Grafted Pullulan Derivatives for Reducing the Content of Some Pesticides from Simulated Wastewater
Abstract
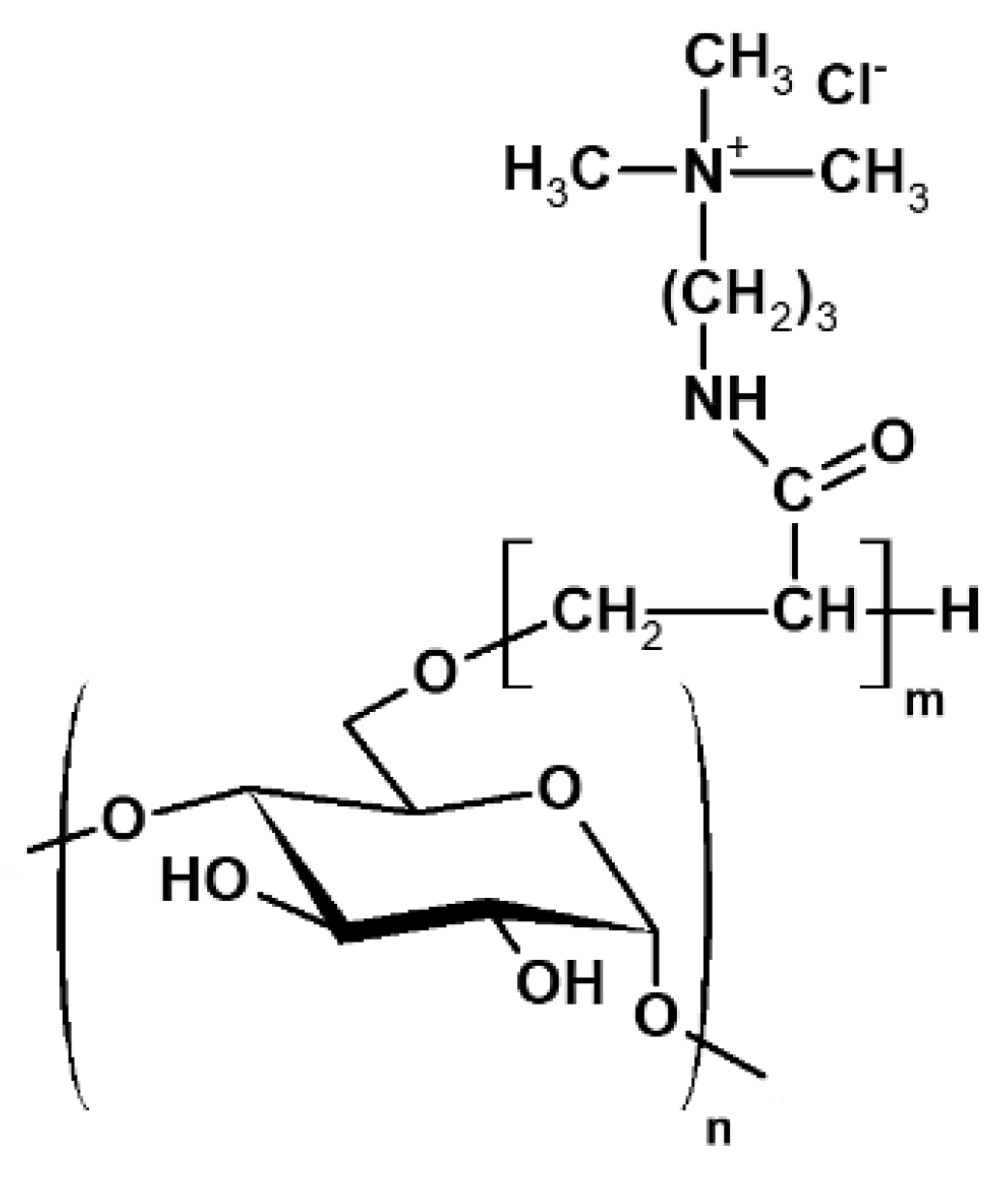
:1. Introduction
2. Materials and Methods
2.1. Materials
2.2. Methods
3. Results and Discussion
3.1. Effect of Polymer Dose and Grafted Chain Content and Length
3.1.1. Fungicide Bordeaux Mixture
3.1.2. Insecticides Decis, Confidor Oil, Confidor Energy
3.1.3. Insecticide Novadim Progress
3.2. Effect of Pesticide Concentration
3.3. Particle Size Measurements
4. Conclusions
Author Contributions
Funding
Data Availability Statement
Conflicts of Interest
References
- Hadjichristidis, N.; Pitsikalis, M.; Iatrou, H.; Driva, P.; Chatzichristidi, M.; Sakellariou, G.; Lohse, D. Graft Copolymers. Enc. Polym. Sci. Techol. 2010, 1–38. [Google Scholar] [CrossRef]
- Nasef, M.M.; Güvenc, O. Radiation-grafted copolymers for separation and purification purposes: Status, challenges and future directions. Prog. Polym. Sci. 2012, 37, 1597–1656. [Google Scholar] [CrossRef]
- Kumar, D.; Pandey, J.; Raj, V.; Kumar, P. A Review on the Modification of Polysaccharide Through Graft Copolymerization for Various Potential Applications. Open Med. Chem. J. 2017, 11, 109–126. [Google Scholar] [CrossRef] [PubMed]
- Liu, J.; Wang, X.; Yong, H.; Kan, J.; Jin, C. Recent advances in flavonoid-grafted polysaccharides: Synthesis, structural characterization, bioactivities and potential applications. Int. J. Biol. Macromol. 2018, 116, 1011–1025. [Google Scholar] [CrossRef]
- Singh, R.P.; Tripathy, T.; Karmakar, G.P.; Rath, S.K.; Karmakar, N.C.; Pandey, S.R.; Kannan, K.; Jain, S.K.; Lan, N.T. Novel biodegradable flocculants based on polysaccharides. Curr. Sci. 2000, 78, 798–803. [Google Scholar]
- Al Sharabati, M.; Abokwiek, R.; Al-Othman, A.; Tawalbeh, M.; Karaman, C.; Orooji, Y.; Karimi, F. Biodegradable polymers and their nano-composites for the removal of endocrine-disrupting chemicals (EDCs) from wastewater: A review. Environ. Res. 2021, 202, 111694. [Google Scholar] [CrossRef]
- Pal, P.; Pandey, J.P.; Sen, G. Synthesis, characterization and flocculation studies of a novel graft copolymer towards destabilization of carbon nano-tubes from effluent. Polymer 2017, 112, 159–168. [Google Scholar] [CrossRef]
- Hermosillo-Ochoa, E.; Picos-Corrales, L.A.; Licea-Claverie, A. Eco-friendly flocculants from chitosan grafted with PNVCL and PAAc: Hybrid materials with enhanced removal properties for water remediation. Sep. Purif. Technol. 2021, 258, 118052. [Google Scholar] [CrossRef]
- Zhao, N.; Al Bitar, H.; Zhu, Y.; Xu, Y.; Shi, Z. Synthesis of Polymer Grafted Starches and Their Flocculation Properties in Clay Suspension. Minerals 2020, 10, 1054. [Google Scholar] [CrossRef]
