Isothermal and Non-Isothermal Crystallization Kinetics of Poly(ethylene chlorotrifluoroethylene)
Abstract
:1. Introduction
2. Experimental
2.1. Raw Materials
2.2. Experimental Details
3. Results and Discussion
3.1. Isothermal Crystallization Properties of ECTFE
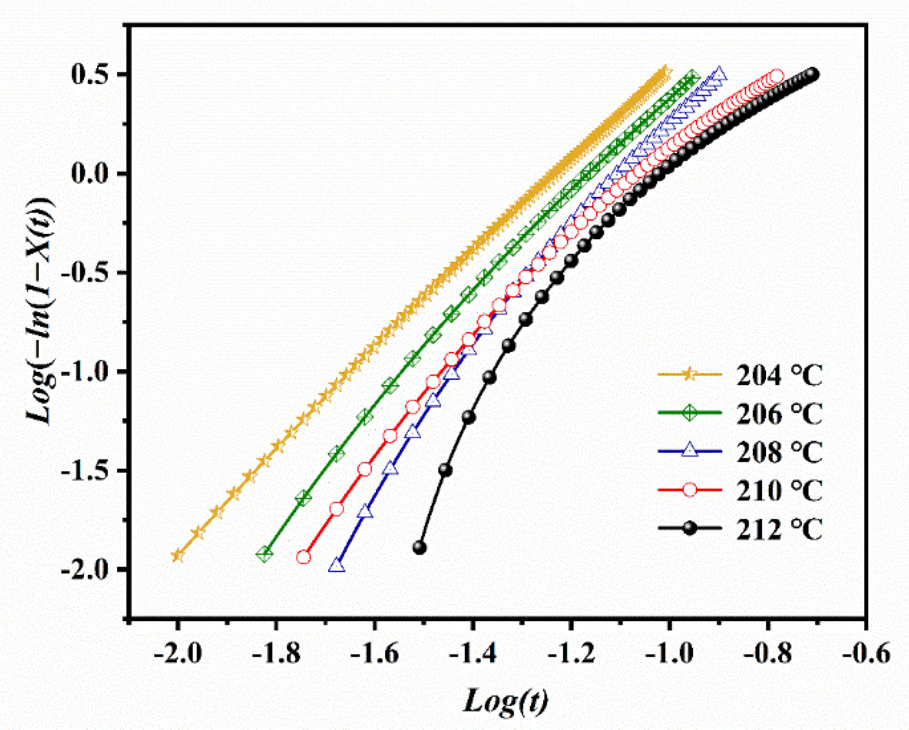
3.1.1. The Isothermal Crystallization Kinetics Analyzed Using the Avrami Equation
3.1.2. The Kinetics of Spherulitic Growth for ECTFE
3.2. Non-Isothermal Crystallization Properties of ECTFE
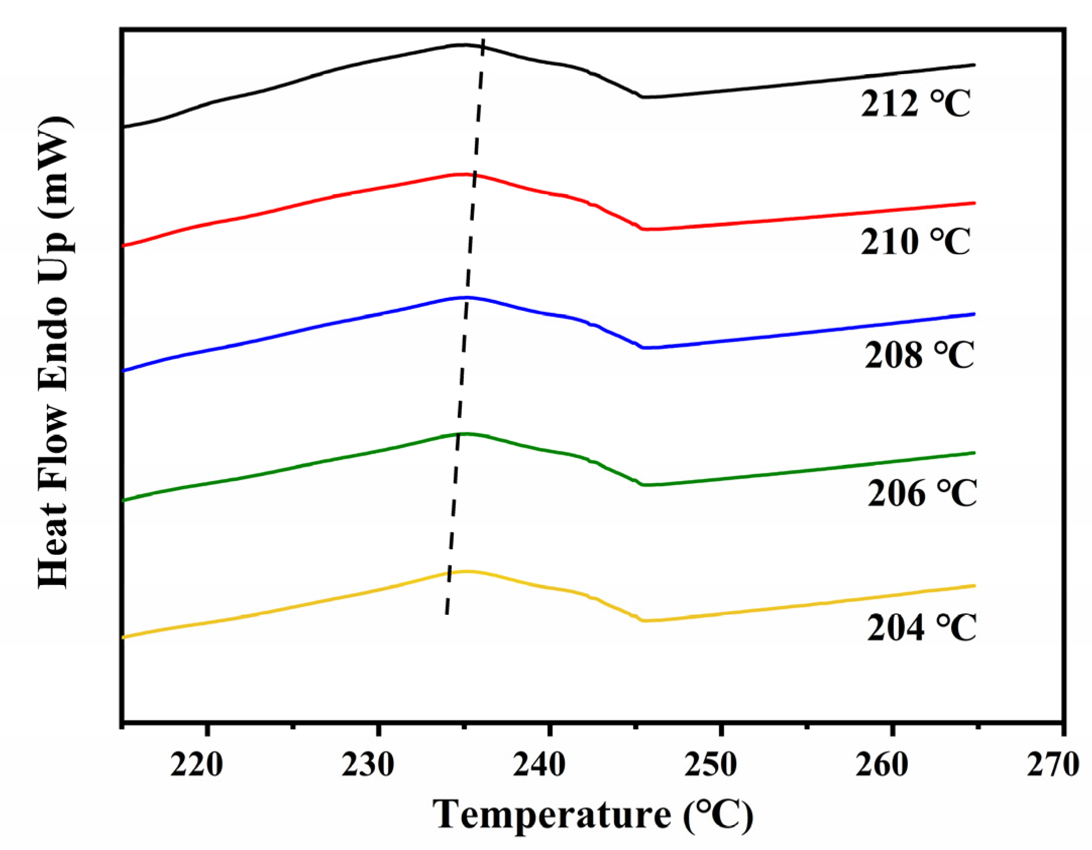
3.2.1. Polarized-Light Microscopy (POM) Reveals the Morphology of ECTFE Spherulites Formed during Non-Isothermal Crystallization
3.2.2. Wide-Angle X-ray Diffraction (XRD) Confirm Hexagonal Crystal System for ECTFE
3.3. Non-Isothermal Crystallization Kinetics of ECTFE
3.3.1. Analysis of Non-Isothermal Crystallization Kinetics of ECTFE Using the Avrami Model Modified by Jeziorny
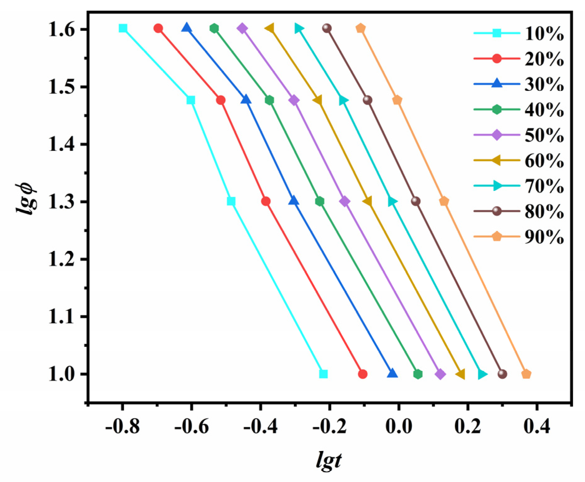
3.3.2. Non-Isothermal Crystallization Kinetics Based on Ozawa Model
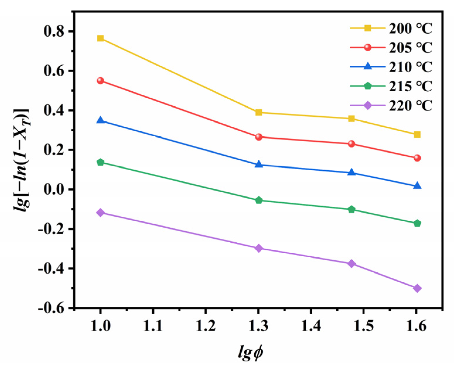
3.3.3. Non-Isothermal Crystallization Kinetics Based on Mo Model
3.3.4. Crystallization Activation Energy (ΔE)
4. Conclusions
Author Contributions
Funding
Data Availability Statement
Conflicts of Interest
References
- Randová, A.; Bartovská, L.; Pilnáček, K.; Lanč, M.; Vopička, O.; Matějka, P.; Izák, P.; Kárászová, M.; Macedonio, F.; Figoli, A.; et al. Sorption of organic liquids in poly (ethylene chlorotrifluoroethylene) Halar® 901: Experimental and theoretical analysis. Polym. Test. 2017, 58, 199–207. [Google Scholar] [CrossRef]
- Gryta, M. The study of performance of polyethylene chlorinetrifluoroethylene membranes used for brine desalination by membrane distillation. Desalination 2016, 398, 52–63. [Google Scholar] [CrossRef]
- Abdel-Hamed, M.O. Styrene grafted ethylene chlorotrifluoroethylene (ECTFE-g-PSSA) protonic membranes: Preparation, characterization, and transport mechanism. Polym. Adv. Technol. 2017, 29, 658–667. [Google Scholar] [CrossRef]
- Falbo, F.; Santoro, S.; Galiano, F.; Simone, S.; Davoli, M.; Drioli, E.; Figoli, A. Organic/organic mixture separation by using novel ECTFE polymeric pervaporation membranes. Polymer 2016, 98, 110–117. [Google Scholar] [CrossRef]
- Rathi, S.R.; Ng, D.; Coughlin, E.B.; Hsu, S.L.; Golub, C.S.; Ling, G.H.; Tzivanis, M.J. Effects of Molecular Architecture on the Stereocomplex Crystallization in Poly(lactic acid) Blends. Chem. Phys. 2014, 215, 320–326. [Google Scholar] [CrossRef]
