Impact of Whey Protein Edible Coating Containing Fish Gelatin Hydrolysates on Physicochemical, Microbial, and Sensory Properties of Chicken Breast Fillets
Abstract
:1. Introduction
2. Materials and Methods
2.1. Biological Materials and Reagents
2.2. Gelatin Production and Hydrolysis
2.3. Coating Process
2.4. Proximate Composition Analyses
2.5. Physicochemical Properties of Chicken Breast Fillets
2.5.1. Cooking Loss
2.5.2. pH Measurements
2.5.3. Free Fatty Acid (FFA) Contents
2.5.4. Peroxide Values (PVs)
2.5.5. Thiobarbituric Acid Reactive Substances (TBARS)
2.5.6. Total Volatile Basic Nitrogen (TVB-N)
2.6. Microbial Analyses
2.7. Sensory Properties
2.8. Statistical Analyses
3. Results and Discussion
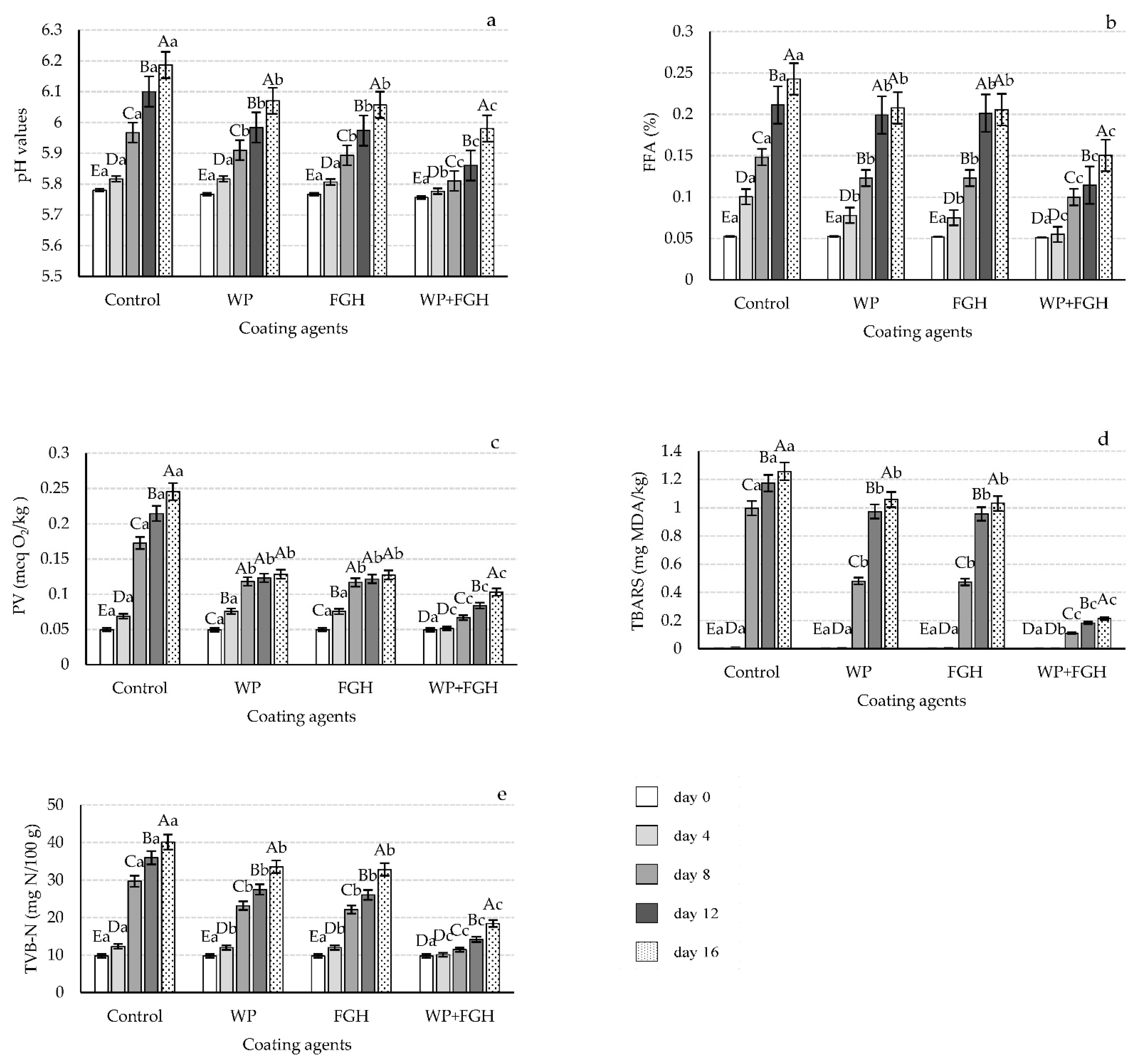
3.1. Physicochemical Changes in Chicken Breast Fillets
3.1.1. Cooking Loss
3.1.2. pH Values
3.1.3. FFA
3.1.4. PV
3.1.5. TBARS
3.1.6. TVB-N Values
3.2. Microbial Properties
3.3. Sensory Evaluation
4. Conclusions
Author Contributions
Funding
Institutional Review Board Statement
Informed Consent Statement
Data Availability Statement
Acknowledgments
Conflicts of Interest
References
- Khodaei, D.; Hamidi-Esfahani, Z. Influence of bioactive edible coatings loaded with Lactobacillus plantarum on physicochemical properties of fresh strawberries. Postharvest Biol. Technol. 2019, 156, 110944. [Google Scholar] [CrossRef]
- Khodaei, D.; Hamidi-Esfahani, Z.; Rahmati, E. Effect of edible coatings on the shelf-life of fresh strawberries: A comparative study using TOPSIS-Shannon entropy method. NFS J. 2021, 23, 17–23. [Google Scholar] [CrossRef]
- Khodaei, D.; Hamidi-Esfahani, Z.; Lacroix, M. Gelatin and low methoxyl pectin films containing probiotics: Film characterization and cell viability. Food Biosci. 2020, 36, 100660. [Google Scholar] [CrossRef]
- Khodaei, D.; Oltrogge, K.; Hamidi-Esfahani, Z. Preparation and characterization of blended edible films manufactured using gelatin, tragacanth gum and, Persian gum. LWT 2020, 117, 108617. [Google Scholar] [CrossRef]
- Jamróz, E.; Tkaczewska, J.; Juszczak, L.; Zimowska, M.; Kawecka, A.; Krzyściak, P.; Skóra, M. The influence of lingonberry extract on the properties of novel, double-layered biopolymer films based on furcellaran, CMC and a gelatin hydrolysate. Food Hydrocoll. 2022, 124, 107334. [Google Scholar] [CrossRef]
- Galus, S.; Kadzińska, J. Whey protein edible films modified with almond and walnut oils. Food Hydrocoll. 2016, 52, 78–86. [Google Scholar] [CrossRef]
- Shankar, S.; Khodaei, D.; Lacroix, M. Effect of chitosan/essential oils/silver nanoparticles composite films packaging and gamma irradiation on shelf life of strawberries. Food Hydrocoll. 2021, 117, 106750. [Google Scholar] [CrossRef]
- Rønnestad, I.; Kamisaka, Y.; Conceição, L.; Morais, S.; Tonheim, S. Digestive physiology of marine fish larvae: Hormonal control and processing capacity for proteins, peptides and amino acids. Aquaculture 2007, 268, 82–97. [Google Scholar] [CrossRef]