- Mondal, H.; Karmakar, M.; Nath Ghosh, N.; Maiti, D.K.; Chattopadhyay, P.K.; Singha, N.R. One-pot synthesis of sodium alginate-grafted-terpolymer hydrogel for As(III) and V(V) removal: In situ anchored comonomer and DFT studies on structures. J. Environ. Manag. 2021, 294, 112932. [Google Scholar] [CrossRef]
- Ray, J.; Kumar Samanta, S.; Tripathy, T. Adsorption of toxic organophosphorus pesticides from aqueous medium using dextrin-graft-poly (2-acrylamido-2-methyl propane sulfonic acid-co-acrylic acid) copolymer: Studies on equilibrium kinetics, isotherms, and thermodynamics of interactions. Polym. Eng. Sci. 2021, 61, 2861–2881. [Google Scholar] [CrossRef]
- Yang, C.; Zeng, Q.; Yang, Y.; Xiao, R.; Wang, Y.; Shi, H. The synthesis of humic acids graft copolymer and its adsorption for organic pesticides. J. Ind. Eng. Chem. 2014, 20, 1133–1139. [Google Scholar] [CrossRef]
- Abhilash, P.C.; Singh, N. Pesticide use and application: An Indian scenario. J. Hazard. Mater. 2009, 165, 1–12. [Google Scholar] [CrossRef]
- Rekha, S.N.; Prasad, R. Pesticide residue in organic and conventional food-risk analysis. J. Chem. Health Saf. 2006, 13, 12–19. [Google Scholar] [CrossRef]
- Xiong, S.; Deng, Y.; Tang, R.; Zhang, C.; Zheng, J.; Zhang, Y.; Su, L.; Yang, L.; Liao, C.; Gong, D. Factors study for the removal of epoxiconazole in water by common biochars. Biochem. Eng. J. 2020, 161, 107690. [Google Scholar] [CrossRef]
- Latkowska, B.; Figa, J. Cyanide removal from industrial wastewaters. J. Environ. Stud. 2007, 16, 748–752. [Google Scholar]
- Jatoi, A.S.; Hashmi, Z.; Adriyani, R.; Yuniarto, A.; Mazari, S.A.; Akhter, F.; Mubarak, N.M. Recent trends and future challenges of pesticide removal techniques—A comprehensive review. J. Environ. Chem. Eng. 2021, 9, 105571. [Google Scholar] [CrossRef]
- Thuy, P.T.; Moons, K.; van Dijk, J.C.; Viet Anh, N.; Van der Bruggen, B. To what extent are pesticides removed from surface water during coagulation-flocculation? Water Environ. J. 2008, 22, 217–223. [Google Scholar] [CrossRef]
- Saleh, I.A.; Zouari, N.; Al-Ghouti, M.A. Removal of pesticides from water and wastewater: Chemical, physical and biological treatment approaches. Environ. Technol. Innov. 2020, 19, 101026. [Google Scholar] [CrossRef]
- Ghimici, L.; Dinu, I.A. Removal of some commercial pesticides from aqueous dispersions using as flocculant a thymine-containing chitosan derivative. Sep. Purif. Technol. 2019, 209, 698–706. [Google Scholar] [CrossRef]
- Ghimici, L.; Nichifor, M. Efficacy of quaternary ammonium groups based polyelectrolytes for the reduction of various pesticide formulations content from synthetic wastewater. Sep. Purif. Technol. 2021, 276, 119325. [Google Scholar] [CrossRef]