- Zamyshlyaeva, O.A.; Shipov, A.G.; Kramarova, E.P.; Negrebetsky, V.V.; Shumsky, A.N.; Tandura, S.N.; Baukov, Y.I. Synthesis and some chemical properties of 4-aza-2, 2-dimethyl-4-R-1-oxa-2-silabenzocycloheptan-5-ones. Chem. Heterocycl. Compd. 2002, 1, 127–139. Available online: https://www.researchgate.net/publication/298052762 (accessed on 24 May 2022).
- Yao, N.; Khusid, B.; Sirkar, K.K.; Dehn, D.J. Nanoparticle filtration through microporous ECTFE membrane in an alcoholic solution. Sep. Purif. Technol. 2019, 210, 754–763. [Google Scholar] [CrossRef]
- Ursino, C.; Simone, S.; Donato, L.; Santoro, S.; De Santo, M.P.; Drioli, E.; Di Nicolò, E.; Figoli, A. ECTFE membranes produced by non-toxic diluents for organic solvent filtration separation. RSC Adv. 2016, 6, 81001–81012. [Google Scholar] [CrossRef]
- Santoro, S.; Drioli, E.; Figoli, A. Development of novel ECTFE coated PP composite hollow-fiber membranes. Coatings 2016, 6, 40. [Google Scholar] [CrossRef] [Green Version]
- Zhou, B.; Li, Q.; Tang, Y.; Lin, Y.; Wang, X. Preparation of ECTFE membranes with bicontinuous structure via TIPS method by a binary diluent. Desalin. Water Treat. 2016, 57, 17646–17657. [Google Scholar] [CrossRef]
- Simone, S.; Figoli, A.; Santoro, S.; Galiano, F.; Alfadul, S.M.; Al-Harbi, O.A.; Drioli, E. Preparation and characterization of ECTFE solvent resistant membranes and their application in pervaporation of toluene/water mixtures. Sep. Purif. Technol. 2012, 90, 147–161. [Google Scholar] [CrossRef]
- Yang, C.; El Rassi, Z. Capillary electrochromatography with segmented capillaries for controlling electroosmotic flow. Electrophoresis 1999, 20, 18–23. [Google Scholar] [CrossRef]
- Bosh, N.; Deggelmann, L.; Blattert, C.; Mozaffari, H.; Müller, C. Synthesis and characterization of Halar® polymer coating deposited on titanium substrate by electrophoretic deposition process. Stud. Surf. Sci. Catal. 2018, 347, 369–378. [Google Scholar] [CrossRef]
- Anari, Z.; Sengupta, A.; Wickramasinghe, S.R. Surface oxidation of ethylenechlorotrifluoroethylene (ECTFE) membrane for the treatment of real produced water by membrane distillation. Int. J. Environ. Res. Public Health 2018, 15, 1561. [Google Scholar] [CrossRef] [PubMed] [Green Version]
- Pan, J.; Chen, K.; Cui, Z.; Bamaga, O.; Albeirutty, M.; Alsaiari, A.O.; Drioli, E. Preparation of ECTFE Porous Membrane for Dehumidification of Gaseous Streams through Membrane Condenser. Membranes 2022, 12, 65. [Google Scholar] [CrossRef]
