Advanced Research on Polymer Floating Carrier Application in Activated Sludge Reactors
Abstract
:1. Introduction
2. Materials and Methods
2.1. Research Principles
- -
- peptone enzymatic—110 g;
- -
- sodium chloride—68.8 g;
- -
- potassium nitric acid—1.2 g;
- -
- soda ash—16.2 g;
- -
- Biological oxygen demand (BOD5);
- -
- Total suspended solids (TSS);
- -
- Ammonium nitrogen (NH4);
- -
- Nitrites (NO2);
- -
- Nitrates (NO3);
- -
- Dissolved oxygen (DO).
2.2. Bench Description
3. Results and Discussion
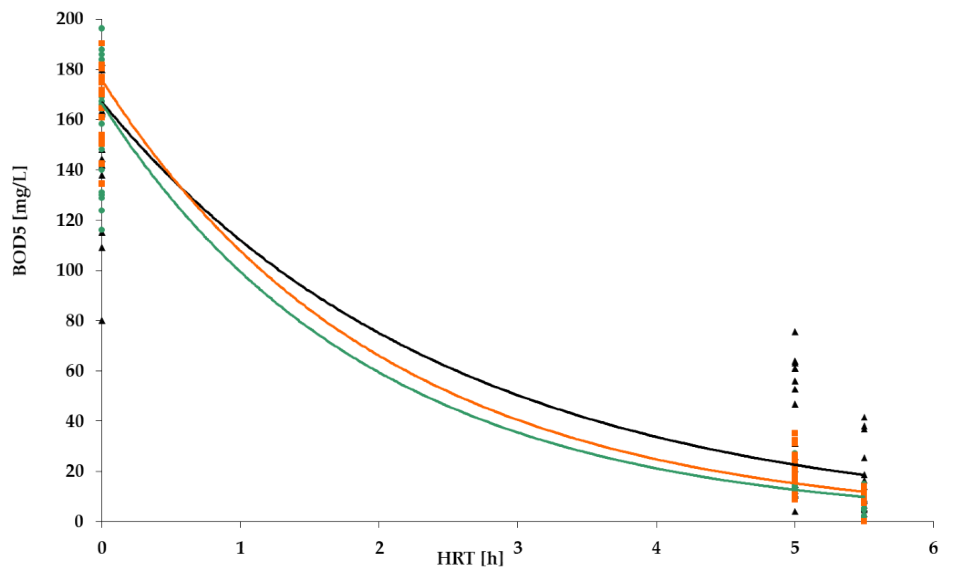
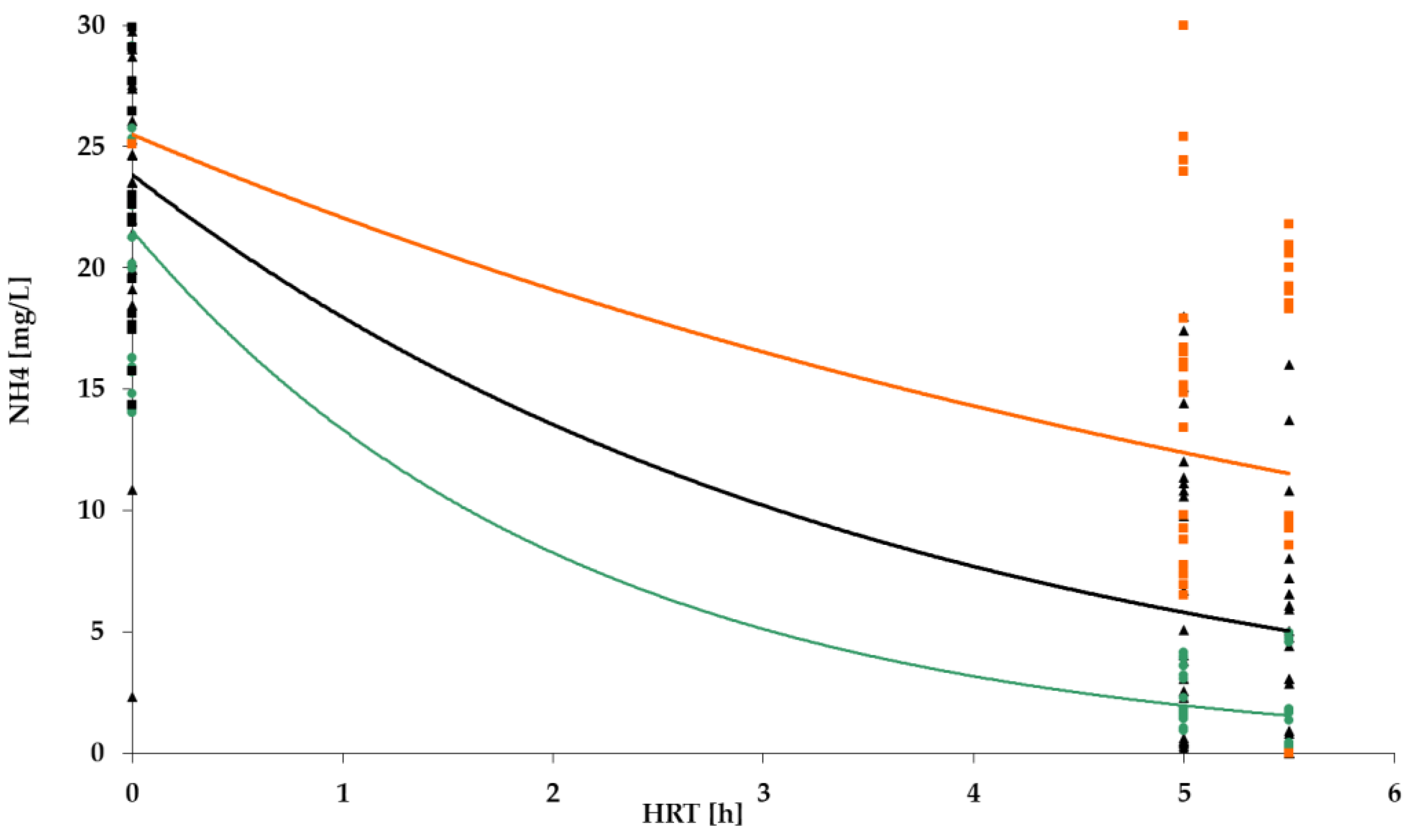
3.1. Stage 1 of the Research
