A Comprehensive Characterization of Biodegradable Edible Films Based on Potato Peel Starch Plasticized with Glycerol
Abstract
:1. Introduction
2. Materials and Methods
2.1. Materials
2.2. Edible Film Production
2.3. Visual Appearance
2.4. Thickness
2.5. Water Solubility
2.6. Moisture Content
2.7. Swelling Power
2.8. Water Vapor Permeability
2.9. Opacity
2.10. Mechanical Properties
2.11. Thermogravimetric Analysis
2.12. Differential Scanning Calorimetry
2.13. X-ray Diffraction
2.14. Film Morphology
2.15. Seawater and Soil Biodegradability
2.16. Statistical Analysis
3. Results and Discussion
3.1. Visual Appearance and Thickness
3.2. Moisture Content
3.3. Water Solubility
3.4. Swelling Power
3.5. Water Vapor Permeability
3.6. Opacity
3.7. Mechanical Properties
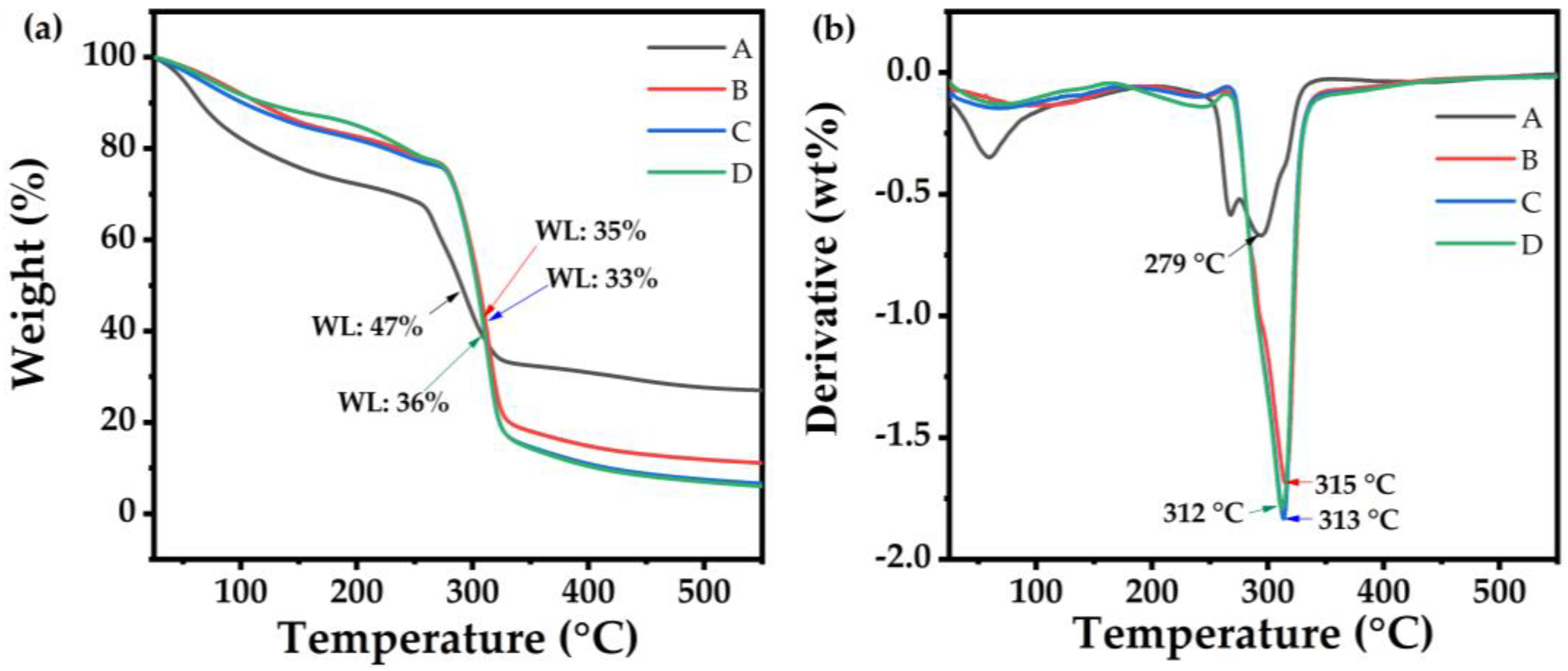
3.8. Thermogravimetric Analysis
3.9. Differential Scanning Calorimetry
3.10. Crystallinity (X-ray Diffraction)
3.11. Microstructure Properties
3.12. Biodegradability
4. Conclusions
Supplementary Materials
Author Contributions
Funding
Institutional Review Board Statement
Informed Consent Statement
Data Availability Statement
Acknowledgments
Conflicts of Interest
References
- FAO; IFAD; WFP. The State of Food Insecurity in the World, 2013: The Multiple Dimensions of Food Security; Food and Agricultural Organization of the United Nations: Rome, Italy, 2013; ISBN 9251079161. [Google Scholar]
- FAO. Global Food Losses and Food Waste: Extent, Causes and Prevention; FAO: Rome, Italy, 2011; ISBN 978-92-5-107205-9. [Google Scholar]
- FAO. The State of Food and Agriculture 2019. Moving Forward on Food Loss and Waste Reduction; FAO: Rome, Italy, 2019; pp. 2–13. [Google Scholar]
- Panda, P.K.; Dash, P.; Yang, J.M.; Chang, Y.H. Development of Chitosan, Graphene Oxide, and Cerium Oxide Composite Blended Films: Structural, Physical, and Functional Properties. Cellulose 2022, 29, 2399–2411. [Google Scholar] [CrossRef]
- Ahmed, S. Bio-Based Materials for Food Packaging: Green and Sustainable Advanced Packaging Materials; Springer: Berlin/Heidelberg, Germany, 2018; ISBN 981131909X. [Google Scholar]
- da Silva Filipini, G.; Romani, V.P.; Martins, V.G. Biodegradable and Active-Intelligent Films Based on Methylcellulose and Jambolão (Syzygium Cumini) Skins Extract for Food Packaging. Food Hydrocoll. 2020, 109, 106139. [Google Scholar] [CrossRef]
- Aguirre-Joya, J.A.; De Leon-Zapata, M.A.; Alvarez-Perez, O.B.; Torres-León, C.; Nieto-Oropeza, D.E.; Ventura-Sobrevilla, J.M.; Aguilar, M.A.; Ruelas-Chacón, X.; Rojas, R.; Ramos-Aguiñaga, M.E. Basic and Applied Concepts of Edible Packaging for Foods. In Food packaging and preservation; Elsevier: Amsterdam, The Netherlands, 2018; pp. 1–61. [Google Scholar]
- Jiang, T.; Duan, Q.; Zhu, J.; Liu, H.; Yu, L. Starch-Based Biodegradable Materials: Challenges and Opportunities. Adv. Ind. Eng. Polym. Res. 2020, 3, 8–18. [Google Scholar] [CrossRef]