- Alicea-Maldonado, R.; Colón, L.A. Capillary electrochromatography using a fluoropolymer as the chromatographic support material. Electrophoresis 1999, 20, 37–42. [Google Scholar] [CrossRef]
- Piorkowska, E.; Galeski, A.; Haudin, J.M. Critical assessment of overall crystallization kinetics theories and predictions. Prog. Polym. Sci. 2006, 31, 549–575. [Google Scholar] [CrossRef]
- Lu, X.F.; Hay, J.N. Isothermal crystallization kinetics and melting behaviour of poly (ethylene terephthalate). Polymer 2001, 42, 9423–9431. [Google Scholar] [CrossRef]
- Liu, M.; Zhao, Q.; Wang, Y.; Zhang, C.; Mo, Z.; Cao, S. Melting behaviors, isothermal and non-isothermal crystallization kinetics of nylon 1212. Polymer 2003, 44, 2537–2545. [Google Scholar] [CrossRef]
- Faleiros, A.C.; Rabelo, T.N.; Thim, G.P.; Oliveira, M.A.S. Kinetics of phase change. Mater. Res. 2000, 3, 51–60. Available online: http://old.scielo.br/scielo.php?script=sci_arttext&pid=S1516-14392000000300002 (accessed on 6 May 2022). [CrossRef] [Green Version]
- Avrami, M. Kinetics of phase change. I General theory. J. Chem. Phys. 1939, 7, 1103–1112. [Google Scholar] [CrossRef]
- Maffezzoli, A.; Kenny, J.; Torre, L. On the physical dimensions of the Avrami constant. Thermochim. Acta 1995, 269, 185–190. [Google Scholar] [CrossRef]
- Zhou, Y.G.; Wu, W.B.; Lu, G.Y.; Zou, J. Isothermal and non-isothermal crystallization kinetics and predictive modeling in the solidification of poly (cyclohexylene dimethylene cyclohexanedicarboxylate) melt. J. Elastom. Plast. 2017, 49, 132–156. [Google Scholar] [CrossRef]
- Tseng, C.H.; Tsai, P.S. The Isothermal and Nonisothermal Crystallization Kinetics and Morphology of Solvent-Precipitated Nylon 66. Polymers 2022, 14, 442. [Google Scholar] [CrossRef]
- Zhang, S.J.; Tang, Y.W.; Yang, X.L.; Cheng, L.H. Study on the Isothermal Crystallization Kinetics of Polyvinyl Pyrrolidone/Polyamide 6 Blends. Adv. Mater. Res. 2012, 557–559, 1487–1491. [Google Scholar] [CrossRef]
- Cui, X.; Qing, S.; Yan, D. Isothermal and nonisothermal crystallization kinetics of novel odd–odd polyamide 9 11. Eur. Polym. J. 2005, 41, 3060–3068. [Google Scholar] [CrossRef]
- Somsunan, R.; Mainoiy, N. Isothermal and non-isothermal crystallization kinetics of PLA/PBS blends with talc as nucleating agent. J. Therm. Anal. Calorim. 2020, 139, 1941–1948. Available online: https://linkspringer.53yu.com/article/10.1007/s10973-019-08631-9#citeas (accessed on 6 May 2022). [CrossRef]