- Egerton, S.; Culloty, S.; Whooley, J.; Stanton, C.; Ross, R.P. Characterization of protein hydrolysates from blue whiting (Micromesistius poutassou) and their application in beverage fortification. Food Chem. 2018, 245, 698–706. [Google Scholar] [CrossRef]
- Khora, S.S. Marine fish-derived bioactive peptides and proteins for human therapeutics. Int. J. Pharm. Pharm. Sci. 2013, 5, 31–37. [Google Scholar]
- Harnedy-Rothwell, P.A.; Khatib, N.; Sharkey, S.; Lafferty, R.A.; Gite, S.; Whooley, J.; O’Harte, F.P.; FitzGerald, R.J. Physicochemical, Nutritional and In Vitro Antidiabetic Characterisation of Blue Whiting (Micromesistius poutassou) Protein Hydrolysates. Mar. Drugs 2021, 19, 383. [Google Scholar] [CrossRef]
- Kristinsson, H.G.; Rasco, B.A. Fish Protein Hydrolysates: Production, Biochemical, and Functional Properties. Crit. Rev. Food Sci. Nutr. 2000, 40, 43–81. [Google Scholar] [CrossRef]
- de Castro, R.J.S.; Sato, H.H. Production and biochemical characterization of protease from Aspergillus oryzae: An evaluation of the physical–chemical parameters using agroindustrial wastes as supports. Biocatal. Agric. Biotechnol. 2014, 3, 20–25. [Google Scholar] [CrossRef]
- Lees, M.J.; Carson, B.P. The potential role of fish-derived protein hydrolysates on metabolic health, skeletal muscle mass and function in ageing. Nutrients 2020, 12, 2434. [Google Scholar] [CrossRef]
- Wangkheirakpam, M.; Mahanand, S.; Majumdar, R.; Sharma, S.; Hidangmayum, D.; Netam, S. Fish waste utilization with reference to fish protein hydrolisate—A review. Fish. Technol. 2019, 56, 169–178. [Google Scholar]
- Hajfathalian, M.; Ghelichi, S.; García-Moreno, P.J.; Moltke Sørensen, A.-D.; Jacobsen, C. Peptides: Production, bioactivity, functionality, and applications. Crit. Rev. Food Sci. Nutr. 2018, 58, 3097–3129. [Google Scholar] [CrossRef]
- Yusof, N.L.; Mutalib, N.-A.A.; Nazatul, U.; Nadrah, A.; Aziman, N.; Fouad, H.; Jawaid, M.; Ali, A.; Kian, L.K.; Sain, M. Efficacy of Biopolymer/Starch Based Antimicrobial Packaging for Chicken Breast Fillets. Foods 2021, 10, 2379. [Google Scholar] [CrossRef]
- Mirzapour-Kouhdasht, A.; Lee, C.W.; Yun, H.; Eun, J.-B. Structure–function relationship of fermented skate skin gelatin-derived bioactive peptides: A peptidomics approach. Food Sci. Biotechnol. 2021, 30, 1685–1693. [Google Scholar] [CrossRef]
- Mirzapour-Kouhdasht, A.; Moosavi-Nasab, M.; Krishnaswamy, K.; Khalesi, M. Optimization of gelatin production from Barred mackerel by-products: Characterization and hydrolysis using native and commercial proteases. Food Hydrocoll. 2020, 108, 105970. [Google Scholar] [CrossRef]
- Mirzapour-Kouhdasht, A.; Moosavi-Nasab, M. Shelf-life extension of whole shrimp using an active coating containing fish skin gelatin hydrolysates produced by a natural protease. Food Sci. Nutr. 2020, 8, 214–223. [Google Scholar] [CrossRef]
- AOAC. Meat and Meat Products; AOAC: Rockville, MD, USA, 1995; Volume 2, pp. 1–7. [Google Scholar]
- Barbanti, D.; Pasquini, M. Influence of cooking conditions on cooking loss and tenderness of raw and marinated chicken breast meat. LWT-Food Sci. Technol. 2005, 38, 895–901. [Google Scholar] [CrossRef]