- Panda, P.K.; Sadeghi, K.; Seo, J. Recent Advances in Poly ( Vinyl Alcohol )/ Natural Polymer Based Films for Food Packaging Applications: A Review. Food Packag. Shelf Life 2022, 33, 100904. [Google Scholar] [CrossRef]
- Niu, X.; Wang, W.; Kitamura, Y.; Wang, J.; Sun, J.; Ma, Q. Design and Characterization of Bio-Amine Responsive Films Enriched with Colored Potato (Black King Kong) Anthocyanin for Visual Detecting Pork Freshness in Cold Storage. J. Food Meas. Charact. 2021, 15, 4659–4668. [Google Scholar] [CrossRef]
- Azmin, S.N.H.M.; Hayat, N.A.B.M.; Nor, M.S.M. Development and Characterization of Food Packaging Bioplastic Film from Cocoa Pod Husk Cellulose Incorporated with Sugarcane Bagasse Fibre. J. Bioresour. Bioprod. 2020, 5, 248–255. [Google Scholar] [CrossRef]
- Thakur, R.; Saberi, B.; Pristijono, P.; Golding, J.; Stathopoulos, C.; Scarlett, C.; Bowyer, M.; Vuong, Q. Characterization of Rice Starch-ι-Carrageenan Biodegradable Edible Film. Effect of Stearic Acid on the Film Properties. Int. J. Biol. Macromol. 2016, 93, 952–960. [Google Scholar] [CrossRef]
- Niu, X.; Ma, Q.; Li, S.; Wang, W.; Ma, Y.; Zhao, H.; Sun, J.; Wang, J. Preparation and Characterization of Biodegradable Composited Films Based on Potato Starch/Glycerol/Gelatin. J. Food Qual. 2021, 2021, 6633711. [Google Scholar] [CrossRef]
- Tavares, K.M.; de Campos, A.; Mitsuyuki, M.C.; Luchesi, B.R.; Marconcini, J.M. Corn and Cassava Starch with Carboxymethyl Cellulose Films and Its Mechanical and Hydrophobic Properties. Carbohydr. Polym. 2019, 223, 115055. [Google Scholar] [CrossRef]
- Domene-López, D.; Delgado-Marín, J.J.; Martin-Gullon, I.; García-Quesada, J.C.; Montalbán, M.G. Comparative Study on Properties of Starch Films Obtained from Potato, Corn and Wheat Using 1-Ethyl-3-Methylimidazolium Acetate as Plasticizer. Int. J. Biol. Macromol. 2019, 135, 845–854. [Google Scholar] [CrossRef]
- Philp, J. OECD Policies for Bioplastics in the Context of a Bioeconomy, 2013. Ind. Biotechnol. 2014, 10, 19–21. [Google Scholar] [CrossRef]
- Purwanti, T.S.; Syafrial, S.; Huang, W.C.; Saeri, M. What Drives Climate Change Adaptation Practices in Smallholder Farmers? Evidence from Potato Farmers in Indonesia. Atmosphere 2022, 13, 113. [Google Scholar] [CrossRef]
- Biswal, A.K.; Panda, P.K.; Yang, J.M.; Misra, P.K. Isolation, Process Optimisation and Characterisation of the Protein from the de-Oiled Cake Flour of Madhuca Latifolia. IET Nanobiotechnol. 2020, 14, 654–661. [Google Scholar] [CrossRef] [PubMed]
- Javed, A.; Ahmad, A.; Tahir, A.; Shabbir, U.; Nouman, M.; Hameed, A. Potato Peel Waste-Its Nutraceutical, Industrial and Biotechnological Applacations. AIMS Agric. Food 2019, 4, 807–823. [Google Scholar] [CrossRef]
