Magnetic Graphene-Based Nanosheets with Pluronic F127-Chitosan Biopolymers Encapsulated α-Mangosteen Drugs for Breast Cancer Cells Therapy
Abstract
1. Introduction
2. Materials and Methods
2.1. Materials
2.2. Synthesis of GO
2.3. Synthesis of Fe3O4@RGO (MRGO)
2.4. Synthesis of Chitosan@MRGO
2.5. Synthesis of Pluronic F127-Chitosan@MRGO
2.6. Encapsulation Efficiency
2.7. Structural and Morphological Characterizations
2.8. Cell Culture
2.9. Cell Cytotoxicity Assay
3. Results
3.1. Formation Mechanism of Nanocomposites
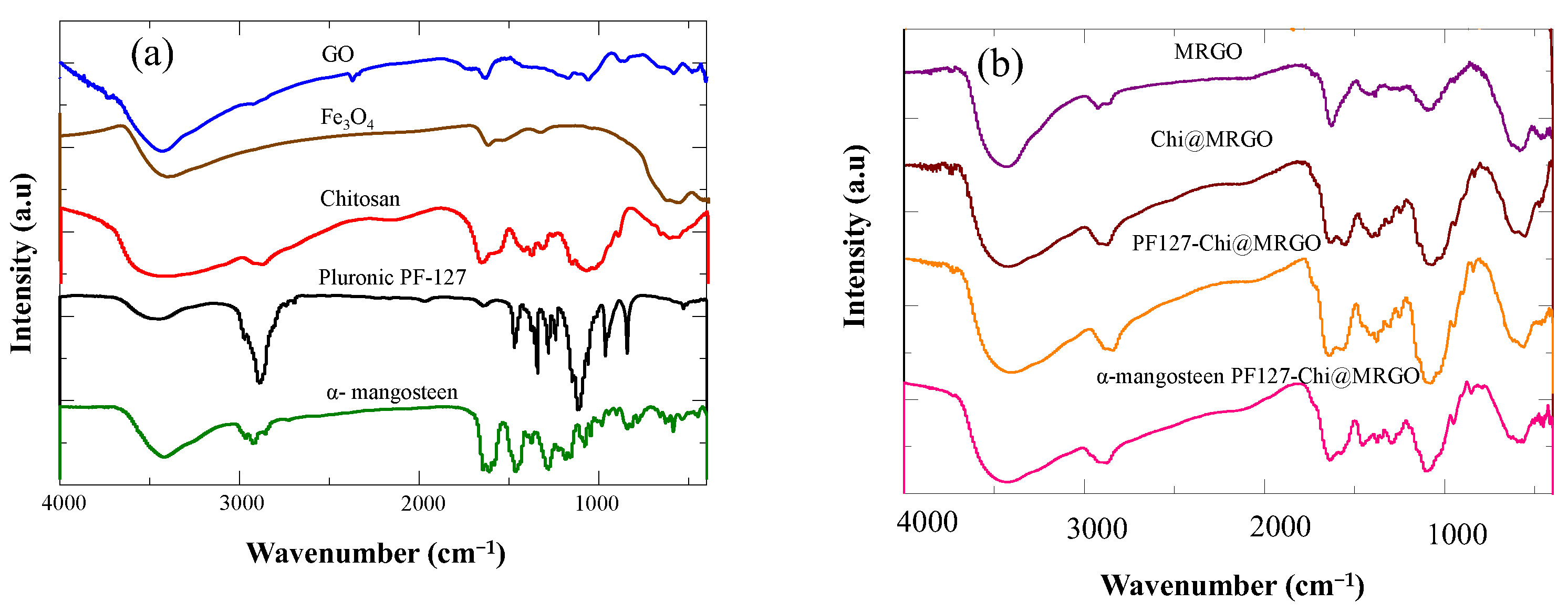
3.2. Structure and Morphological Characterizations
3.3. Stability of Nanocomposites
3.4. Encapsulation Efficiency of α-Mangosteen on PF127-Chitosan @MRGO
3.5. In Vitro Cytotoxicity Study
4. Conclusions
Author Contributions
Funding
Institutional Review Board Statement
Informed Consent Statement
Data Availability Statement
Acknowledgments
Conflicts of Interest
References
- Andresen, T.L.; Jensen, S.S.; Jørgensen, K. Advanced strategies in liposomal cancer therapy: Problems and prospects of active and tumor specific drug release. Prog. Lipid Res. 2005, 44, 68–97. [Google Scholar] [CrossRef] [PubMed]
- Pugazhendhi, A.; Edison, T.N.J.I.; Velmurugan, B.K.; Jacob, J.A.; Karuppusamy, I. Toxicity of Doxorubicin (Dox) to different experimental organ systems. Life Sci. 2018, 200, 26–30. [Google Scholar] [CrossRef] [PubMed]
- Cragg, G.M.; Pezzuto, J.M. Natural Products as a Vital Source for the Discovery of Cancer Chemotherapeutic and Chemopreventive Agents. Med. Princ. Pract. 2016, 25 (Suppl. 2), 41–59. [Google Scholar] [CrossRef] [PubMed]
- Wathoni, N.; Rusdin, A.; Motoyama, K.; Joni, I.M.; Lesmana, R.; Muchtaridi, M. Nanoparticle Drug Delivery Systems for α-Mangostin. Nanotechnol. Sci. Appl. 2020, 13, 23–36. [Google Scholar] [CrossRef] [PubMed]
- Trang Phan, T.K.; Tran, T.Q.; Nguyen Pham, D.T.; Nguyen, D.T. Characterization, Release Pattern, and Cytotoxicity of Liposomes Loaded With α-Mangostin Isolated From Pericarp of Mangosteen (Garcinia mangostana L.). Nat. Prod. Commun. 2020, 15, 1–8. [Google Scholar]
- Herdiana, Y.; Wathoni, N.; Shamsuddin, S.; Muchtaridi, M. α-Mangostin Nanoparticles Cytotoxicity and Cell Death Modalities in Breast Cancer Cell Lines. Molecules 2021, 26, 5119. [Google Scholar] [CrossRef] [PubMed]
- Kuo, C.-Y.; Liu, T.-Y.; Wang, K.-S.; Hardiansyah, A.; Lin, Y.-T.; Chen, H.-Y.; Chiu, W.-Y. Magnetic and Thermal-sensitive Poly(N-isopropylacrylamide)-based Microgels for Magnetically Triggered Controlled Release. J. Vis. Exp. 2017, 125, 55648. [Google Scholar] [CrossRef]