- Horwitz, W.; Latimer, G. AOAC Official Methods of Analysis; Association of Official Analytical Chemists International Sections: Gaithersburg, MD, USA, 2000; Volume 50, p. 992.905. [Google Scholar]
- Cunniff, P. Aoac peroxide value of oils and fats method 965.33. In Official Methods of Analysis of AOAC International; Association of Official Analytical Chemists, Inc.: Washington, DC, USA, 1997; Volume 12. [Google Scholar]
- Song, Y.; Liu, L.; Shen, H.; You, J.; Luo, Y. Effect of sodium alginate-based edible coating containing different anti-oxidants on quality and shelf life of refrigerated bream (Megalobrama amblycephala). Food Control 2011, 22, 608–615. [Google Scholar] [CrossRef]
- Abelti, A.L. Microbiological and chemical changes of Nile Tilapia (Oreochromis niloticus L.) fillet during ice storage: Effect of age and sex. Adv. J. Food Sci. Technol. 2013, 5, 1260–1265. [Google Scholar] [CrossRef]
- Kilincceker, O.; Dogan, I.S.; Kucukoner, E. Effect of edible coatings on the quality of frozen fish fillets. LWT-Food Sci. Technol. 2009, 42, 868–873. [Google Scholar] [CrossRef]
- Gómez, I.; Ibañez, F.C.; Beriain, M.J. Physicochemical and sensory properties of sous vide meat and meat analog products marinated and cooked at different temperature-time combinations. Int. J. Food Prop. 2019, 22, 1693–1708. [Google Scholar] [CrossRef]
- Lee, Y.S.; Saha, A.; Xiong, R.; Owens, C.M.; Meullenet, J.F. Changes in Broiler Breast Fillet Tenderness, Water-Holding Capacity, and Color Attributes during Long-Term Frozen Storage. J. Food Sci. 2008, 73, E162–E168. [Google Scholar] [CrossRef]
- Küçüközet, A.O.; Uslu, M.K. Cooking loss, tenderness, and sensory evaluation of chicken meat roasted after wrapping with edible films. Food Sci. Technol. Int. 2018, 24, 576–584. [Google Scholar] [CrossRef]
- Hernández-Jover, T.; Izquierdo-Pulido, M.; Veciana-Nogués, M.T.; Vidal-Carou, M.C. Biogenic amine sources in cooked cured shoulder pork. J. Agric. Food Chem. 1996, 44, 3097–3101. [Google Scholar] [CrossRef]
- Yıldırım-Yalçın, M.; Sadıkoğlu, H.; Şeker, M. Characterization of edible film based on grape juice and cross-linked maize starch and its effects on the storage quality of chicken breast fillets. LWT 2021, 142, 111012. [Google Scholar] [CrossRef]
- Abdelhedi, O.; Jridi, M.; Nasri, R.; Mora, L.; Toldrá, F.; Nasri, M. Rheological and structural properties of Hemiramphus far skin gelatin: Potential use as an active fish coating agent. Food Hydrocoll. 2019, 87, 331–341. [Google Scholar] [CrossRef]
- Thiansilakul, Y.; Benjakul, S.; Richards, M.P. Changes in heme proteins and lipids associated with off-odour of seabass (Lates calcarifer) and red tilapia (Oreochromis mossambicus × O. niloticus) during iced storage. Food Chem. 2010, 121, 1109–1119. [Google Scholar] [CrossRef]
- Nirmal, N.P.; Benjakul, S. Retardation of quality changes of Pacific white shrimp by green tea extract treatment and modified atmosphere packaging during refrigerated storage. Int. J. Food Microbiol. 2011, 149, 247–253. [Google Scholar] [CrossRef] [PubMed]
