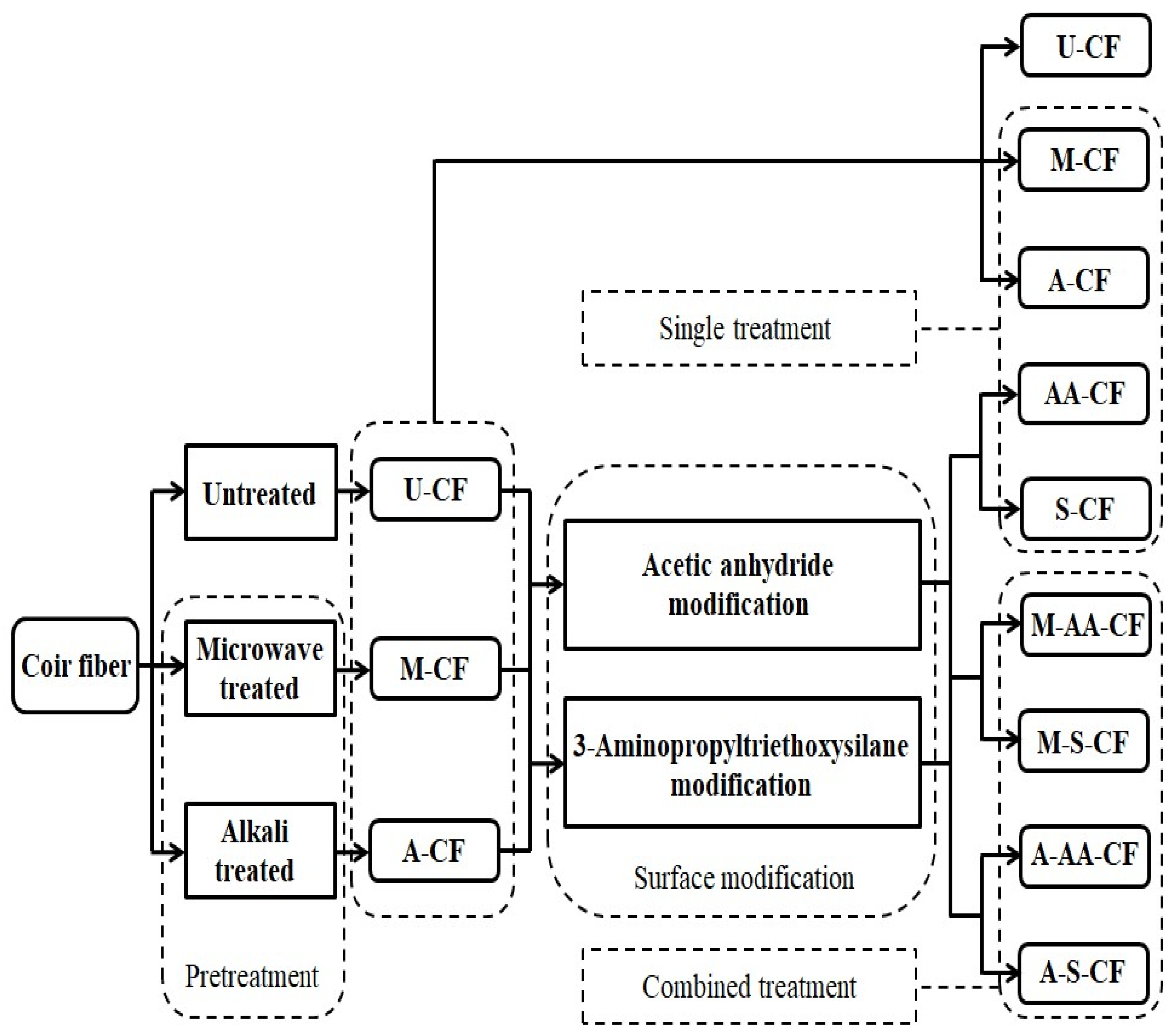
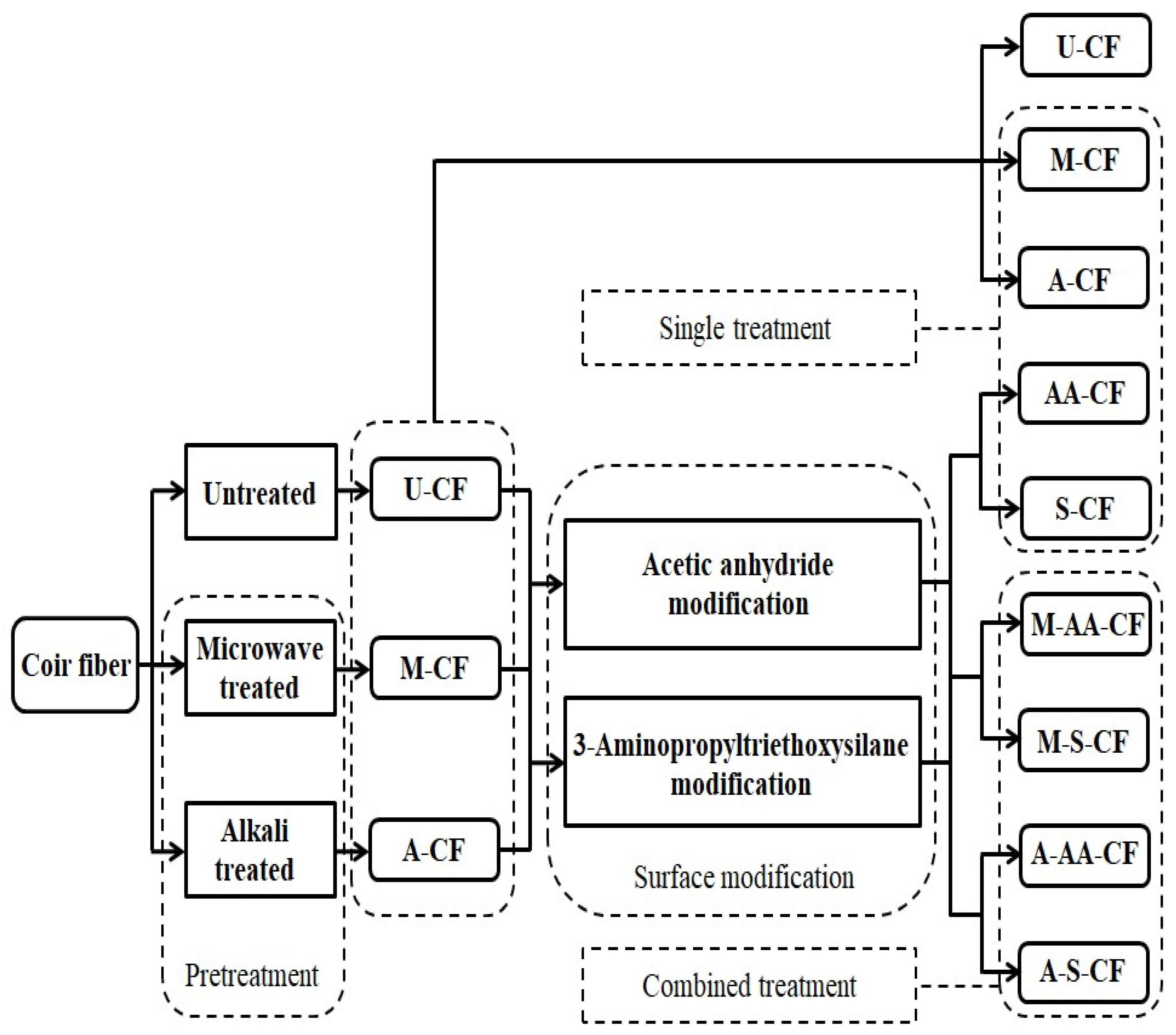
2.2. Preparation of Coir Fibers
2.2.1. Preparation of Coir Fibers Treated by a Single Method
2.2.2. Preparation of Coir Fibers Treated by Combined Method
2.3. Analysis Method of Coir Fibers Characteristics
2.3.1. Scanning Electron Microscopy
2.3.2. Fourier Transform-infrared Spectroscopy
2.3.3. X-ray Diffraction
2.4. Preparation of Pullout Specimens
2.5. Single-Fiber Pullout Test
2.6. Processing Methods of Test Data
3. Results and Discussion
3.1. Scanning Electron Microscopy Observation and Analysis
3.2. Fourier Transform-Infrared Spectroscopy Analysis
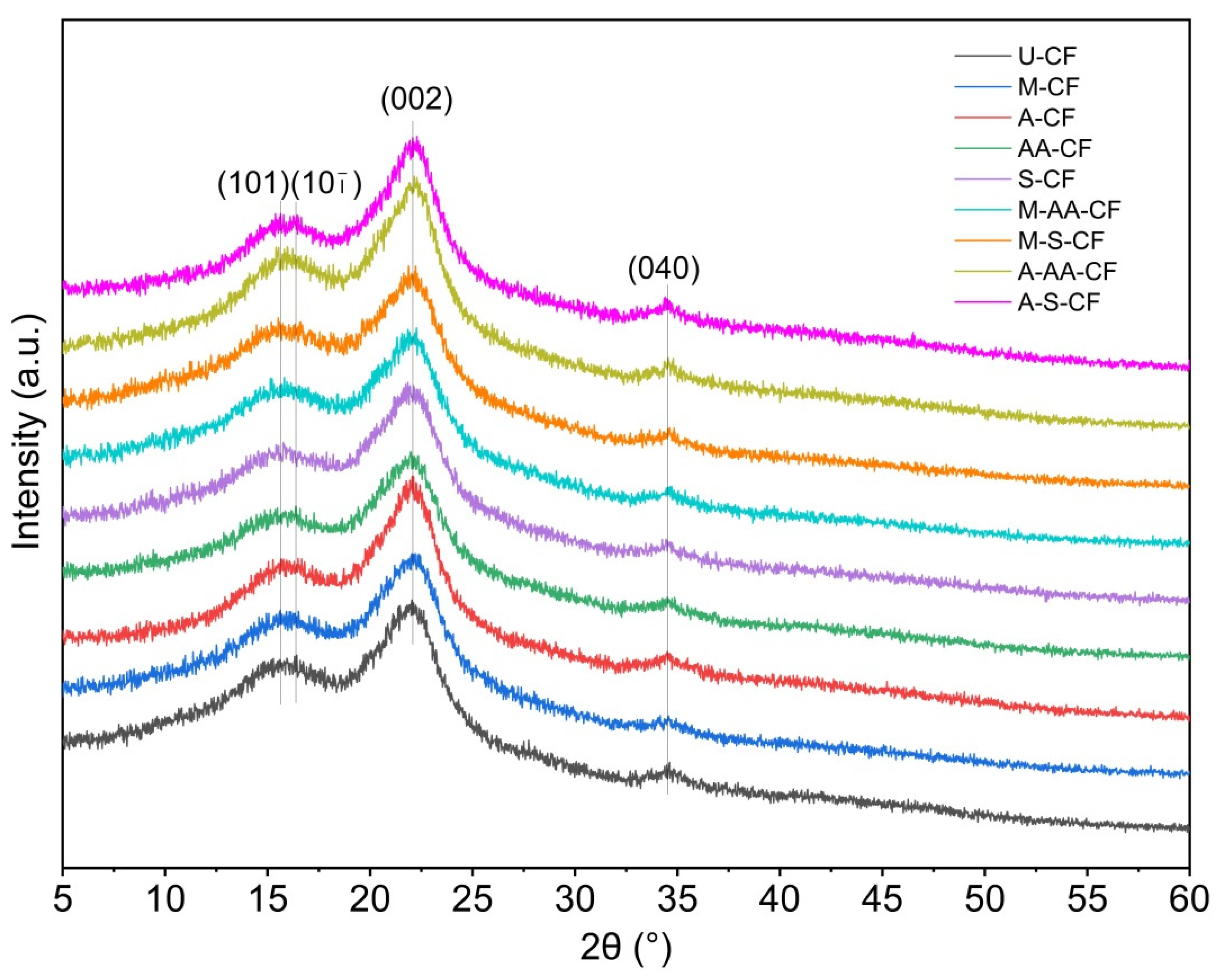
3.3. X-ray Diffraction Analysis
3.4. Single-Fiber Pullout Test Results
3.5. Interfacial Characteristic Analysis
4. Conclusions
Author Contributions
Funding
Institutional Review Board Statement
Informed Consent Statement
Data Availability Statement
Conflicts of Interest
References
- Manjula, R.; Raju, N.V.; Chakradhar, R.P.S.; Johns, J. Effect of thermal aging and chemical treatment on tensile properties of coir fiber. J. Nat. Fibers 2018, 15, 112–121. [Google Scholar] [CrossRef]
- Atmakuri, A.; Palevicius, A.; Siddabathula, M.; Vilkauskas, A.; Janusas, G. Analysis of mechanical and wettability properties of natural fiber-reinforced epoxy hybrid composites. Polymers 2020, 12, 2827. [Google Scholar] [CrossRef]
- Rocky, B.P.; Thompson, A.J. Production and modification of natural bamboo fibers from four bamboo species, and their prospects in textile manufacturing. Fibers Polym. 2020, 21, 2740–2752. [Google Scholar] [CrossRef]
- Mishra, L.; Basu, G.; Samanta, A.K. Effect of chemical softening of coconut fibres on structure and properties of its blended yarn with jute. Fibers Polym. 2017, 18, 357–368. [Google Scholar] [CrossRef]