- Ghimici, L.; Constantin, M. A review of the use of pullulan derivatives in wastewater purification. React. Funct. Polym. 2020, 149, 104510. [Google Scholar] [CrossRef]
- Salehizadeh, H.; Yan, N.; Farnood, R. Recent advances in polysaccharide bio-based flocculants. Biotechn. Adv. 2018, 36, 92–119. [Google Scholar] [CrossRef]
- Yang, K.; Yang, X.J.; Yang, M. Enhanced primary treatment of low-concentration municipal wastewater by means of bio-flocculant pullulan. J. Zhejiang Univ. Sci. A 2007, 8, 719–723. [Google Scholar] [CrossRef]
- Ghimici, L.; Constantin, M.; Fundueanu, G. Novel biodegradable flocculanting agents based on pullulan. J. Hazard. Mater. 2010, 181, 351–358. [Google Scholar] [CrossRef]
- Ghimici, L.; Constantin, M. The separation of kreutzonit particles by cationic pullulan derivatives from model suspension. Environ. Chall. 2021, 5, 100352. [Google Scholar] [CrossRef]
- Constantin, M.; Mihalcea, I.; Oanea, I.; Harabagiu, V.; Fundueanu, G. Studies on graft copolymerization of 3-acrylamidopropyl trimethylammonium chloride on pullulan. Carbohydr. Polym. 2011, 84, 926–932. [Google Scholar] [CrossRef]
- Rao, M.V.S. Viscosity of dilute to moderately concentrated polymer solutions. Polymer 1993, 34, 592–596. [Google Scholar] [CrossRef]
- Ghimici, L.; Nichifor, M. Ionic dextran derivatives for removal of Fastac 10 EC from its aqueous emulsions. Carbohydr. Polym. 2015, 134, 46–51. [Google Scholar] [CrossRef]
- Van Zwietena, L.; Rust, J.; Kingston, T.; Graham, M.; Morris, S. Influence of copper fungicide residues on occurrence of earthworms in avocado orchard soils. Sci. Total Environ. 2004, 329, 29–41. [Google Scholar] [CrossRef]
- Huang, C.C.; Su, Y.J. Removal of copper ions from wastewater by adsorption/electrosorption on modified activated carbon cloths. J. Hazard. Mater. 2010, 175, 477–483. [Google Scholar] [CrossRef] [PubMed]
- Nassef, E.; El-Taweel, Y.A. Removal of copper from wastewater by cementation from simulated leach liquors. J. Chem. Eng. Process Technol. 2015, 6, 214. [Google Scholar] [CrossRef] [Green Version]
- Hao, Y.M.; Man, C.; Hu, Z.B. Effective removal of Cu (II) ions from aqueous solution by amino-functionalized magnetic nanoparticles. J. Hazard. Mater. 2010, 184, 392–399. [Google Scholar] [CrossRef] [PubMed]
- Al-Saydeh, S.A.; El-Naas, M.H.; Zaidi, S.J. Copper Removal from Industrial Wastewater: A Comprehensive Review. J. Ind. Eng. Chem. 2017, 56, 35–44. [Google Scholar] [CrossRef]
- Oustriere, N.; Marchand, L.; Roulet, E.; Bordas, F.; Mench, M. Rhizofiltration of a Bordeaux mixture effluent in pilot-scale constructed wetland using Arundo Dunax, L. coupled with potential Cu-ecocatalyst production. Ecol. Eng. 2017, 105, 296–305. [Google Scholar] [CrossRef]