- Lin, C.C. The rate of crystallization of poly (ethylene terephthalate) by differential scanning calorimetry. Polym. Eng. Sci. 1983, 23, 113–116. [Google Scholar] [CrossRef]
- Hoffman, J.D.; Weeks, J.J. Melting process and the equilibrium melting temperature of polychlorotrifluoroethylene. J. Res. Natl. Bur. Stand. Sect. A 1962, 66, 13–28. [Google Scholar] [CrossRef]
- Lauritzen, J.I., Jr.; Hoffman, J.D. Extension of theory of growth of chain-folded polymer crystals to large undercoolings. J. Appl. Phys. 1973, 44, 4340–4352. [Google Scholar] [CrossRef]
- Zhong, Z.; Guo, Q. Crystallization kinetics of crosslinkable polymer complexes of novolac resin and poly (ethylene oxide). J Polym. Sci. B Polym. Phys. 1999, 37, 2726–2736. [Google Scholar] [CrossRef]
- Hoffman, J.D.; Miller, R.L. Kinetic of crystallization from the melt and chain folding in polyethylene fractions revisited: Theory and experiment. Polymer 1997, 38, 3151–3212. [Google Scholar] [CrossRef]
- Arrhenius, S. Über die Reaktionsgeschwindigkeit bei der Inversion von Rohrzucker durch Säuren. Z. Phys. Chem. 1889, 4, 226–248. [Google Scholar] [CrossRef] [Green Version]
- Pan, J.; Xiao, C.F.; Zhao, J.; Huang, Q.L.; Ren, Q. Crystalline Structures and Properties of Uniaxial Oriented Poly(ethylene chlorotrifluoroethylene) Fiber. J. Mater. Eng. 2016, 44, 73–77. [Google Scholar] [CrossRef]
- Laschet, G.; Spekowius, M.; Spina, R.; Hopmann, C. Multiscale simulation to predict microstructure dependent effective elastic properties of an injection molded polypropylene component. Mech. Mater. 2017, 105, 123–137. [Google Scholar] [CrossRef]
- Shimizu, J.; Okui, N.; Tamaki, S.; Imai, Y.; Takaku, A. High speed melt spinning of nylon 66 fine structute and mechanical properties of fibers. Sen-I Gakkaishi 1985, 41, T101–T108. [Google Scholar] [CrossRef] [Green Version]
- Li, G.; Mu, X.; Fan, S.; Ren, X. Study on the non-isothermal melt crystallization kinetics of PTT/PBT blends. J. Macromol. Sci. B 2009, 48, 684–695. [Google Scholar] [CrossRef]
- Ziabicki, A.; Jarecki, L. Crystallization-controlled limitations of melt spinning. J. Appl. Polym. Sci. 2007, 105, 215–223. [Google Scholar] [CrossRef]
- Eltahir, Y.A.; Saeed, H.A.; Yuejun, C.; Xia, Y.; Yimin, W. Parameters characterizing the kinetics of the non-isothermal crystallization of polyamide 5, 6 determined by differential scanning calorimetry. J. Polym. Eng. 2014, 34, 353–358. [Google Scholar] [CrossRef]