- Loi, C.C.; Eyres, G.T.; Birch, E.J. Effect of milk protein composition on physicochemical properties, creaming stability and volatile profile of a protein-stabilised oil-in-water emulsion. Food Res. Int. 2019, 120, 83–91. [Google Scholar] [CrossRef] [PubMed]
- Kchaou, H.; Jridi, M.; Benbettaieb, N.; Debeaufort, F.; Nasri, M. Bioactive films based on cuttlefish (Sepia officinalis) skin gelatin incorporated with cuttlefish protein hydrolysates: Physicochemical characterization and antioxidant properties. Food Packag. Shelf Life 2020, 24, 100477. [Google Scholar] [CrossRef]
- Khezrian, A.; Shahbazi, Y. Application of nanocompostie chitosan and carboxymethyl cellulose films containing natural preservative compounds in minced camel’s meat. Int. J. Biol. Macromol. 2018, 106, 1146–1158. [Google Scholar] [CrossRef]
- Kamkar, A.; Molaee-Aghaee, E.; Khanjari, A.; Akhondzadeh-Basti, A.; Noudoost, B.; Shariatifar, N.; Sani, M.A.; Soleimani, M. Nanocomposite active packaging based on chitosan biopolymer loaded with nano-liposomal essential oil: Its characterizations and effects on microbial, and chemical properties of refrigerated chicken breast fillet. Int. J. Food Microbiol. 2021, 342, 109071. [Google Scholar] [CrossRef]
- Bazargani-Gilani, B.; Aliakbarlu, J.; Tajik, H. Effect of pomegranate juice dipping and chitosan coating enriched with Zataria multiflora Boiss essential oil on the shelf-life of chicken meat during refrigerated storage. Innov. Food Sci. Emerg. Technol. 2015, 29, 280–287. [Google Scholar] [CrossRef]
- Sohaib, M.; Anjum, F.M.; Sahar, A.; Arshad, M.S.; Rahman, U.U.; Imran, A.; Hussain, S. Antioxidant proteins and peptides to enhance the oxidative stability of meat and meat products: A comprehensive review. Int. J. Food Prop. 2017, 20, 2581–2593. [Google Scholar] [CrossRef]
- Mahdavi, V.; Hosseini, S.E.; Sharifan, A. Effect of edible chitosan film enriched with anise (Pimpinella anisum L.) essential oil on shelf life and quality of the chicken burger. Food Sci. Nutr. 2018, 6, 269–279. [Google Scholar] [CrossRef]
- Kittiphattanabawon, P.; Benjakul, S.; Visessanguan, W.; Shahidi, F. Gelatin hydrolysate from blacktip shark skin prepared using papaya latex enzyme: Antioxidant activity and its potential in model systems. Food Chem. 2012, 135, 1118–1126. [Google Scholar] [CrossRef]
- Wells, N.; Yusufu, D.; Mills, A. Colourimetric plastic film indicator for the detection of the volatile basic nitrogen compounds associated with fish spoilage. Talanta 2019, 194, 830–836. [Google Scholar] [CrossRef] [PubMed]
- Pellissery, A.J.; Vinayamohan, P.G.; Amalaradjou, M.A.R.; Venkitanarayanan, K. Spoilage bacteria and meat quality. In Meat Quality Analysis; Elsevier: Amsterdam, The Netherlands, 2020; pp. 307–334. [Google Scholar]
- MISIR, G.B.; Koral, S. The impacts of ultrasound-assisted protein hydrolysate coating on the quality parameters and shelf life of smoked bonito fillets stored at 4 ± 1 °C. Ege J. Fish. Aquat. Sci. 2021, 38, 427–435. [Google Scholar]