- Kuo, C.-Y.; Liu, T.-Y.; Chan, T.-Y.; Tsai, S.-C.; Hardiansyah, A.; Huang, L.-Y.; Yang, M.-C.; Lu, R.-H.; Jiang, J.-K.; Yang, C.-Y.; et al. Magnetically triggered nanovehicles for controlled drug release as a colorectal cancer therapy. Colloids Surf. B Biointerfaces 2016, 140, 567–573. [Google Scholar] [CrossRef]
- Kuo, C.-Y.; Liu, T.-Y.; Hardiansyah, A.; Lee, C.-F.; Wang, M.-S.; Chiu, W.-Y. Self-assembly behaviors of thermal- and pH- sensitive magnetic nanocarriers for stimuli-triggered release. Nanoscale Res. Lett. 2014, 9, 520. [Google Scholar] [CrossRef]
- Silva, J.V.; Santos, S.d.S.; Sanches, L.M.; Ferreira, E.I.; Giarolla, J. Chapter 24—Advances in targeted dendrimers for cancer therapy and challenges for clinical translation. In Dendrimer-Based Nanotherapeutics; Kesharwani, P., Ed.; Academic Press: Oxford, UK, 2021; pp. 435–447. [Google Scholar]
- Hardiansyah, A.; Huang, L.-Y.; Yang, M.-C.; Liu, T.-Y.; Tsai, S.-C.; Yang, C.-Y.; Kuo, C.-Y.; Chan, T.-Y.; Zou, H.-M.; Lian, W.-N.; et al. Magnetic liposomes for colorectal cancer cells therapy by high-frequency magnetic field treatment. Nanoscale Res. Lett. 2014, 9, 497. [Google Scholar] [CrossRef]
- Hardiansyah, A.; Yang, M.-C.; Liu, T.-Y.; Kuo, C.-Y.; Huang, L.-Y.; Chan, T.-Y. Hydrophobic Drug-Loaded PEGylated Magnetic Liposomes for Drug-Controlled Release. Nanoscale Res. Lett. 2017, 12, 355. [Google Scholar] [CrossRef] [PubMed]
- Hardiansyah, A.; Destyorini, F.; Irmawati, Y.; Yang, M.-C.; Liu, C.-M.; Chaldun, E.R.; Yung, M.-C.; Liu, T.Y. Characterizations of doxorubicin-loaded PEGylated magnetic liposomes for cancer cells therapy. J. Polym. Res. 2019, 26, 282. [Google Scholar] [CrossRef]
- Hardiansyah, A.; Huang, L.-Y.; Yang, M.-C.; Purwasasmita, B.S.; Liu, T.-Y.; Kuo, C.-Y.; Liao, H.-L.; Chan, T.-Y.; Tzou, H.-M.; Chiu, W.-Y. Novel pH-sensitive drug carriers of carboxymethyl-hexanoyl chitosan (Chitosonic® Acid) modified liposomes. RSC Adv. 2015, 5, 23134–23143. [Google Scholar] [CrossRef]
- Lee, X.J.; Lim, H.N.; Gowthaman, N.S.K.; Rahman, M.B.A.; Che Abdullah, C.A.; Muthoosamy, K. In-situ surface functionalization of superparamagnetic reduced graphene oxide—Fe3O4 nanocomposite via Ganoderma lucidum extract for targeted cancer therapy application. Appl. Surf. Sci. 2020, 512, 145738. [Google Scholar] [CrossRef]
- Haseen, U.; Ahmad, H.; Umar, K.; Parveen, T. Chapter 11—Application of magnetite–graphene oxide for wastewater treatment. In Graphene-Based Nanotechnologies for Energy and Environmental Applications; Jawaid, M., Ahmad, A., Lokhat, D., Eds.; Elsevier: Cambridge, MA, USA, 2019; pp. 195–203. [Google Scholar]