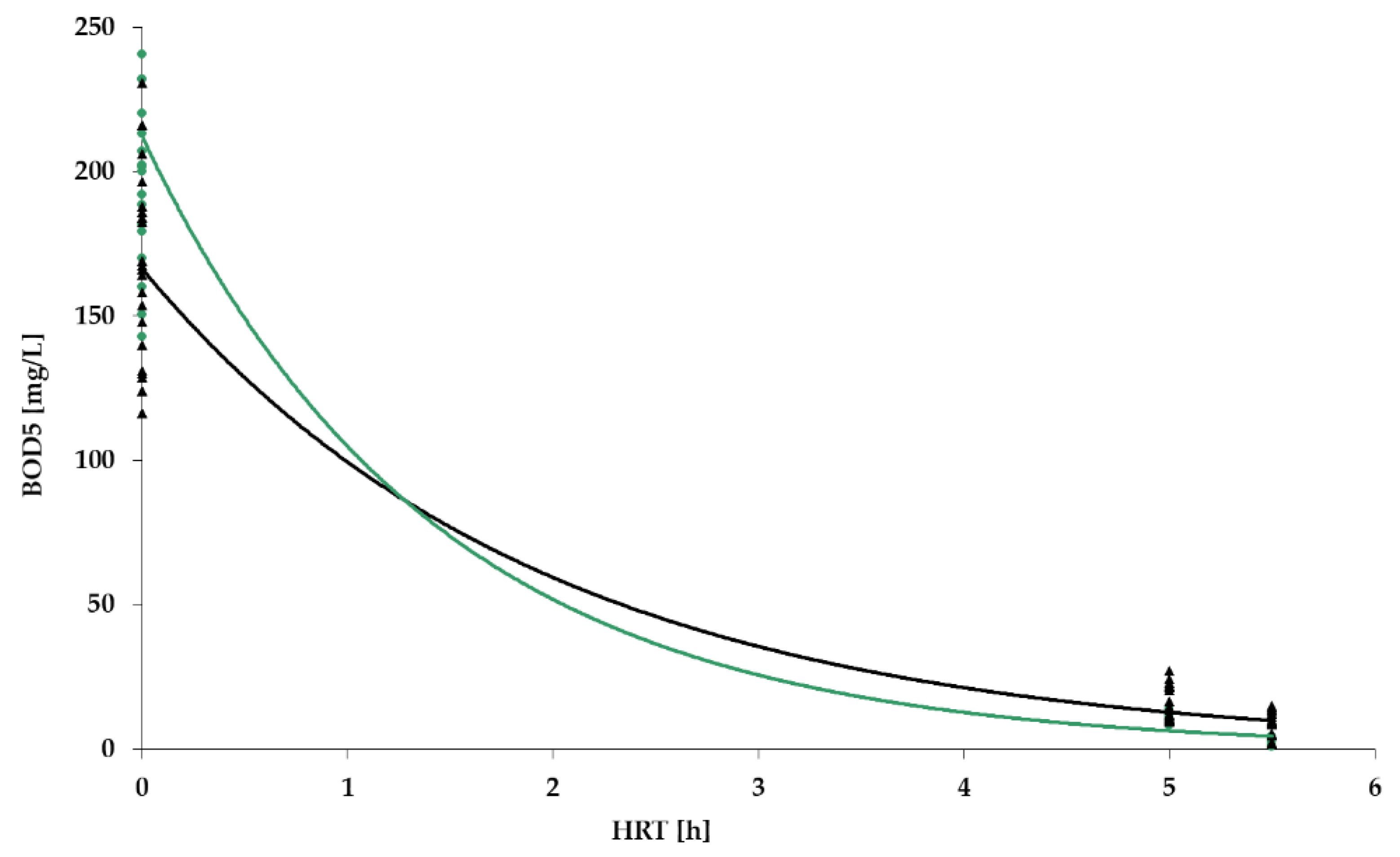
3.2. Stage 2 of the Research
3.3. Stage 3 of the Research
4. Conclusions
- A comparative analysis of the operation in and ASR of three types of floating carriers showed that the highest efficiency was achieved when using the Polyvom material (91% and 89% for BOD and NH4, respectively). The other two FCs, Polystyrene and Bioballs, had comparable carbon removal efficiencies (81% and 88%) but significantly lower ammonium removal efficiencies (74% and 40%). Based on these results, the studies were continued. However, only the Polyvom FC was used in the later stages of the study.