- Matheson, M.T. Disposal Is Not Free: Fiscal Instruments to Internalize the Environmental Costs of Solid Waste; International Monetary Fund: Washington, DC, USA, 2019; ISBN 1513521586. [Google Scholar]
- Ma, Y.; Zhao, H.; Ma, Q.; Cheng, D.; Zhang, Y.; Wang, W.; Wang, J.; Sun, J. Development of Chitosan/Potato Peel Polyphenols Nanoparticles Driven Extended-Release Antioxidant Films Based on Potato Starch. Food Packag. Shelf Life 2022, 31, 100793. [Google Scholar] [CrossRef]
- Ferreira, M.S.L.; Fai, A.E.C.; Andrade, C.T.; Picciani, P.H.; Azero, E.G.; Gonçalves, É.C.B.A. Edible Films and Coatings Based on Biodegradable Residues Applied to Acerolas (Malpighia Punicifolia L.). J. Sci. Food Agric. 2016, 96, 1634–1642. [Google Scholar] [CrossRef]
- Gebrechristos, H.Y.; Ma, X.; Xiao, F.; He, Y.; Zheng, S.; Oyungerel, G.; Chen, W. Potato Peel Extracts as an Antimicrobial and Potential Antioxidant in Active Edible Film. Food Sci. Nutr. 2020, 8, 6338–6345. [Google Scholar] [CrossRef]
- Santana, R.F.; Bonomo, R.C.F.; Gandolfi, O.R.R.; Rodrigues, L.B.; Santos, L.S.; dos Santos Pires, A.C.; de Oliveira, C.P.; da Costa Ilheu Fontan, R.; Veloso, C.M. Characterization of Starch-Based Bioplastics from Jackfruit Seed Plasticized with Glycerol. J. Food Sci. Technol. 2018, 55, 278–286. [Google Scholar] [CrossRef]
- Khan, B.; Niazi, M.B.K.; Jahan, Z.; Farooq, W.; Naqvi, S.R.; Ali, M.; Ahmed, I.; Hussain, A. Effect of Ultra-Violet Cross-Linking on the Properties of Boric Acid and Glycerol Co-Plasticized Thermoplastic Starch Films. Food Packag. Shelf Life 2019, 19, 184–192. [Google Scholar] [CrossRef]
- Gordillo, C.A.S.; Valencia, G.A.; Zapata, R.A.V.; Henao, A.C.A. Physicochemical Characterization of Arrowroot Starch (Maranta Arundinacea Linn) and Glycerol/Arrowroot Starch Membranes. Int. J. Food Eng. 2014, 10, 727–735. [Google Scholar] [CrossRef]
- Nogueira, G.F.; Fakhouri, F.M.; de Oliveira, R.A. Extraction and Characterization of Arrowroot (Maranta Arundinaceae L.) Starch and Its Application in Edible Films. Carbohydr. Polym. 2018, 186, 64–72. [Google Scholar] [CrossRef] [PubMed]
- Kaur, G.; Sharma, S.; Mir, S.A.; Dar, B.N. Nanobiocomposite Films: A “Greener Alternate” for Food Packaging. Food Bioprocess Technol. 2021, 14, 1013–1027. [Google Scholar] [CrossRef]
- Zhao, L.; Duan, G.; Zhang, G.; Yang, H.; Jiang, S.; He, S. Electrospun Functional Materials toward Food Packaging Applications: A Review. Nanomaterials 2020, 10, 150. [Google Scholar] [CrossRef] [PubMed]
- Mohamed, S.A.A.; El-Sakhawy, M.; El-Sakhawy, M.A.-M. Polysaccharides, Protein and Lipid —Based Natural Edible Films in Food Packaging: A Review. Carbohydr. Polym. 2020, 238, 116178. [Google Scholar] [CrossRef] [PubMed]
- Ezati, P.; Riahi, Z.; Rhim, J.W. CMC-Based Functional Film Incorporated with Copper-Doped TiO2 to Prevent Banana Browning. Food Hydrocoll. 2022, 122, 107104. [Google Scholar] [CrossRef]