- Cui, G.; Wu, J.; Lin, J.; Liu, W.; Chen, P.; Yu, M.; Zhou, D.; Yao, G. Graphene-based nanomaterials for breast cancer treatment: Promising therapeutic strategies. J. Nanobiotechnol. 2021, 19, 211. [Google Scholar] [CrossRef] [PubMed]
- Yaghoubi, F.; Motlagh, N.S.H.; Naghib, S.M.; Haghiralsadat, F.; Jaliani, H.Z.; Moradi, A. A functionalized graphene oxide with improved cytocompatibility for stimuli-responsive co-delivery of curcumin and doxorubicin in cancer treatment. Sci. Rep. 2022, 12, 1959. [Google Scholar] [CrossRef] [PubMed]
- Rodrigues, R.O.; Baldi, G.; Doumett, S.; Garcia-Hevia, L.; Gallo, J.; Bañobre-López, M.; Dražić, G.; Calhelha, R.C.; Ferreira, I.C.F.R.; Lima, R.; et al. Multifunctional graphene-based magnetic nanocarriers for combined hyperthermia and dual stimuli-responsive drug delivery. Mater. Sci. Eng. C 2018, 93, 206–217. [Google Scholar] [CrossRef] [PubMed]
- Gurunathan, S.; Jeyaraj, M.; Kang, M.-H.; Kim, J.-H. Graphene Oxide–Platinum Nanoparticle Nanocomposites: A Suitable Biocompatible Therapeutic Agent for Prostate Cancer. Polymers 2019, 11, 733. [Google Scholar] [CrossRef]
- Ahamed, M.; Akhtar, M.J.; Khan, M.A.M.; Alhadlaq, H.A. A Novel Green Preparation of Ag/RGO Nanocomposites with Highly Effective Anticancer Performance. Polymers 2021, 13, 3350. [Google Scholar] [CrossRef]
- Alaizeri, Z.M.; Alhadlaq, H.A.; Aldawood, S.; Akhtar, M.J.; Ahamed, M. One-Pot Synthesis of SnO2-rGO Nanocomposite for Enhanced Photocatalytic and Anticancer Activity. Polymers 2022, 14, 2036. [Google Scholar] [CrossRef] [PubMed]
- Liang, W.; Huang, Y.; Lu, D.; Ma, X.; Gong, T.; Cui, X.; Yu, B.; Yang, C.; Dong, C.; Shuang, S. β-Cyclodextrin–Hyaluronic Acid Polymer Functionalized Magnetic Graphene Oxide Nanocomposites for Targeted Photo-Chemotherapy of Tumor Cells. Polymers 2019, 11, 133. [Google Scholar] [CrossRef] [PubMed]
- Mendonça, M.C.P.; Soares, E.S.; de Jesus, M.B.; Ceragioli, H.J.; Batista, Â.G.; Nyúl-Tóth, Á.; Molnár, J.; Wilhelm, I.; Maróstica, M.R.; Krizbai, I.; et al. PEGylation of Reduced Graphene Oxide Induces Toxicity in Cells of the Blood–Brain Barrier: An in Vitro and in Vivo Study. Mol. Pharm. 2016, 13, 3913–3924. [Google Scholar] [CrossRef] [PubMed]
- Hu, H.; Yu, J.; Li, Y.; Zhao, J.; Dong, H. Engineering of a novel pluronic F127/graphene nanohybrid for pH responsive drug delivery. J. Biomed. Mater. Res. A 2012, 100, 141–148. [Google Scholar] [CrossRef] [PubMed]
- Li, Y.; Liu, J.; Dong, H.; Liu, G.; Hu, H. Engineering of a Pluronic F127 functionalized magnetite/graphene nanohybrid for chemophototherapy. Nanotechnology 2014, 25, 065602. [Google Scholar] [CrossRef] [PubMed]