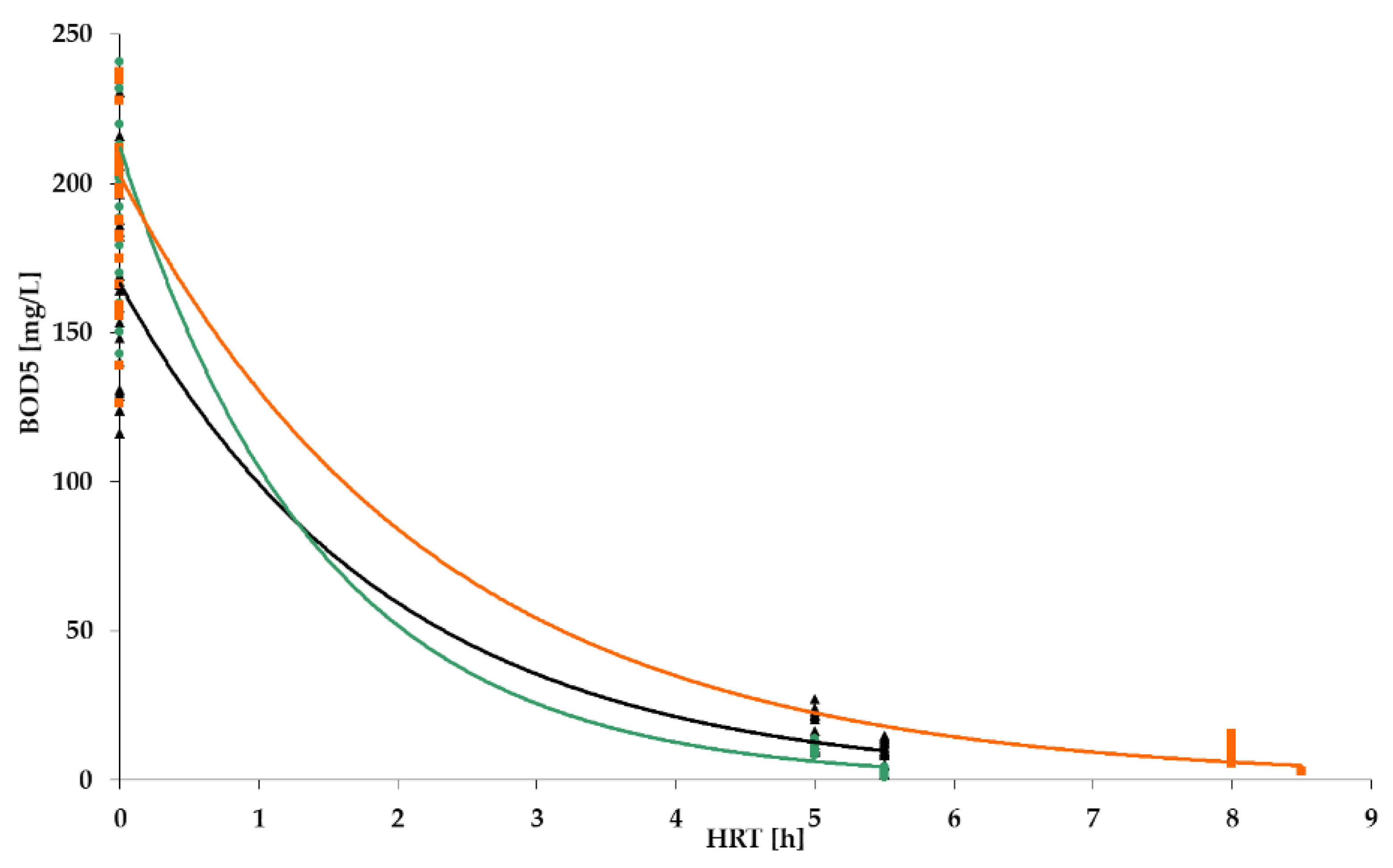
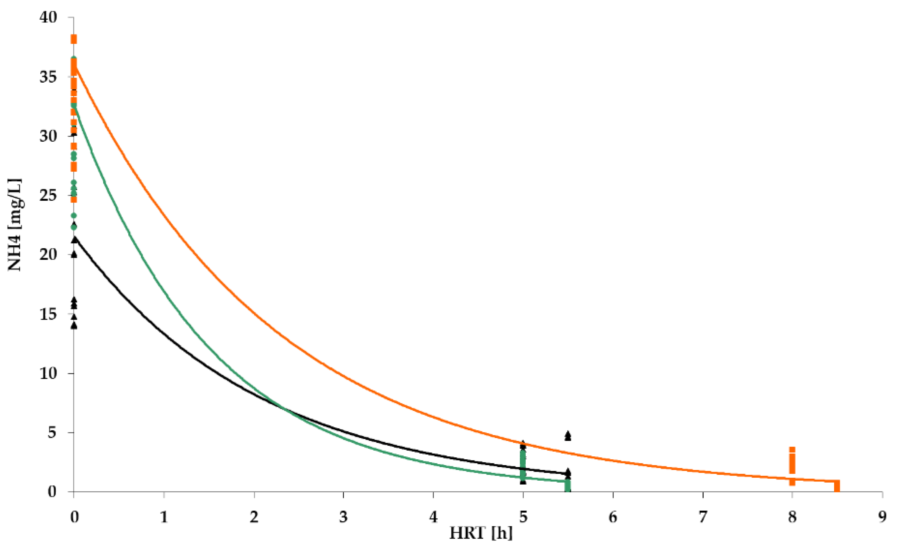
- In stages 2 and 3 of the study, the treatment sequence was modified first by redirecting the RAS flow (to a TF instead of an ASR), and then by changing the hydraulic retention time in the ASR (from 5 to 8 h). The corrections enabled higher efficiency (98 and 99% for BOD and NH4) and improved the purification process stability (particularly nitrification and denitrification). According to the indicators of BOD, NH4, and NO3, the required values of pollution concentrations in discharged wastewater were achieved.
- It should be noted that the indicated treatment efficiency was obtained at low MLSS values (0.3 g/L for free-floating MLSS and 0.9 g/L for immobilized sludge). In the conditions of a real WWTP, such a mode of operation will reduce the costs (necessary facilities, energy consumption, reagents, etc.) for the treatment of excessive activated sludge.
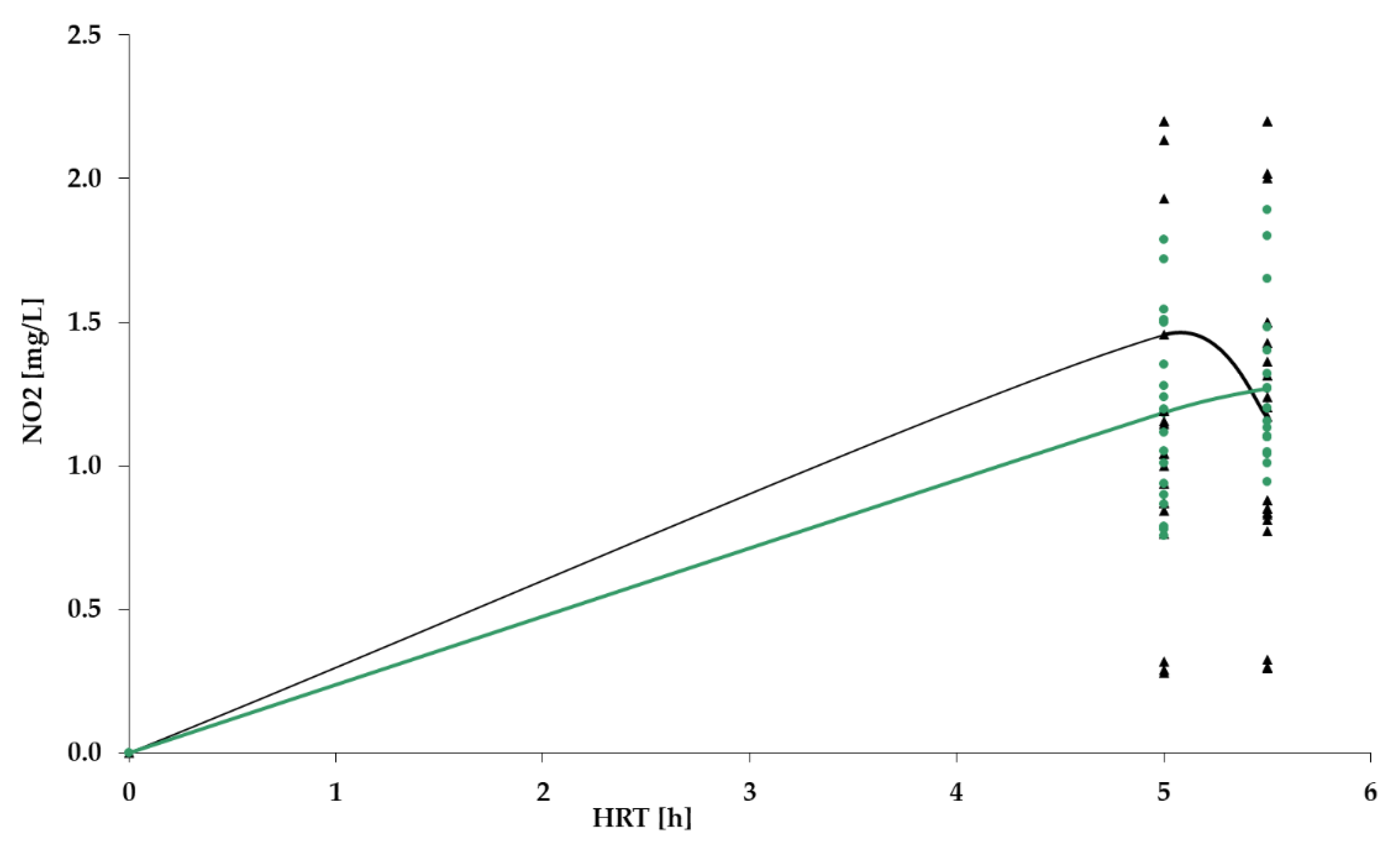
- It is noted that despite the applied changes, it was not possible to achieve the required removal of nitrites from wastewater (1.0 vs. 0.08 mg/L), which is one of the promising areas for further research. In addition, it is of interest to study the work of floating carriers in membrane bioreactors. This combination may, on the one hand, increase the efficiency of cleaning processes; on the other hand, the floating carrier can be considered as a method to mitigate membrane fouling; the removal of the cake layer on the membrane surface occurs due to the friction of the floating carrier on the membrane surface [42,43].
Funding
Institutional Review Board Statement
Informed Consent Statement
Data Availability Statement
Conflicts of Interest
References
- Salehi, M. Global water shortage and potable water safety; Today’s concern and tomorrow’s crisis. Environ. Int. 2022, 128, 106936. [Google Scholar] [CrossRef] [PubMed]
- Li, M.; Cao, X.; Liu, D.; Fu, Q.; Li, T.; Shang, R. Sustainable management of agricultural water and land resources under changing climate and socio-economic conditions: A multi-dimensional optimization approach. Agric. Water Manag. 2022, 259, 107235. [Google Scholar] [CrossRef]
- Kanchanamala Delanka-Pedige, H.M.; Munasinghe-Arachchige, S.P.; Abeysiriwardana-Arachchige, I.S.A.; Nirmala-khandan, N. Evaluating wastewater treatment infrastructure systems based on UN Sustainable Development Goals and targets. J. Clean. Prod. 2021, 298, 126795. [Google Scholar] [CrossRef]