- Abdillah, A.A.; Charles, A.L. Characterization of a Natural Biodegradable Edible Film Obtained from Arrowroot Starch and Iota-Carrageenan and Application in Food Packaging. Int. J. Biol. Macromol. 2021, 191, 618–626. [Google Scholar] [CrossRef] [PubMed]
- Oun, A.A.; Rhim, J.-W. Preparation and Characterization of Sodium Carboxymethyl Cellulose/Cotton Linter Cellulose Nanofibril Composite Films. Carbohydr. Polym. 2015, 127, 101–109. [Google Scholar] [CrossRef] [PubMed]
- de Faria Arquelau, P.B.; Silva, V.D.M.; Garcia, M.A.V.T.; de Araújo, R.L.B.; Fante, C.A. Characterization of Edible Coatings Based on Ripe “Prata” Banana Peel Flour. Food Hydrocoll. 2019, 89, 570–578. [Google Scholar] [CrossRef]
- Pérez-Vergara, L.D.; Cifuentes, M.T.; Franco, A.P.; Pérez-Cervera, C.E.; Andrade-Pizarro, R.D. Development and Characterization of Edible Films Based on Native Cassava Starch, Beeswax, and Propolis. NFS J. 2020, 21, 39–49. [Google Scholar] [CrossRef]
- Daza, L.D.; Homez-Jara, A.; Solanilla, J.F.; Váquiro, H.A. Effects of Temperature, Starch Concentration, and Plasticizer Concentration on the Physical Properties of Ulluco (Ullucus Tuberosus Caldas)-Based Edible Films. Int. J. Biol. Macromol. 2018, 120, 1834–1845. [Google Scholar] [CrossRef]
- Abdillah, A.A.; Lin, H.; Charles, A.L. International Journal of Biological Macromolecules Development of Halochromic Indicator Film Based on Arrowroot Starch / Iota-Carrageenan Using Kyoho Skin Extract to Monitor Shrimp Freshness. Int. J. Biol. Macromol. 2022, 211, 316–327. [Google Scholar] [CrossRef] [PubMed]
- Wang, K.; Wang, W.; Ye, R.; Liu, A.; Xiao, J.; Liu, Y.; Zhao, Y. Mechanical Properties and Solubility in Water of Corn Starch-Collagen Composite Films: Effect of Starch Type and Concentrations. Food Chem. 2017, 216, 209–216. [Google Scholar] [CrossRef] [PubMed]
- Ahmad, M.; Benjakul, S.; Prodpran, T.; Agustini, T.W. Physico-Mechanical and Antimicrobial Properties of Gelatin Film from the Skin of Unicorn Leatherjacket Incorporated with Essential Oils. Food Hydrocoll. 2012, 28, 189–199. [Google Scholar] [CrossRef]
- Akhtar, H.M.S.; Riaz, A.; Hamed, Y.S.; Abdin, M.; Chen, G.; Wan, P.; Zeng, X. Production and Characterization of CMC-Based Antioxidant and Antimicrobial Films Enriched with Chickpea Hull Polysaccharides. Int. J. Biol. Macromol. 2018, 118, 469–477. [Google Scholar] [CrossRef]
- Hatmi, R.U.; Apriyati, E.; Cahyaningrum, N. Edible Coating Quality with Three Types of Starch and Sorbitol Plasticizer. In Proceedings of the E3S Web of Conferences, Jember, Indonesia, 31 July–2 August 2019; EDP Sciences: Les Ulis, France, 2020; Volume 142, p. 2003. [Google Scholar]
- Ulfah, M.; Salsabila, A.; Rohmawati, I. Characteristics of Water Solubility and Color on Edible Film from Bioselulosa Nata Nira Siwalan with the Additional of Glycerol. In Proceedings of the International Conference on Mathematics, Science and Education 2017 (ICMSE2017), Semarang, Indonesia, 18–19 September 2017; Journal of Physics: Conference Series. IOP Publishing: Bristol, UK, 2018; Volume 983, p. 12191. [Google Scholar]