- Yan, L.; Chouw, N.; Huang, L.; Kasal, B. Effect of alkali treatment on microstructure and mechanical properties of coir fibres, coir fibre reinforced-polymer composites and reinforced-cementitious composites. Constr. Build. Mater. 2016, 112, 168–182. [Google Scholar] [CrossRef]
- Kumar, N.; Das, D. Fibrous biocomposites from nettle (Girardinia diversifolia) and poly (lactic acid) fibers for automotive dashboard panel application. Compos. Part B Eng. 2017, 130, 54–63. [Google Scholar] [CrossRef]
- Ma, Y.; Wu, S.; Zhuang, J.; Tong, J.; Qi, H. Tribological and physio-mechanical characterization of cow dung fibers reinforced friction composites: An effective utilization of cow dung waste. Tribol. Int. 2019, 131, 200–211. [Google Scholar] [CrossRef]
- Hasan, K.M.F.; Horváth, P.G.; Kóczán, Z.; Le, D.H.A.; Bak, M.; Bejó, L.; Alpár, T. Novel insulation panels development from multilayered coir short and long fiber reinforced phenol formaldehyde polymeric biocomposites. J. Polym. Res. 2021, 28, 467. [Google Scholar] [CrossRef]
- Haque, M.M.; Hasan, M.; Islam, M.S.; Ali, M.E. Physico-mechanical properties of chemically treated palm and coir fiber reinforced polypropylene composites. Bioresour. Technol. 2009, 100, 4903–4906. [Google Scholar] [CrossRef]
- Gao, X.; Zhu, D.; Fan, S.; Rahman, M.Z.; Guo, S.; Chen, F. Structural and mechanical properties of bamboo fiber bundle and fiber/bundle reinforced composites: A review. J. Mater. Res. Technol. 2022, 19, 1162–1190. [Google Scholar] [CrossRef]
- Freitas, B.R.; Braga, J.O.; Orlandi, M.P.; da Silva, B.P.; Aoki, I.V.; Lins, V.F.; Cotting, F. Characterization of coir fiber powder (cocos nucifera L.) as an environmentally friendly inhibitor pigment for organic coatings. J. Mater. Res. Technol. 2022, 19, 1332–1342. [Google Scholar] [CrossRef]
- Rencoret, J.; Ralph, J.; Marques, G.; Gutiérrez, A.; Martínez, Á.T.; del Río, J.C. Structural characterization of lignin isolated from coconut (cocos nucifera) coir fibers. J. Agric. Food Chem. 2013, 61, 2434–2445. [Google Scholar] [CrossRef]