- Ma, M.; Cheng, L.; Zhao, A.; Zhang, H.; Zhang, A. Pluronic-based graphene oxide-methylene blue nanocomposite for photodynamic/photothermal combined therapy of cancer cells. Photodiagn. Photodyn. Ther. 2020, 29, 101640. [Google Scholar] [CrossRef] [PubMed]
- Agnihotri, S.A.; Mallikarjuna, N.N.; Aminabhavi, T.M. Recent advances on chitosan-based micro- and nanoparticles in drug delivery. J. Control Release 2004, 100, 5–28. [Google Scholar] [CrossRef] [PubMed]
- Hasan, K.M.F.; Pervez, M.N.; Talukder, M.E.; Sultana, M.Z.; Mahmud, S.; Meraz, M.M.; Bansal, V.; Genyang, C. A Novel Coloration of Polyester Fabric through Green Silver Nanoparticles (G-AgNPs@PET). Nanomaterials 2019, 9, 569. [Google Scholar] [CrossRef] [PubMed]
- Prabaharan, M. Review paper: Chitosan derivatives as promising materials for controlled drug delivery. J. Biomater. Appl. 2008, 23, 5–36. [Google Scholar] [CrossRef]
- Hardiansyah, A.; Budiman, W.J.; Yudasari, N.; Isnaeni; Kida, T.; Wibowo, A. Facile and Green Fabrication of Microwave-Assisted Reduced Graphene Oxide/Titanium Dioxide Nanocomposites as Photocatalysts for Rhodamine 6G Degradation. ACS Omega 2021, 6, 32166–32177. [Google Scholar] [CrossRef]
- Doan, V.T.H.; Lee, J.H.; Takahashi, R.; Nguyen, P.T.M.; Nguyen, V.A.T.; Pham, H.T.T.; Fujii, S.; Sakurai, K. Cyclodextrin-based nanoparticles encapsulating α-mangostin and their drug release behavior: Potential carriers of α-mangostin for cancer therapy. Polym. J. 2020, 52, 457–466. [Google Scholar] [CrossRef]
- Pham, D.T.; Saelim, N.; Tiyaboonchai, W. Alpha mangostin loaded crosslinked silk fibroin-based nanoparticles for cancer chemotherapy. Colloids Surf. B Biointerfaces 2019, 181, 705–713. [Google Scholar] [CrossRef] [PubMed]
- Siddeeg, S.M.; Tahoon, M.A.; Mnif, W.; Ben Rebah, F. Iron Oxide/Chitosan Magnetic Nanocomposite Immobilized Manganese Peroxidase for Decolorization of Textile Wastewater. Processes 2020, 8, 5. [Google Scholar] [CrossRef]
- Li, B.; Zhang, L.; Zhang, Z.; Gao, R.; Li, H.; Dong, Z.; Wang, Q.; Zhou, Q.; Wang, Y. Physiologically stable F127-GO supramolecular hydrogel with sustained drug release characteristic for chemotherapy and photothermal therapy. RSC Adv. 2018, 8, 1693–1699. [Google Scholar] [CrossRef]
- Karthika, V.; AlSalhi, M.S.; Devanesan, S.; Gopinath, K.; Arumugam, A.; Govindarajan, M. Chitosan overlaid Fe3O4/rGO nanocomposite for targeted drug delivery, imaging, and biomedical applications. Sci. Rep. 2020, 10, 18912. [Google Scholar] [CrossRef] [PubMed]