- Ghimici, L.; Constantin, M. Removal of the commercial pesticides Novadim Progress, Bordeaux mixture and Karate Zeon by pullulan derivatives based flocculants. J. Environ. Manag. 2018, 218, 31–38. [Google Scholar] [CrossRef]
- Yan, Y.D.; Glover, S.M.; Jameson, G.J.; Biggs, S. The flocculation efficiency of polydisperse polymer flocculants. Int. J. Miner. Process. 2004, 73, 161–175. [Google Scholar] [CrossRef]
- Kleimann, J.; Gehin-Delval, C.; Auweter, H.; Borkovec, M. Super-stoichiometric charge-neutralization in particle-polyelectrolyte systems. Langmuir 2005, 21, 3688–3698. [Google Scholar] [CrossRef]
- Rosa, F.; Bordado, J.; Casquilho, M. Hydrosoluble Copolymers of Acrylamide-(2-acrylamido-2-methylpropanesulfonic acid). Synthesis and Characterization by Spectroscopy and Viscometry. J. Appl. Polym. Sci. 2003, 87, 192–198. [Google Scholar] [CrossRef]
- Wan, X.; Li, Y.; Wang, X.; Chen, S.; Gu, X. Synthesis of cationic guar gum-graft-polyacrylamide at low temperature and its flocculating properties. Eur. Polym. J. 2007, 43, 3655–3661. [Google Scholar] [CrossRef]
- Quintás, G.; Armenta, S.; Garrigues, S.; de la Guardia, M. Fourier Transform Infrared Determination of Imidacloprid in Pesticide Formulations. J. Braz. Chem. Soc. 2004, 15, 307–312. [Google Scholar] [CrossRef]
- Tomlin, C.D.S. The Pesticide Manual: A World Compendium, 12th ed.; The British Crop Protection Council: Surrey, UK, 2000. [Google Scholar]
- Sharma, D.; Nagpal, A.; Pakade, Y.B.; Katnoria, J.K. Analytical methods for estimation of organophosphorus pesticide residues in fruits and vegetables: A review. Talanta 2010, 82, 1077–1089. [Google Scholar] [CrossRef]
- Momić, T.; Pašti, T.L.; Bogdanović, U.; Vodnik, V.; Mraković, A.; Rakočević, Z.; Pavlović, V.B.; Vasić, V. Adsorption of Organophosphate Pesticide Dimethoate on Gold Nanospheres and Nanorods. J. Nanomater. 2016, 2016, 8910271. [Google Scholar] [CrossRef]
- O’Brien, R.D.; Wolfe, L.S. Radiation, Radioactivity and Insects; Academic Press: New York, NY, USA, 1964. [Google Scholar] [CrossRef]








| Polymer | p (g) | APTAC (·10−2 mol) | KPS (·10−2 mol) | Product | Mw 2 × 10−3 (g·mol−1) | [η] 3 Rao (mL·g−1) | |
|---|---|---|---|---|---|---|---|
| pAPTAC (wt %) | Graft Ratio 1 (%) | ||||||
| P-g-pAPTAC1 | 1.0 | 0.487 | 0.0369 | 22.53 | 29.09 | 13.81 | 67 |
| P-g-pAPTAC2 | 1.0 | 0.967 | 0.0369 | 29.05 | 40.94 | 21.13 | 500 |
| P-g-pAPTAC3 | 1.0 | 0.487 | 0.0924 | 34.51 | 52.69 | 33.28 | 77 |
| Pesticide | Chemical Structure | Chemical Composition (wt %) | Dispersion Concentration (c%, w/w) | Zeta Potential (ζ), mV | λ (nm) | pH |
|---|---|---|---|---|---|---|