- Alharbi, M.A.H.; Hirai, S.; Tuan, H.A.; Akioka, S.; Shoji, W. Effects of chemical composition, mild alkaline pretreatment and particle size on mechanical, thermal, and structural properties of binderless lignocellulosic biopolymers prepared by hot-pressing raw microfibrillated Phoenix dactylifera and Cocos nucifera fibers and leaves. Polym. Test. 2020, 84, 106384. [Google Scholar]
- Bensalah, H.; Raji, M.; Abdellaoui, H.; Essabir, H.; Bouhfid, R. Thermo-mechanical properties of low-cost “green” phenolic resin composites reinforced with surface modified coir fiber. Int. J. Adv. Manuf. Technol. 2021, 112, 1917–1930. [Google Scholar] [CrossRef]
- Balaji, A.N.; Nagarajan, K.J. Characterization of alkali treated and untreated new cellulosic fiber from Saharan aloe vera cactus leaves. Carbohyd. Polym. 2017, 174, 200–208. [Google Scholar]
- Asim, M.; Jawaid, M.; Abdan, K.; Ishak, M.R. Effect of alkali and silane treatments on mechanical and fibre-matrix bond strength of kenaf and pineapple leaf fibres. J. Bionic Eng. 2016, 13, 426–435. [Google Scholar] [CrossRef]
- Wang, F.; Lu, M.; Zhou, S.; Lu, Z.; Ran, S. Effect of fiber surface modification on the interfacial adhesion and thermo-mechanical performance of unidirectional epoxy-based composites reinforced with bamboo fibers. Molecules 2019, 24, 2682. [Google Scholar] [CrossRef]
- Mantia, F.P.L.; Morreale, M. Green composites: A brief review. Compos. Part A Appl. Sci. Manuf. 2011, 42, 579–588. [Google Scholar] [CrossRef]
- Silva, G.G.; Souza, D.A.D.; Machado, J.C.; Hourston, D.J. Mechanical and thermal characterization of native Brazilian coir fiber. J. Appl. Polym. Sci. 2000, 76, 1197–1206. [Google Scholar] [CrossRef]