- Taokaew, S.; Chiaoprakobkij, N.; Siripong, P.; Sanchavanakit, N.; Pavasant, P.; Phisalaphong, M. Multifunctional cellulosic nanofiber film with enhanced antimicrobial and anticancer properties by incorporation of ethanolic extract of Garcinia mangostana peel. Mater. Sci. Eng. C 2021, 120, 111783. [Google Scholar] [CrossRef] [PubMed]
- Wathoni, N.; Meylina, L.; Rusdin, A.; Mohammed, A.F.; Tirtamie, D.; Herdiana, Y.; Motoyama, K.; Panatarani, C.; Joni, I.M.; Lesmana, R.; et al. The Potential Cytotoxic Activity Enhancement of α-Mangostin in Chitosan-Kappa Carrageenan-Loaded Nanoparticle against MCF-7 Cell Line. Polymers 2021, 13, 1681. [Google Scholar] [CrossRef] [PubMed]
- Chandra Boinpelly, V.; Verma, R.K.; Srivastav, S.; Srivastava, R.K.; Shankar, S. α-Mangostin-encapsulated PLGA nanoparticles inhibit colorectal cancer growth by inhibiting Notch pathway. J. Cell. Mol. Med. 2020, 24, 11343–11354. [Google Scholar] [CrossRef] [PubMed]
- Yang, S.; Gao, X.; He, Y.; Hu, Y.; Xu, B.; Cheng, Z.; Xiang, M.; Xie, Y. Applying an innovative biodegradable self-assembly nanomicelles to deliver α-mangostin for improving anti-melanoma activity. Cell Death Dis. 2019, 10, 146. [Google Scholar] [CrossRef] [PubMed]
- Mai Phuong, N.T.; Lam, T.D.; Mai, T.T.; Hop, N.T. Cytotoxicity of α-mangostin encapsulated polymeric nanoparticles against lung cancer cells. Acad. J. Biol. 2018, 40, 108–114. [Google Scholar] [CrossRef][Green Version]
- Samprasit, W.; Akkaramongkolporn, P.; Jaewjira, S.; Opanasopit, P. Design of alpha mangostin-loaded chitosan/alginate controlled-release nanoparticles using genipin as crosslinker. J. Drug. Deliv. Sci. Technol. 2018, 46, 312–321. [Google Scholar] [CrossRef]
- Feng, J.; Xu, M.; Wang, J.; Zhou, S.; Liu, Y.; Liu, S.; Huang, Y.; Chen, Y.; Chen, L.; Song, Q.; et al. Sequential delivery of nanoformulated α-mangostin and triptolide overcomes permeation obstacles and improves therapeutic effects in pancreatic cancer. Biomaterials 2020, 241, 119907. [Google Scholar] [CrossRef] [PubMed]









| No | Material | Mangosteen | Main Objective | Ref. |
|---|---|---|---|---|
| 1 | Nanocellulosic fibers (Acetobacter xylinum) | α-Mangosteen | multifunctional nanofiber films with antimicrobial and anticancer properties | [37] |
| 2 | Chitosan-Kappa Carrageenan | α-Mangosteen | improve cytotoxicity as breast cancer therapy agents | [38] |
| 3 | Poly (D, L-lactic-co-glycolic acid) (PLGA) | α-Mangosteen | inhibit colorectal cancer growth | [39] |
| 4 | Dioleoylphosphatidylcholine (DOPC), cholesterol, and polycarbonate membrane | α-Mangosteen | effective cytotoxic effect against human hepatoma Hep-G2 cells | [5] |
| 5 | Crosslinked silk fibroin-based nanoparticles using EDC or PEI as a crosslinker | α-Mangosteen | high potential for cancer chemotherapy | [33] |