- Suriyatem, R.; Auras, R.A.; Rachtanapun, P. Utilization of Carboxymethyl Cellulose from Durian Rind Agricultural Waste to Improve Physical Properties and Stability of Rice Starch-Based Film. J. Polym. Environ. 2019, 27, 286–298. [Google Scholar] [CrossRef]
- Sukhija, S.; Singh, S.; Riar, C.S. Analyzing the Effect of Whey Protein Concentrate and Psyllium Husk on Various Characteristics of Biodegradable Film from Lotus (Nelumbo Nucifera) Rhizome Starch. Food Hydrocoll. 2016, 60, 128–137. [Google Scholar] [CrossRef]
- Oyeoka, H.C.; Ewulonu, C.M.; Nwuzor, I.C.; Obele, C.M.; Nwabanne, J.T. Packaging and Degradability Properties of Polyvinyl Alcohol/Gelatin Nanocomposite Films Filled Water Hyacinth Cellulose Nanocrystals. J. Bioresour. Bioprod. 2021, 6, 168–185. [Google Scholar] [CrossRef]
- Nawab, A.; Alam, F.; Haq, M.A.; Lutfi, Z.; Hasnain, A. Mango Kernel Starch-Gum Composite Films: Physical, Mechanical and Barrier Properties. Int. J. Biol. Macromol. 2017, 98, 869–876. [Google Scholar] [CrossRef]
- Lozano-Navarro, J.I.; Díaz-Zavala, N.P.; Velasco-Santos, C.; Martínez-Hernández, A.L.; Tijerina-Ramos, B.I.; García-Hernández, M.; Rivera-Armenta, J.L.; Páramo-García, U.; Reyes-de la Torre, A.I. Antimicrobial, Optical and Mechanical Properties of Chitosan–Starch Films with Natural Extracts. Int. J. Mol. Sci. 2017, 18, 997. [Google Scholar] [CrossRef]
- Loo, C.P.Y.; Sarbon, N.M. Chicken Skin Gelatin Films with Tapioca Starch. Food Biosci. 2020, 35, 100589. [Google Scholar] [CrossRef]
- Romeira, K.M.; Abdalla, G.; Gonçalves, R.P.; Pegorin, G.S.; de Azeredo, H.M.C.; Mussagy, C.U.; Herculano, R.D. Residual Starch Packaging Derived from Potato Washing Slurries to Preserve Fruits. Food Bioprocess Technol. 2021, 14, 2248–2259. [Google Scholar] [CrossRef]
- Qin, Y.; Liu, Y.; Yuan, L.; Yong, H.; Liu, J. Preparation and Characterization of Antioxidant, Antimicrobial and PH-Sensitive Films Based on Chitosan, Silver Nanoparticles and Purple Corn Extract. Food Hydrocoll. 2019, 96, 102–111. [Google Scholar] [CrossRef]
- de Lima Barizão, C.; Crepaldi, M.I.; Oscar de Oliveira, S.; de Oliveira, A.C.; Martins, A.F.; Garcia, P.S.; Bonafé, E.G. Biodegradable Films Based on Commercial κ-Carrageenan and Cassava Starch to Achieve Low Production Costs. Int. J. Biol. Macromol. 2020, 165, 582–590. [Google Scholar] [CrossRef] [PubMed]
- Hornung, P.S.; Avila, S.; Masisi, K.; Malunga, L.N.; Lazzarotto, M.; Schnitzler, E.; Ribani, R.H.; Beta, T. Green Development of Biodegradable Films Based on Native Yam (Dioscoreaceae) Starch Mixtures. Starch-Stärke 2018, 70, 1700234. [Google Scholar] [CrossRef]