- Hestiawan, H.; Jamasri; Kusmono. Effect of chemical treatments on tensile properties and interfacial shear strength of unsaturated polyester/fan palm fibers. J. Nat. Fibers 2018, 15, 762–775. [Google Scholar] [CrossRef]
- Imoisili, P.E.; Ukoba, K.; Jen, T. Physical, mechanical and thermal properties of high frequency microwave treated plantain (Musa paradisiaca) fibre/MWCNT hybrid epoxy nanocomposites. J. Mater. Res. Technol. 2020, 9, 4933–4939. [Google Scholar] [CrossRef]
- Manalo, A.C.; Wani, E.; Zukarnain, N.A.; Karunasena, W.; Lau, K. Effects of alkali treatment and elevated temperature on the mechanical properties of bamboo fibre-polyester composites. Compos. Part B Eng. 2015, 80, 73–83. [Google Scholar] [CrossRef] [Green Version]
- Shrivastava, R.; Parashar, V. Effect of alkali treatment on tensile strength of epoxy composite reinforced with coir fiber. Polym. Bull. 2022, 1, 1–13. [Google Scholar] [CrossRef]
- Hao, X.; Xu, J.; Zhou, H.; Tang, W.; Li, W.; Wang, Q.; Ou, R. Interfacial adhesion mechanisms of ultra-highly filled wood fiber/polyethylene composites using maleic anhydride grafted polyethylene as a compatibilizer. Mater. Des. 2021, 212, 110182. [Google Scholar] [CrossRef]
- Taimur-Al-Mobarak; Mina, M.F.; Gafur, M.A.; Ahmed, A.N.; Dhar, S.A. Effect of Chemical Modifications on Surface Morphological, Structural, Mechanical, and Thermal Properties of Sponge-gourd Natural Fiber. Fibers Polym. 2018, 19, 31–40. [Google Scholar] [CrossRef]
- Loong, M.L.; Cree, D. Enhancement of mechanical properties of bio-resin epoxy/flax fiber composites using acetic anhydride. J. Polym. Environ. 2018, 26, 224–234. [Google Scholar] [CrossRef]
- Liu, Y.; Lv, X.; Bao, J.; Xie, J.; Tang, X.; Che, J.; Ma, Y.; Tong, J. Characterization of silane treated and untreated natural cellulosic fibre from corn stalk waste as potential reinforcement in polymer composites. Carbohyd. Polym. 2019, 218, 179–187. [Google Scholar] [CrossRef]