- Yu, J.; Zeng, Y.; Chen, J.; Liao, P.; Yang, H.; Yin, C. Organic phosphorus regeneration enhanced since eutrophication occurred in the sub-deep reservoir. Environ. Pollut. 2022, 306, 119350. [Google Scholar] [CrossRef] [PubMed]
- Zhou, J.; Leavitt, P.R.; Zhang, Y.; Qin, B. Anthropogenic eutrophication of shallow lakes: Is it occasional? Water Res. 2022, 221, 118728. [Google Scholar] [CrossRef]
- Guo, Y.; Xie, C.; Chen, Y.; Urasaki, K.; Qin, Y.; Kubota, K.; Li, Y.-Y. Achieving superior nitrogen removal performance in low-strength ammonium wastewater treatment by cultivating concentrated, highly dispersive, and easily settleable granule sludge in a one-stage partial nitritation/anammox-HAP reactor. Water Res. 2021, 200, 117217. [Google Scholar] [CrossRef]
- Zhou, Q.; Zhang, G.; Zheng, X.; Liu, G. Biological treatment of high NH4+-N wastewater using an ammonia-tolerant photosynthetic bacteria strain (ISASWR2014). Chin. J. Chem. Eng. 2015, 23, 1712–1715. [Google Scholar] [CrossRef]
- Zheng, H.; Gong, X.; Yang, Y.; Yang, J.; Yang, X.; Wu, Z. Concentration of nitrogen as new energy source from wastewater by electrodeionization. Energy Procedia 2017, 142, 1421–1426. [Google Scholar] [CrossRef]
- Ge, S.; Wang, S.; Yang, X.; Qiu, S.; Li, B.; Peng, Y. Detection of nitrifiers and evaluation of partial nitrification for wastewater treatment: A review. Chemosphere 2015, 140, 85–98. [Google Scholar] [CrossRef]
- Xi, H.; Zhou, X.; Arslan, M.; Luo, Z.; Wei, J.; Wu, Z.; El-Din, M.G. Heterotrophic nitrification and aerobic denitrification process: Promising but a long way to go in the wastewater treatment. Sci. Total Environ. 2022, 805, 150212. [Google Scholar] [CrossRef]
- Wang, J.; Chu, L. Biological nitrate removal from water and wastewater by solid-phase denitrification process. Biotechnol. Adv. 2016, 34, 1103–1112. [Google Scholar] [CrossRef] [PubMed]
- Liu, T.; He, X.; Jia, G.; Xu, J.; Quan, X.; You, S. Simultaneous nitrification and denitrification process using novel sur-face-modified suspended carriers for the treatment of real domestic wastewater. Chemosphere 2020, 247, 125831. [Google Scholar] [CrossRef] [PubMed]
- Zhang, S.S.; Zhu, C.; Xia, S.; Li, M. Impact of different running conditions on performance of biofilters treating secondary effluent during start-up. Bioresour. Technol. 2019, 281, 168–178. [Google Scholar] [CrossRef] [PubMed]