- Basiak, E.; Lenart, A.; Debeaufort, F. Effect of Starch Type on the Physico-Chemical Properties of Edible Films. Int. J. Biol. Macromol. 2017, 98, 348–356. [Google Scholar] [CrossRef]
- Sapei, L.; Padmawijaya, K.S.; Sijayanti, O.; Wardhana, P.J. The Effect of Banana Starch Concentration on the Properties of Chitosan-Starch Bioplastics. J. Chem. Pharm. Res. 2015, 7, 101–105. [Google Scholar]
- Carissimi, M.; Flôres, S.H.; Rech, R. Effect of Microalgae Addition on Active Biodegradable Starch Film. Algal Res. 2018, 32, 201–209. [Google Scholar] [CrossRef]
- Hodzic, A. Re-Use, Recycling and Degradation of Composites. In Green Composites; Baillie, C., Ed.; Woodhead Publishing: Sawston, UK, 2004; pp. 252–271. ISBN 1855737396. [Google Scholar]






| Sample Code | T (mm) | MC (%) | WS (%) | SP (%) | WVP (g mm/m2 Day KPa) | O (A/mm) |
|---|---|---|---|---|---|---|
| A | 0.040 ± 0.0015 d | 22.27 ± 0.44 a | 98.90 ± 0.17 a | 521.31 ± 3.49 a | 0.061 ± 0.001 b | 1.50 ± 0.062 a |
| B | 0.059 ± 0.0016 c | 12.92 ± 0.39 b | 31.06 ± 0.24 b | 450.32 ± 3.44 b | 0.260 ± 0.004 a | 0.42 ± 0.020 d |
| C | 0.092 ± 0.0014 b | 12.98 ± 0.27 b | 24.93 ± 0.14 c | 365.26 ± 3.09 c | 0.049 ± 0.002 c | 0.50 ± 0.036 c |
| D | 0.119 ± 0.0020 a | 11.53 ± 0.75 c | 18.86 ± 0.22 d | 304.29 ± 3.62 d | 0.050 ± 0.001 c | 0.59 ± 0.019 b |
| Sample Code (w/v) | Tensile Strength (MPa) | Elongation at Break (%) |
|---|---|---|
| A | 58.830 ± 8.27 a | 38.43 ± 6.06 a |
| B | 9.23 ± 1.13 b | 15.04 ± 4.34 b |
| C | 13.95 ± 4.14 b | 22.65 ± 8.72 b |
| D | 10.39 ± 1.05 b | 22.25 ± 3.97 b |
Publisher’s Note: MDPI stays neutral with regard to jurisdictional claims in published maps and institutional affiliations. |
© 2022 by the authors. Licensee MDPI, Basel, Switzerland. This article is an open access article distributed under the terms and conditions of the Creative Commons Attribution (CC BY) license (https://creativecommons.org/licenses/by/4.0/).
Share and Cite
Charles, A.L.; Motsa, N.; Abdillah, A.A. A Comprehensive Characterization of Biodegradable Edible Films Based on Potato Peel Starch Plasticized with Glycerol. Polymers 2022, 14, 3462. https://doi.org/10.3390/polym14173462
Charles AL, Motsa N, Abdillah AA. A Comprehensive Characterization of Biodegradable Edible Films Based on Potato Peel Starch Plasticized with Glycerol. Polymers. 2022; 14(17):3462. https://doi.org/10.3390/polym14173462
Chicago/Turabian StyleCharles, Albert Linton, Nomalungelo Motsa, and Annur Ahadi Abdillah. 2022. "A Comprehensive Characterization of Biodegradable Edible Films Based on Potato Peel Starch Plasticized with Glycerol" Polymers 14, no. 17: 3462. https://doi.org/10.3390/polym14173462
APA StyleCharles, A. L., Motsa, N., & Abdillah, A. A. (2022). A Comprehensive Characterization of Biodegradable Edible Films Based on Potato Peel Starch Plasticized with Glycerol. Polymers, 14(17), 3462. https://doi.org/10.3390/polym14173462