- Qu, D.; Gao, H.; Wang, Q.; Bai, Y.; Li, N. Non-isothermal crystallization kinetics of bio-based poly (butylene-co-isosorbide succinate) (PBIS). J. Therm. Anal. Calorim. 2020, 139, 1931–1939. [Google Scholar] [CrossRef]
- Saad, G.R.; Elsawy, M.A.; Aziz, M.S.A. Nonisothermal crystallization behavior and molecular dynamics of poly (lactic acid) plasticized with jojoba oil. J. Therm. Anal. Calorim. 2017, 128, 211–223. [Google Scholar] [CrossRef]
- Jeziorny, A. Parameters characterizing the kinetics of the non-isothermal crystallization of poly (ethylene terephthalate) determined by DSC. Polymer 1978, 19, 1142–1144. [Google Scholar] [CrossRef]
- Chen, S.; Jin, J.; Zhang, J. Non-isothermal crystallization behaviors of poly (4-methyl-pentene-1). J. Therm. Anal. Calorim. 2011, 103, 229–236. [Google Scholar] [CrossRef]
- Chen, S.; Xie, S.; Guang, S.; Bao, J.; Zhang, X.; Chen, W. Crystallization and Thermal Behaviors of Poly (ethylene terephthalate)/Bisphenols Complexes through Melt Post-Polycondensation. Polymers 2020, 12, 3053. [Google Scholar] [CrossRef]
- Ozawa, T. Kinetics of non-isothermal crystallization. Polymer 1971, 12, 150–158. [Google Scholar] [CrossRef]
- Li, Y.; Duan, L.; Cheng, L.; Yang, Y.; Li, Y.; Cheng, Y.; Song, D. Thermal analysis and crystallization kinetics of polyurethane. J. Therm. Anal. Calorim. 2019, 135, 2843–2848. [Google Scholar] [CrossRef]
- Liu, T.; Mo, Z.; Zhang, H. Nonisothermal crystallization behavior of a novel poly (aryl ether ketone): PEDEKmK. J. Appl. Polym. Sci. 1998, 67, 815–821. [Google Scholar] [CrossRef]
- Kissinger, H.E. Variation of peak temperature with heating rate in differential thermal analysis. J. Res. Natl. Bur. Stand. 1956, 57, 217–221. [Google Scholar] [CrossRef]
- Deslauriers, P.J.; McDaniel, M.P. Short chain branching profiles in polyethylene from the Phillips Cr/silica catalyst. J. Polym. Sci. Pol. Chem. 2007, 45, 3135–3149. [Google Scholar] [CrossRef]


















| Tc (°C) | N | logZt | r2 | t1/2 (min) | tmax (min) | G (min−1) | U* (J/mol) |
|---|---|---|---|---|---|---|---|
| 204 | 2.40 | 2.95 | 0.99 | 0.051 | 0.047 | 19.61 | 2216.53 |
| 206 | 2.63 | 3.05 | 0.99 | 0.060 | 0.058 | 16.67 | 2220.81 |
| 208 | 2.97 | 3.25 | 0.99 | 0.071 | 0.070 | 14.08 | 2225.08 |
| 210 | 2.34 | 2.43 | 0.98 | 0.078 | 0.072 | 12.82 | 2229.32 |