- Hanaki, K.; Hong, Z.; Matsuo, T. Production of Nitrous Oxide Gas during Denitrification of Wastewater. Water Sci. Technol. 1992, 26, 1027–1036. [Google Scholar] [CrossRef]
- Lyubchenko, O.A.; Mogilevich, N.F.; Gvozdyak, P.I. Microbial nitrification and water treatment. Chem. Water Technol. 1996, 18, 98–112. [Google Scholar]
- Heme, M. Capabilities of Biological Nitrogen Removal Processes from Wastewater. Water Sci. Technol 1991, 23, 669–679. [Google Scholar]
- Henze, M.; Dupont, R.; Grau, P.; de la Sota, A. Rising sludge in secondary settlers due to denitrification. Water Res. 1993, 27, 231–236. [Google Scholar] [CrossRef]
- McCutcheon, S. Laboratory and Instream Nitrification Rates for Selected Streams. J. Environ. Eng. 1987, 113, 628–646. [Google Scholar] [CrossRef]
- Zinatizadeh, L.A.A.; Ghaytooli, E. Simultaneous nitrogen and carbon removal from wastewater at different operating conditions in a moving bed biofilm reactor (MBBR).Process modeling and optimization. J. Taiwan Inst. Chem. Eng. 2015, 53, 98–111. [Google Scholar] [CrossRef]
- Kristensen, G.H.; Jorgensen, P.E.; Strube, R.; Heme, M. Combined Preprecipitation, Biological Sludge Hydrolysis and Nitrogen Reduction a Pilot-demonstration of Integrated Nutrient Removal. Water Technol. 1992, 26, 1057–1066. [Google Scholar] [CrossRef]
- Chang, M.; Wang, Y.; Pan, Y.; Zhang, K.; Lyu, L.; Wang, M.; Zhu, T. Nitrogen removal from wastewater via simultaneous nitrification and denitrification using a biological folded non-aerated filter. Bioresour. Technol. 2019, 289, 121696. [Google Scholar] [CrossRef] [PubMed]
- Daverey, A.; Pandey, D.; Verma, P.; Verma, S.; Shah, V.; Dutta, K.; Arunachalam, K. Recent advances in energy efficient biological treatment of municipal wastewater. Bioresour. Technol. Rep. 2019, 7, 100252. [Google Scholar] [CrossRef]
- Karpinska, A.M.; Bridgeman, J. CFD-aided modelling of activated sludge systems—A critical review. Water Res. 2016, 88, 861–879. [Google Scholar] [CrossRef] [PubMed] [Green Version]
- Akhoundi, A.; Nazif, S. Sustainability assessment of wastewater reuse alternatives using the evidential reasoning ap-proach. J. Clean. Prod. 2018, 195, 1350–1376. [Google Scholar] [CrossRef]
- Corominas, L.; Foley, J.; Guest, J.; Hospido, A.; Larsen, H.; Morera, S.; Shaw, A. Life cycle assessment applied to wastewater treatment: State of the art. Water Res. 2013, 47, 5480–5492. [Google Scholar] [CrossRef]