- Farsanipour, A.; Khodanazary, A.; Hosseini, S.M. Effect of chitosan-whey protein isolated coatings incorporated with tarragon Artemisia dracunculus essential oil on the quality of Scomberoides commersonnianus fillets at refrigerated condition. Int. J. Biol. Macromol. 2020, 155, 766–771. [Google Scholar] [CrossRef] [PubMed]
- Senter, S.D.; Arnold, J.W.; Chew, V. APC values and volatile compounds formed in commercially processed, raw chicken parts during storage at 4 and 13 °C and under simulated temperature abuse conditions. J. Sci. Food Agric. 2000, 80, 1559–1564. [Google Scholar] [CrossRef]
- Mann, B.; Kumari, A.; Kumar, R.; Sharma, R.; Prajapati, K.; Mahboob, S.; Athira, S. Antioxidant activity of whey protein hydrolysates in milk beverage system. J. Food Sci. Technol. 2015, 52, 3235–3241. [Google Scholar] [CrossRef]
- Yıldız, P.O.; Yangılar, F. Effects of different whey protein concentrate coating on selected properties of rainbow trout (Oncorhynchus mykiss) during cold storage (4 °C). Int. J. Food Prop. 2016, 19, 2007–2015. [Google Scholar] [CrossRef]
- Seifzadeh, M. Effects of whey protein edible coating on bacterial, chemical and sensory characteristics of frozen common Kilka. Iran. J. Fish. Sci. 2014, 13, 477–491. [Google Scholar]
- Brink, I.; Šipailienė, A.; Leskauskaitė, D. Antimicrobial properties of chitosan and whey protein films applied on fresh cut turkey pieces. Int. J. Biol. Macromol. 2019, 130, 810–817. [Google Scholar] [CrossRef]
- Motalebi, A.; Hasanzati Rostami, A.; Khanipour, A.; Soltani, M. Impacts of Whey Protein Edible Coating on Chemical and Microbial Factors of Gutted Kilka during Frozen Storage. Iran. J. Fish. Sci. 2010, 9, 255–264. [Google Scholar]
- Hu, S.; Luo, Y.; Cui, J.; Lu, W.; Wang, H.; You, J.; Shen, H. Effect of silver carp (Hypophthalmichthys molitrix) muscle hydrolysates and fish skin hydrolysates on the quality of common carp (Cyprinus carpio) during 4 °C storage. Int. J. Food Sci. Technol. 2013, 48, 187–194. [Google Scholar] [CrossRef]
- Ren, X.Q.; Ma, L.Z.; Chu, J. Effect of catfish bone hydrolysate on the quality of catfish sausage during ambient temperature (37 °C) storage. International Conference on Chemical Engineering and Advanced Materials. In Proceedings of the Advanced Materials Research, Changsha, China, 28–30 May 2011; pp. 2886–2889. [Google Scholar]
- Da Rocha, M.; Alemán, A.; Romani, V.P.; López-Caballero, M.E.; Gómez-Guillén, M.C.; Montero, P.; Prentice, C. Effects of agar films incorporated with fish protein hydrolysate or clove essential oil on flounder (Paralichthys orbignyanus) fillets shelf-life. Food Hydrocoll. 2018, 81, 351–363. [Google Scholar] [CrossRef]
- Balcik Misir, G.; Koral, S. Effects of Edible Coatings Based on Ultrasound-treated Fish Proteins Hydrolysate in Quality Attributes of Chilled Bonito Fillets. J. Aquat. Food Prod. Technol. 2019, 28, 999–1012. [Google Scholar] [CrossRef]