- Vijay, R.; Manoharan, S.; Arjun, S.; Vinod, A.; Singaravelu, D.L. Characterization of silane-treated and untreated natural fibers from stem of leucas aspera. J. Nat. Fibers 2021, 18, 1957–1973. [Google Scholar] [CrossRef]
- Segal, L.; Creely, J.J.; Martin, A.E.; Conrad, C.M. An empirical method for estimating the degree of crystallinity of native cellulose using the X-ray diffractometer. Text. Res. J. 1959, 29, 786–794. [Google Scholar] [CrossRef]
- Park, J.K.; Kim, M.O.; Kim, D.J. Pullout behavior of recycled waste fishing net fibers embedded in cement mortar. Materials 2020, 13, 4195. [Google Scholar] [CrossRef]
- Valášek, P.; Müller, M.; Šleger, V.; Kolář, V.; Hromasová, M.; D’Amato, R.; Ruggiero, A. Influence of alkali treatment on the microstructure and mechanical properties of coir and abaca fibers. Materials 2021, 14, 2636. [Google Scholar] [CrossRef] [PubMed]
- Pereira, J.F.; Ferreira, D.P.; Bessa, J.; Matos, J.; Cunha, F.; Araújo, I.; Silva, L.F.; Pinho, E.; Fangueiro, R. Mechanical performance of thermoplastic olefin composites reinforced with coir and sisal natural fibers: Influence of surface pretreatment. Polym. Compos. 2019, 40, 3472–3481. [Google Scholar] [CrossRef]
- Santos, J.C.D.; Siqueira, R.L.; Vieira, L.M.G.; Freire, R.T.S.; Mano, V.; Panzera, T.H. Effects of sodium carbonate on the performance of epoxy and polyester coir-reinforced composites. Polym. Test. 2018, 67, 533–544. [Google Scholar] [CrossRef]
- May-Pat, A.; Valadez-González, A.; Herrera-Franco, P.J. Effect of fiber surface treatments on the essential work of fracture of HDPE-continuous henequen fiber-reinforced composites. Polym. Test. 2013, 32, 1114–1122. [Google Scholar] [CrossRef]
- Zaman, H.U.; Beg, M.D.H. Preparation, structure, and properties of the coir fiber/polypropylene composites. J. Compos. Mater. 2014, 48, 3293–3301. [Google Scholar] [CrossRef]