- Lorenzo-Toja, Y.; Vázquez-Rowe, I.; Marín-Navarro, D.; Crujeiras, R.M.; Moreira, M.T.; Feijoo, G. Dynamic environmental efficiency assessment for wastewater treatment plants. Int. J. Life Cycle Assess. 2018, 23, 357–367. [Google Scholar] [CrossRef]
- Bando, Y.; Kato, T.; Yasuda, K.; Sakurai, Y.; Nakamura, M. Wastewater Treatment by Anaerobic-Aerobic Activated Sludge Method in Bubble Column with Draft Tube. J. Chem. Eng. Jpn. 1999, 32, 770–775. [Google Scholar] [CrossRef]
- Hubaux, N.; Wells, G.; Morgenroth, E. Impact of coexistence of flocs and biofilm on performance of combined nitrita-tion-anammox granular sludge reactors. Water Res. 2015, 68, 127–139. [Google Scholar] [CrossRef]
- Gujer, W. Design of a nitrifying activated sludge process with the aid of dynamic simulation. In Proceedings of the 8th International Conference, Sydney, Australia, 17–22 October 1976; Volume 98, pp. 323–336. [Google Scholar] [CrossRef]
- Kindaichi, T.; Tsushima, I.; Ogasawara, Y.; Shimokawa, M.; Ozaki, N.; Satoh, H.; Okabe, S. In Situ Activity and Spatial Organization of Anaerobic Ammonium-Oxidizing (Anammox) Bacteria in Biofilms. Appl. Environ. Microbiol. 2007, 73, 4931–4939. [Google Scholar] [CrossRef] [Green Version]
- Liu, T.; Quan, X.; Li, D. Evaluations of biofilm thickness and dissolved oxygen on single stage anammox process in an up-flow biological aerated filter. Biochem. Eng. J. 2017, 119, 20–26. [Google Scholar] [CrossRef]
- Malovanyy, A.; Trela, J.; Plaza, E. Mainstream wastewater treatment in integrated fixed film activated sludge (IFAS) re-actor by partial nitritation/anammox process. Bioresour. Technol. 2015, 198, 478–487. [Google Scholar] [CrossRef] [PubMed]
- Brink, A.; Sheridan, C.; Harding, K. A kinetic study of a mesophilic aerobic moving bed biofilm reactor (MBBR) treating paper and pulp mill effluents: The impact of phenols on biodegradation rates. J. Water Process. Eng. 2017, 19, 35–41. [Google Scholar] [CrossRef]
- Busscher, H.J.; van der Mei, R.; Bos, H.C. Initial microbial adhesion is a determinant for the strength of biofilm adhesion. FEMS Microbiol. Lett. 1995, 128, 229–234. [Google Scholar] [CrossRef] [PubMed]
- Stoodley, P.; Sauer, K.K.; Davies, D.G.; Costerton, J.W. Biofilms as complex differentiated communities. Annu. Rev. Microbiol. 2002, 56, 187–209. [Google Scholar] [CrossRef] [Green Version]