- Cao, L.; Sun, G.; Zhang, C.; Liu, W.; Li, J.; Wang, L. An intelligent film based on cassia gum containing bromothymol blue-anchored cellulose fibers for real-time detection of meat freshness. J. Agric. Food Chem. 2019, 67, 2066–2074. [Google Scholar] [CrossRef] [PubMed]
- Parvathy, U.; Nizam, K.; Zynudheen, A.; Ninan, G.; Panda, S.; Ravishankar, C. Characterization of fish protein hydrolysate from red meat of Euthynnus affinis and its application as an antioxidant in iced sardine. J. Sci. Ind. Res. 2018, 77, 111–119. [Google Scholar]



| Samples | Days of Storage | ||||
|---|---|---|---|---|---|
| 0 | 4 | 8 | 12 | 16 | |
| Control | Ea | Da | Ca | Ba | Aa |
| WP | Da | Dbc | Cbc | Bb | Ab |
| FGH | Ca | Cb | Bb | Bbc | Ab |
| WP + FGH | Ca | Cc | Bc | Bc | Ac |
| Days of Storage | Samples | Total Acceptance Scores |
|---|---|---|
| 0 | Control | 5 ± 0.00 Aa |
| WP | 5 ± 0.00 Aa | |
| FGH | 5 ± 0.00 Aa | |
| WP + FGH | 5 ± 0.00 Aa | |
| 4 | Control | 3.66 ± 0.81 Cb |
| WP | 4 ± 0.00 Bb | |
| FGH | 4 ± 0.00 Bb | |
| WP + FGH | 4.66 ± 0.00 Aa | |
| 8 | Control | 2.33 ± 0.47 Cc |
| WP | 3.33 ± 0.00 Bbc | |
| FGH | 2.66 ± 0.00 Bc | |
| WP + FGH | 3.66 ± 0.00 Ab | |
| 12 | Control | 1 ± 0.00 Cd |
| WP | 2.33 ± 0.00 Bc | |
| FGH | 2.33 ± 0.00 Bc | |
| WP + FGH | 3 ± 0.00 Ac | |
| 16 | Control | 1 ± 0.47 Cd |
| WP | 1.33 ± 0.00 Bd | |
| FGH | 1.33 ± 0.00 Bd | |
| WP + FGH | 2 ± 0.47 Ad |
Publisher’s Note: MDPI stays neutral with regard to jurisdictional claims in published maps and institutional affiliations. |
© 2022 by the authors. Licensee MDPI, Basel, Switzerland. This article is an open access article distributed under the terms and conditions of the Creative Commons Attribution (CC BY) license (https://creativecommons.org/licenses/by/4.0/).
Share and Cite
Sabzipour-Hafshejani, F.; Mirzapour-Kouhdasht, A.; Khodaei, D.; Taghizadeh, M.S.; Garcia-Vaquero, M. Impact of Whey Protein Edible Coating Containing Fish Gelatin Hydrolysates on Physicochemical, Microbial, and Sensory Properties of Chicken Breast Fillets. Polymers 2022, 14, 3371. https://doi.org/10.3390/polym14163371
Sabzipour-Hafshejani F, Mirzapour-Kouhdasht A, Khodaei D, Taghizadeh MS, Garcia-Vaquero M. Impact of Whey Protein Edible Coating Containing Fish Gelatin Hydrolysates on Physicochemical, Microbial, and Sensory Properties of Chicken Breast Fillets. Polymers. 2022; 14(16):3371. https://doi.org/10.3390/polym14163371
Chicago/Turabian StyleSabzipour-Hafshejani, Forouzan, Armin Mirzapour-Kouhdasht, Diako Khodaei, Mohammad Sadegh Taghizadeh, and Marco Garcia-Vaquero. 2022. "Impact of Whey Protein Edible Coating Containing Fish Gelatin Hydrolysates on Physicochemical, Microbial, and Sensory Properties of Chicken Breast Fillets" Polymers 14, no. 16: 3371. https://doi.org/10.3390/polym14163371
APA StyleSabzipour-Hafshejani, F., Mirzapour-Kouhdasht, A., Khodaei, D., Taghizadeh, M. S., & Garcia-Vaquero, M. (2022). Impact of Whey Protein Edible Coating Containing Fish Gelatin Hydrolysates on Physicochemical, Microbial, and Sensory Properties of Chicken Breast Fillets. Polymers, 14(16), 3371. https://doi.org/10.3390/polym14163371