| BM | - | (20% copper as copper sulfate) | 0.05 0.025 | −20 | 652 | 7 |
| CO | ![]() | Imidacloprid: 4 g·L−1 | 0.1 | −29.3 | 269 | 5 |
| DC1 | ![]() | Deltamethrin: 50 g·L−1; solvent naphtha (petroleum), heavy arom. | 0.04 0.02 0.01 | −28.2 | 267 | 5 |
| CE | - | Imidacloprid: 75 g·L−1 Deltametrin: 10 g·L−1 | 0.03 0.02 0.01 | −29.9 | 270 | 5 |
| NP1 | ![]() | Dimethoate: 400 g·L−1; solvent cyclohexanone, xylened) | 0.7 0.5 | −35.3 | 601 | 4.5 |
| Polymer Sample | CO | Dc | ||||
|---|---|---|---|---|---|---|
| doseop, mg L−1 | Zeta Potential (ζ), mV | Removal Efficiency (%) | doseop, mg L−1 | Zeta Potential (ζ), mV | Removal Efficiency (%) | |
| P-g-pAPTAC1 | 1.0 | −4.8 | 84.5 | 1.4 | −5.2 | 85.5 |
| P-g-pAPTAC2 | 1.0 | +4.5 | 88 | 1.4 | +4.5 | 87.7 |
| P-g-pAPTAC3 | 0.6 | −0.88 | 89 | 1 | +0.2 | 89.5 |
| Polymer Sample | BM | Dc | CE | NP | ||||
|---|---|---|---|---|---|---|---|---|
| Dispersion Concentration (c%, w/w) | doseop, mg·L−1 | Dispersion Concentration (c%, v/v) | doseop, mg·L−1 | Dispersion Concentration (c%, w/w) | doseop, mg·L−1 | Dispersion Concentration (c%, v/v) | doseop, mg·L−1 | |
| P-g-pAPTAC2 | 0.05 | 14 | 0.04 | 1.6 | 0.03 | 2.2 | 0.7 | 30 |
| 0.025 | 10 | 0.02 | 1.4 | 0.02 | 2 | 0.5 | 20 | |
| 0.01 | 0.8 | 0.01 | 1.6 | |||||
| P-g-pAPTAC3 | 0.05 | 8 | - | - | 0.03 | 2 | 0.7 | 18 |
| 0.025 | 6 | - | - | 0.02 | 1.4 | 0.5 | 14 | |
| 0.01 | 1 | |||||||
Publisher’s Note: MDPI stays neutral with regard to jurisdictional claims in published maps and institutional affiliations. |
© 2022 by the authors. Licensee MDPI, Basel, Switzerland. This article is an open access article distributed under the terms and conditions of the Creative Commons Attribution (CC BY) license (https://creativecommons.org/licenses/by/4.0/).
Share and Cite
Ghimici, L.; Constantin, M.; Nafureanu, M.-M. Grafted Pullulan Derivatives for Reducing the Content of Some Pesticides from Simulated Wastewater. Polymers 2022, 14, 2663. https://doi.org/10.3390/polym14132663
Ghimici L, Constantin M, Nafureanu M-M. Grafted Pullulan Derivatives for Reducing the Content of Some Pesticides from Simulated Wastewater. Polymers. 2022; 14(13):2663. https://doi.org/10.3390/polym14132663
Chicago/Turabian StyleGhimici, Luminita, Marieta Constantin, and Maria-Magdalena Nafureanu. 2022. "Grafted Pullulan Derivatives for Reducing the Content of Some Pesticides from Simulated Wastewater" Polymers 14, no. 13: 2663. https://doi.org/10.3390/polym14132663
APA StyleGhimici, L., Constantin, M., & Nafureanu, M.-M. (2022). Grafted Pullulan Derivatives for Reducing the Content of Some Pesticides from Simulated Wastewater. Polymers, 14(13), 2663. https://doi.org/10.3390/polym14132663