- Chen, S.; Cheng, X.; Zhang, X.; Sun, D. Influence of surface modification of polyethylene biocarriers on biofilm properties and wastewater treatment efficiency in moving-bed biofilm reactors. Water Sci. Technol. 2012, 65, 1021–1026. [Google Scholar] [CrossRef] [PubMed]
- Makisha, N. Application of Biofilm Carrier in Aerobic Reactors as a Method to Improve Quality of Wastewater Treatment. Hydrology 2021, 8, 77. [Google Scholar] [CrossRef]
- Chu, L.L.; Wang, J. Nitrogen removal using biodegradable polymers as carbon source and biofilm carriers in a moving bed biofilm reactor. Chem. Eng. J. 2011, 170, 220–225. [Google Scholar] [CrossRef]
- Liu, S.L.; Xiang, Y.; Zhou, T.; Ma, H.; Shao, Z.; Chai, H. Insight into thiosulfate-driven denitrification and anammox process: Bigger aggregates driving better nitrite utilization on ammonium and nitrate contained wastewater. J. Water Proc. Eng. 2022, 47, 102669. [Google Scholar] [CrossRef]
- Barwal, A.; Chaudhary, R. Impact of carrier filling ratio on oxygen uptake & transfer rate, volumetric oxygen transfer coefficient and energy saving potential in a lab-scale MBBR. J. Water Process. Eng. 2015, 8, 202–208. [Google Scholar] [CrossRef]
- Chen, Y.; Sun, Y.; Zhang, J.; Li, J.; Peng, Y. A novel control strategy to strengthen nitrogen removal from domestic wastewater through eliminating nitrite oxidizing bacteria in a plug-flow process. Bioresour. Technol. 2022, 350, 126856. [Google Scholar] [CrossRef]
- Wang, Z.; Ma, J.; Tang, C.Y.; Kimura, K.; Wang, Q.; Han, X. Membrane cleaning in membrane bioreactors: A review. J. Membr. Sci. 2014, 468, 276–307. [Google Scholar] [CrossRef]
- Mirbagheri, S.A.; Bagheri, M.; Bagheri, Z.; Kamarkhani, A.M. Evaluation and prediction of membrane fouling in a sub-merged membrane bioreactor with simultaneous upward and downward aeration using artificial neural network-genetic algorithm. Process. Saf. Environ. Prot. 2015, 96, 111–124. [Google Scholar] [CrossRef]





















| Type of FC | Mean Values [mg/L] | MLSS | ||||||
|---|---|---|---|---|---|---|---|---|
| BOD5 | NH4 | [g/L] | ||||||
| In | Out | Eff % | In | Out | Eff % | Free | Att. | |
| PS | 162 | 31 | 81 | 23.5 | 6.7 | 74 | 0.84 | 0.2 |
| PV | 164 | 14.6 | 91 | 21.3 | 2.7 | 89 | 0.15 | 0.9 |
| BB | 171 | 21.1 | 88 | 25 | 14 | 40 | 0.4 | 0.3 |
| Mean Values | Stage 1 | Stage 2 | |||