| 6 | Monomethoxy poly (ethylene glycol)-polycaprolactones (MPEG-PCLs) | α-Mangosteen | inhibit the proliferation of melanoma cell and improve chemotherapeutic agent in melanoma therapy | [40] |
| 7 | Cyclodextrin-based nanoparticles | α-Mangosteen | Potential carrier for cancer therapy | [32] |
| 8 | β-cyclodextrin | α-Mangosteen | Improve bioavailability and maintain lung cancer cells activity | [41] |
| 9 | Chitosan/alginate using genipin as crosslinker | α-Mangosteen | antitumour activity to colorectal adenocarcinoma cells | [42] |
| 10 | Poly(ethylene glycol)–poly(l-lactide) (PEG–PLA) | α-Mangosteen | improve the effect of chemotherapy on pancreatic ductal adenocarcinoma (PDAC) | [43] |
| 11 | α-mangosteen -loaded PF127-Chi@MRGO nanocomposites | α-Mangosteen | Inhibit the proliferation of MCF-7 cells | This work |
Publisher’s Note: MDPI stays neutral with regard to jurisdictional claims in published maps and institutional affiliations. |
© 2022 by the authors. Licensee MDPI, Basel, Switzerland. This article is an open access article distributed under the terms and conditions of the Creative Commons Attribution (CC BY) license (https://creativecommons.org/licenses/by/4.0/).
Share and Cite
Hardiansyah, A.; Randy, A.; Dewi, R.T.; Angelina, M.; Yudasari, N.; Rahayu, S.; Ulfah, I.M.; Maryani, F.; Cheng, Y.-W.; Liu, T.-Y. Magnetic Graphene-Based Nanosheets with Pluronic F127-Chitosan Biopolymers Encapsulated α-Mangosteen Drugs for Breast Cancer Cells Therapy. Polymers 2022, 14, 3163. https://doi.org/10.3390/polym14153163
Hardiansyah A, Randy A, Dewi RT, Angelina M, Yudasari N, Rahayu S, Ulfah IM, Maryani F, Cheng Y-W, Liu T-Y. Magnetic Graphene-Based Nanosheets with Pluronic F127-Chitosan Biopolymers Encapsulated α-Mangosteen Drugs for Breast Cancer Cells Therapy. Polymers. 2022; 14(15):3163. https://doi.org/10.3390/polym14153163
Chicago/Turabian StyleHardiansyah, Andri, Ahmad Randy, Rizna Triana Dewi, Marissa Angelina, Nurfina Yudasari, Sri Rahayu, Ika Maria Ulfah, Faiza Maryani, Yu-Wei Cheng, and Ting-Yu Liu. 2022. "Magnetic Graphene-Based Nanosheets with Pluronic F127-Chitosan Biopolymers Encapsulated α-Mangosteen Drugs for Breast Cancer Cells Therapy" Polymers 14, no. 15: 3163. https://doi.org/10.3390/polym14153163
APA StyleHardiansyah, A., Randy, A., Dewi, R. T., Angelina, M., Yudasari, N., Rahayu, S., Ulfah, I. M., Maryani, F., Cheng, Y.-W., & Liu, T.-Y. (2022). Magnetic Graphene-Based Nanosheets with Pluronic F127-Chitosan Biopolymers Encapsulated α-Mangosteen Drugs for Breast Cancer Cells Therapy. Polymers, 14(15), 3163. https://doi.org/10.3390/polym14153163

