Molecular Dynamics Simulation of Oxidative Aging Effect on Diffusion Behaviors of Oxygen and Cyclohexane in NBR
Abstract
:1. Introduction
2. Simulation Models and Methods
2.1. Construction of the Unaged and Aged NBR Models
2.2. MD Simulation Strategies
3. Results and Discussion
3.1. Fractional Free Volume (FFV)
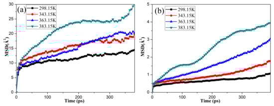
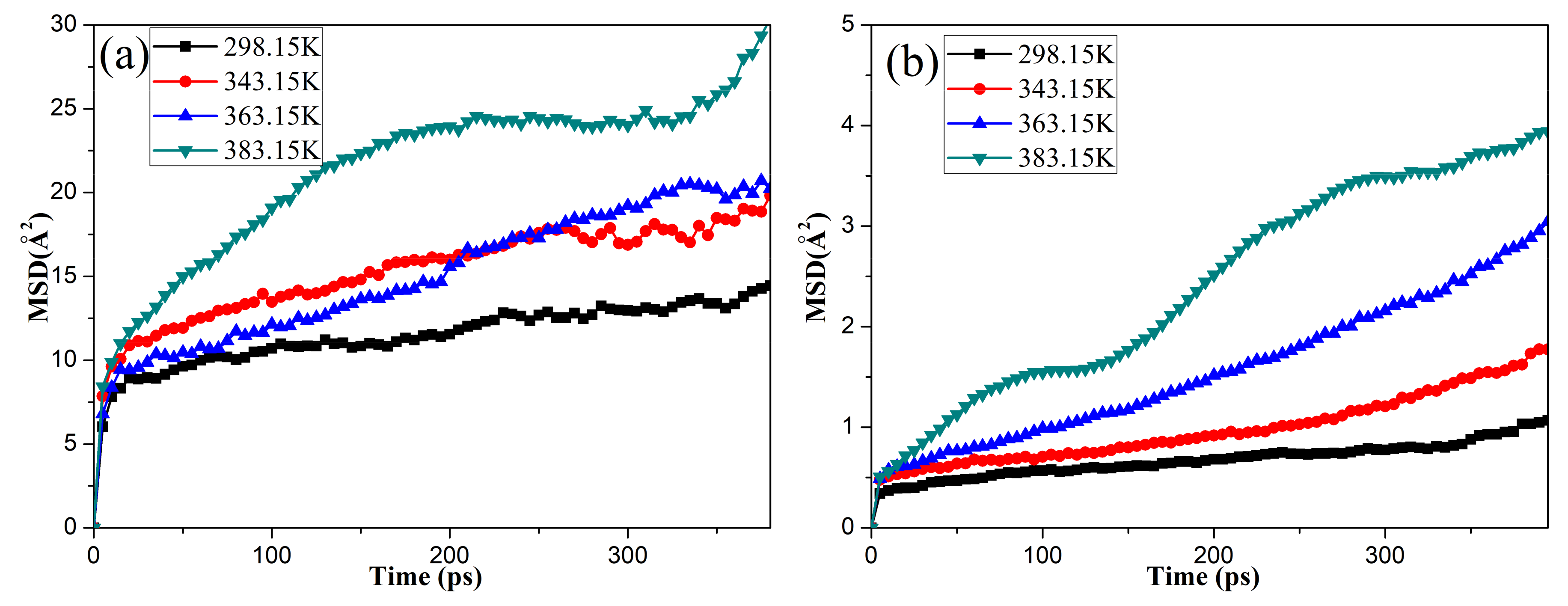
3.2. Mean Square Displacement (MSD) and Self-Diffusion Coefficients of Oxygen
3.3. Trajectory Analysis of Oxygen
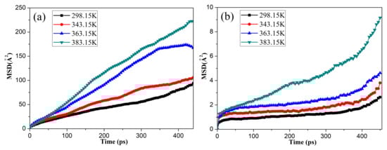
3.4. Mean Square Displacement (MSD) and Self-Diffusion Coefficients of Cyclohexane
3.5. Trajectory Analysis of Cyclohexane
4. Conclusions
- The FFV results indicate that the FFV increased with temperature, while it decreased accompanying the introduction of the compressive strain and the oxidation functional groups in the rubber chains.