- Farias, J.G.G.D.; Cavalcante, R.C.; Canabarro, B.R.; Viana, H.M.; Scholz, S.; Simão, R.A. Surface lignin removal on coir fibers by plasma treatment for improved adhesion in thermoplastic starch composites. Carbohyd. Polym. 2017, 165, 429–436. [Google Scholar] [CrossRef]
- Arrakhiz, F.Z.; El Achaby, M.; Kakou, A.C.; Vaudreuil, S.; Benmoussa, K.; Bouhfid, R.; Fassi-Fehri, O.; Qaiss, A. Mechanical properties of high density polyethylene reinforced with chemically modified coir fibers: Impact of chemical treatments. Mater. Des. 2012, 37, 379–383. [Google Scholar] [CrossRef]
- Wu, J.; Du, X.; Yin, Z.; Xu, S.; Xu, S.; Zhang, Y. Preparation and characterization of cellulose nanofibrils from coconut coir fibers and their reinforcements in biodegradable composite films. Carbohyd. Polym. 2019, 211, 49–56. [Google Scholar] [CrossRef]
- Ma, Y.; Wu, S.; Zhuang, J.; Tian, Y.; Tong, J. The effect of lignin on the physicomechanical, tribological, and morphological performance indicators of corn stalk fiber-reinforced friction materials. Mater. Res. Express 2019, 6, 105325. [Google Scholar] [CrossRef]
- Jiang, Y.; Deng, P.; Jing, L.; Zhang, T. Tensile properties and structure characterization of palm fibers by alkali treatment. Fibers Polym. 2019, 20, 1029–1035. [Google Scholar] [CrossRef]
- Reddy, K.O.; Reddy, K.R.N.; Zhang, J.; Zhang, J.; Rajulu, A.V. Effect of alkali treatment on the properties of century fiber. J. Nat. Fibers 2013, 10, 282–296. [Google Scholar] [CrossRef]
- Yang, C.; Han, R.; Nie, M.; Wang, Q. Interfacial reinforcement mechanism in poly(lactic acid)/natural fiber biocomposites featuring ZnO nanowires at the interface. Mater. Des. 2019, 186, 108332. [Google Scholar] [CrossRef]
- Luz, F.S.D.; Ramos, F.J.H.T.V.; Nascimento, L.F.C.; Figueiredo, A.B.D.; Monteiro, S.N. Critical length and interfacial strength of PALF and coir fiber incorporated in epoxy resin matrix. J. Mater. Res. Technol. 2018, 7, 528–534. [Google Scholar] [CrossRef]