| 212 | 2.45 | 2.39 | 0.95 | 0.091 | 0.085 | 10.99 | 2233.55 |
| Cooling Rate (°C/min) | Ti (°C) | Tp (°C) | Te (°C) | ΔHc (J/g) | Xc (%) |
|---|---|---|---|---|---|
| 10 | 234.01 | 226.97 | 202.87 | 21.82 | 54.55 |
| 20 | 231.31 | 224.71 | 204.76 | 20.95 | 52.37 |
| 30 | 230.05 | 222.82 | 206.75 | 19.32 | 48.30 |
| 40 | 229.86 | 221.27 | 206.93 | 18.89 | 47.23 |
| φ/(°C/min) | t1/2 (min) | N | logZt | Zc | r2 |
|---|---|---|---|---|---|
| 10 | 1.320 | 3.37 | −0.23 | 0.95 | 0.988 |
| 20 | 0.697 | 3.10 | 0.48 | 1.06 | 0.981 |
| 30 | 0.497 | 2.63 | 0.64 | 1.05 | 0.979 |
| 40 | 0.351 | 1.64 | 0.57 | 1.03 | 0.981 |
| T/℃ | m | r2 | |
|---|---|---|---|
| 200 | 0.79 | 1.51 | 0.874 |
| 205 | 0.64 | 1.16 | 0.905 |
| 210 | 0.54 | 0.87 | 0.940 |
| 215 | 0.50 | 0.63 | 0.966 |
| 220 | 0.61 | 0.50 | 0.976 |
| α | r2 | ||
|---|---|---|---|
| 10 | 1.06 | 6.09 | 0.97 |
| 20 | 1.04 | 7.97 | 0.98 |
| 30 | 1.03 | 9.74 | 0.99 |
| 40 | 1.04 | 11.58 | 0.99 |
| 50 | 1.07 | 13.60 | 0.99 |
| 60 | 1.10 | 15.99 | 0.99 |
| 70 | 1.15 | 18.93 | 0.99 |
| 80 | 1.19 | 22.90 | 0.99 |
| 90 | 1.26 | 29.26 | 0.99 |
Publisher’s Note: MDPI stays neutral with regard to jurisdictional claims in published maps and institutional affiliations. |
© 2022 by the authors. Licensee MDPI, Basel, Switzerland. This article is an open access article distributed under the terms and conditions of the Creative Commons Attribution (CC BY) license (https://creativecommons.org/licenses/by/4.0/).
Share and Cite
Yang, X.; Yu, B.; Sun, H.; Wang, N.; Liu, P.; Feng, J.; Cui, X. Isothermal and Non-Isothermal Crystallization Kinetics of Poly(ethylene chlorotrifluoroethylene). Polymers 2022, 14, 2630. https://doi.org/10.3390/polym14132630
Yang X, Yu B, Sun H, Wang N, Liu P, Feng J, Cui X. Isothermal and Non-Isothermal Crystallization Kinetics of Poly(ethylene chlorotrifluoroethylene). Polymers. 2022; 14(13):2630. https://doi.org/10.3390/polym14132630
Chicago/Turabian StyleYang, Xiaodong, Bin Yu, Hui Sun, Nan Wang, Peng Liu, Jiangli Feng, and Xiaogang Cui. 2022. "Isothermal and Non-Isothermal Crystallization Kinetics of Poly(ethylene chlorotrifluoroethylene)" Polymers 14, no. 13: 2630. https://doi.org/10.3390/polym14132630
APA StyleYang, X., Yu, B., Sun, H., Wang, N., Liu, P., Feng, J., & Cui, X. (2022). Isothermal and Non-Isothermal Crystallization Kinetics of Poly(ethylene chlorotrifluoroethylene). Polymers, 14(13), 2630. https://doi.org/10.3390/polym14132630