|---|---|---|---|---|---|
| BOD5 | Influent [mg/L] | 164 | 202 | ||
| After ASR [mg/L] | 14 | 10 | |||
| After TF [mg/L] | 6.3 | 2.1 | |||
| Efficiency [%] * | 91 | 96 | 95 | 98 | |
| NH4 | Influent [mg/L] | 21.3 | 31 | ||
| After ASR [mg/L] | 2.3 | 2.1 | |||
| After TF [mg/L] | 1.4 | 0.5 | |||
| Efficiency [%] | 89 | 94 | 93 | 98 | |
| NO2 | After ASR [mg/L] | 1.5 | 1.2 | ||
| After TF [mg/L] | 1.2 | 1.3 | |||
| NO3 | After ASR [mg/L] | 18.7 | 8.0 | ||
| After TF [mg/L] | 16.8 | 20.5 | |||
| MLSS [g/L] | Free floating | 0.15 | 0.3 | ||
| Attached | 0.9 | 0.9 | |||
| Mean Values | Stage 1 | Stage 2 | Stage 3 | ||||
|---|---|---|---|---|---|---|---|
| BOD5 | Influent [mg/L] | 164 | 202 | 197 | |||
| After ASR [mg/L] | 14 | 10.6 | 10.1 | ||||
| After TF [mg/L] | 6.3 | 2.1 | 2.0 | ||||
| Efficiency [%] | 91 | 96 | 95 | 99 | 95 | 99 | |
| NH4 | Influent [mg/L] | 21.3 | 31 | 34 | |||
| After ASR [mg/L] | 2.3 | 2.1 | 2.2 | ||||
| After TF [mg/L] | 1.4 | 0.5 | 0.5 | ||||
| Efficiency [%] | 89 | 94 | 93 | 98 | 94 | 99 | |
| NO2 | After ASR [mg/L] | 1.5 | 1.2 | 1.7 | |||
| After TF [mg/L] | 1.2 | 1.3 | 1.0 | ||||
| NO3 | After ASR [mg/L] | 18.7 | 8.0 | 21.2 | |||
| After TF [mg/L] | 16.8 | 20.5 | 25.1 | ||||
| MLSS [g/L] | Free floating | 0.15 | 0.3 | 0.1 | |||
| Attached | 0.9 | 0.9 | 0.9 | ||||
Publisher’s Note: MDPI stays neutral with regard to jurisdictional claims in published maps and institutional affiliations. |
© 2022 by the author. Licensee MDPI, Basel, Switzerland. This article is an open access article distributed under the terms and conditions of the Creative Commons Attribution (CC BY) license (https://creativecommons.org/licenses/by/4.0/).
Share and Cite
Makisha, N. Advanced Research on Polymer Floating Carrier Application in Activated Sludge Reactors. Polymers 2022, 14, 2604. https://doi.org/10.3390/polym14132604
Makisha N. Advanced Research on Polymer Floating Carrier Application in Activated Sludge Reactors. Polymers. 2022; 14(13):2604. https://doi.org/10.3390/polym14132604
Chicago/Turabian StyleMakisha, Nikolay. 2022. "Advanced Research on Polymer Floating Carrier Application in Activated Sludge Reactors" Polymers 14, no. 13: 2604. https://doi.org/10.3390/polym14132604
APA StyleMakisha, N. (2022). Advanced Research on Polymer Floating Carrier Application in Activated Sludge Reactors. Polymers, 14(13), 2604. https://doi.org/10.3390/polym14132604