- Sepe, R.; Bollino, F.; Boccarusso, L.; Caputo, F. Influence of chemical treatments on mechanical properties of hemp fiber reinforced composites. Compos. Part B Eng. 2018, 133, 210–217. [Google Scholar] [CrossRef]
- Ramamoorthy, S.K.; Skrifvars, M.; Rissanen, M. Effect of alkali and silane surface treatments on regenerated cellulose fibre type (Lyocell) intended for composites. Cellulose 2015, 22, 637–654. [Google Scholar] [CrossRef]











| Categories | Treatment Methods | Treatment Conditions | ||
|---|---|---|---|---|
| Pretreatment | Microwave treatment | Power (W) | Frequency (MHz) | Time (min) |
| 700 | 2450 | 5 | ||
| Alkali treatment | Concentration (%) | Time (hours) | Temperature (°C) | |
| 5 | 15 | 30 | ||
| Surface modification | Acetic anhydride modification | Concentration (%) | Time (min) | Temperature (°C) |
| 5 | 60 | 30 | ||
| 3-Aminopropyltriethoxysilane modification | Concentration (%) | Time (min) | Temperature (°C) | |
| 5 | 60 | 30 | ||
| Crystallinity Index (%) | ||||||||
|---|---|---|---|---|---|---|---|---|
| U-CF | M-CF | A-CF | AA-CF | S-CF | M-AA-CF | M-S-CF | A-AA-CF | A-S-CF |
| 34.6 (±0.09) | 35.0 (±0.04) | 41.2 (±0.18) | 35.4 (±0.11) | 36.6 (±0.09) | 35.9 (±0.11) | 36.7 (±0.14) | 41.4 (±0.15) | 42.3 (±0.18) |
| Notation | F1 (N) | se (mm) | Fmax (N) | sp (mm) | d (mm) |
|---|---|---|---|---|---|
| U-CFPS | 7.685 (±0.410) | 0.287 (±0.013) | 9.967 (±0.364) | 1.157 (±0.084) | 0.376 (±0.010) |
| M-CFPS | 7.999 (±0.405) | 0.312 (±0.015) | 10.363 (±0.444) | 1.164 (±0.122) | 0.378 (±0.007) |
| A-CFPS | 7.995 (±0.372) | 0.342 (±0.015) | 11.708 (±0.534) | 3.140 (±0.163) | 0.321 (±0.006) |
| AA-CFPS | 8.595 (±0.490) | 0.291 (±0.015) | 10.787 (±0.408) | 1.208 (±0.100) | 0.377 (±0.006) |
| S-CFPS | 8.928 (±0.423) | 0.332 (±0.021) | 11.322 (±0.445) | 1.559 (±0.177) | 0.378 (±0.005) |
| Notation | F1 (N) | se (mm) | Fmax (N) | sp (mm) | d (mm) |
|---|---|---|---|---|---|
| U-CFPS | 7.685 (±0.410) | 0.287 (±0.013) | 9.967 (±0.364) | 1.157 (±0.084) | 0.376 (±0.010) |
| M-AA-CFPS | 8.508 (±0.348) | 0.329 (±0.011) | 11.043 (±0.320) | 1.291 (±0.135) | 0.376 (±0.004) |
| M-S-CFPS | 9.007 (±0.538) | 0.349 (±0.018) | 12.701 (±0.395) | 2.012 (±0.169) | 0.379 (±0.006) |
| A-AA-CFPS | 8.311 (±0.423) | 0.345 (±0.015) | 12.256 (±0.457) | 3.222 (±0.157) | 0.316 (±0.007) |
| A-S-CFPS | 7.820 (±0.411) | 0.408 (±0.018) | 13.612 (±0.342) | 3.606 (±0.184) | 0.322 (±0.004) |
Publisher’s Note: MDPI stays neutral with regard to jurisdictional claims in published maps and institutional affiliations. |
© 2022 by the authors. Licensee MDPI, Basel, Switzerland. This article is an open access article distributed under the terms and conditions of the Creative Commons Attribution (CC BY) license (https://creativecommons.org/licenses/by/4.0/).
Share and Cite
Ru, S.; Zhao, C.; Yang, S.; Liang, D. Effect of Coir Fiber Surface Treatment on Interfacial Properties of Reinforced Epoxy Resin Composites. Polymers 2022, 14, 3488. https://doi.org/10.3390/polym14173488
Ru S, Zhao C, Yang S, Liang D. Effect of Coir Fiber Surface Treatment on Interfacial Properties of Reinforced Epoxy Resin Composites. Polymers. 2022; 14(17):3488. https://doi.org/10.3390/polym14173488
Chicago/Turabian StyleRu, Shaofeng, Can Zhao, Songmei Yang, and Dong Liang. 2022. "Effect of Coir Fiber Surface Treatment on Interfacial Properties of Reinforced Epoxy Resin Composites" Polymers 14, no. 17: 3488. https://doi.org/10.3390/polym14173488
APA StyleRu, S., Zhao, C., Yang, S., & Liang, D. (2022). Effect of Coir Fiber Surface Treatment on Interfacial Properties of Reinforced Epoxy Resin Composites. Polymers, 14(17), 3488. https://doi.org/10.3390/polym14173488