- The diffusion behaviors of the oxygen and cyclohexane demonstrate that the high temperature significantly promoted the diffusion of two molecules in the rubber, while the compression deformation seriously restricted the diffusion behavior. Additionally, the larger volume of the cyclohexane molecules displayed the lower diffusion ability compared with the oxygen molecules. The diffusion phenomena of oxygen and cyclohexane in the unaged and aged NBR indicate that the formation of polar oxidation groups in the rubber molecular chains inhibited the diffusion of two molecules, and the hydroxyl groups showed a negative effect. These phenomena indicate that the high temperature contributed to the destruction of the rubber network structure caused by the oxygen molecules, while the compression deformation and the formation of the oxidation functional groups inhibited the damage.
Funding
Institutional Review Board Statement
Informed Consent Statement
Data Availability Statement
Conflicts of Interest
References
- Akhlaghi, S.; Gedde, U.W.; Hedenqvist, M.S.; Braña, M.T.C.; Bellander, M. Deterioration of automotive rubbers in liquid biofuels: A review. Renew. Sustain. Energ. Rev. 2015, 43, 1238–1248. [Google Scholar] [CrossRef]
- Guo, F.; Ahmed, S.; Salehi, S.; Ezeakacha, C.; Teodoriu, C. Experimental investigation of elastomers in downhole seal elements: Implications for safety. Polym. Test. 2019, 76, 350–364. [Google Scholar]
- Hamid, M.; Vahid, M.; Emad, P.; Roozbeh, D. Understanding decay functions and their contribution in modeling of thermal-induced aging of cross-linked polymers. Polym. Degrad. Stab. 2020, 175, 109108. [Google Scholar]
- Guo, F.; Jia, X.; Lv, M.; Wang, L.; Salant, R.F.; Wang, Y. The effect of aging in oil on the performance of a radial lip seal. Tribol. Int. 2014, 78, 187–194. [Google Scholar]
- Grasland, F.; Chazeau, L.; Chenal, J.-M. About thermo-oxidative ageing at moderate temperature of conventionally vulcanized natural rubber. Polym. Degrad. Stab. 2019, 161, 74–84. [Google Scholar] [CrossRef]
- Chen, X.; Zonoz, R.H.; Salem, H.A.; Lim, H.K. Extrusion resistance and high-pressure sealing performance of hydrogenated nitrile-butadiene rubber (HNBR). Polym. Test. 2019, 76, 499–504. [Google Scholar] [CrossRef]
- Zhao, J.; Yang, R.; Iervolino, R.; Vorst, B.V.D.; Barbera, S. The effect of thermo-oxidation on the continuous stress relaxation behavior of nitrile rubber. Polym. Degrad. Stab. 2015, 115, 32–37. [Google Scholar] [CrossRef]
- Wu, J.; Dong, J.; Wang, Y.; Gond, B.K. The failure behavior of rubber O-ring under cyclic exposure to high-pressure hydrogen gas mal oxidation ageing effects on silicone rubber sealing performance. Polym. Degrad. Stab. 2017, 135, 43–53. [Google Scholar] [CrossRef]
- Chen, C.; Jia, Z.; Ye, W.A.; Guan, Z.; Li, Y. Thermo-oxidative aging analysis of HTV silicone rubber used for outdoor insulation. IEEE Trans. Dielectr. Electr. Insul. 2017, 24, 1761–1772. [Google Scholar] [CrossRef]
- Li, B.; Bahadursha, V.R.L.P.; Fatt, M.S.H. Predicting failure in rubber membranes: An experimental-numerical approach. Eng. Fail. Anal. 2018, 90, 404–424. [Google Scholar]
- Ali, F.; Denis, R. Waste rubber recycling: A Review on the evolution and properties of thermoplastic elastomers. Materials 2020, 13, 782. [Google Scholar]
- Liu, J.; Liu, X.; Zhao, J.; Yang, R.; Iervolino, R.; Barbera, S. Effect of lubricating oil on thermal aging of nitrile rubber. Polym. Degrad. Stab. 2018, 151, 136–143. [Google Scholar] [CrossRef]
- Li, X.; Xu, L.; Zhang, P. Investigation of aging behavior and mechanism of nitrile-butadiene rubber (NBR) in the accelerated thermal aging environment. Polym. Test. 2016, 54, 59–66. [Google Scholar] [CrossRef]
- Bhattacharjee, S.; Bhowmick, A.K.; Avasthi, B.N. Degradation of hydrogenated nitrile rubber. Polym. Degrad. Stab. 1991, 31, 71–87. [Google Scholar] [CrossRef]
- Zheng, W.; Zhao, X.; Li, Q.; Chan, T.W.; Zhang, L.; Wu, S. Compressive stress relaxation modeling of butadiene rubber under thermos-oxidative aging. J. Appl. Polym. Sci. 2017, 134, 44630. [Google Scholar] [CrossRef]
- Kömmling, A.; Jaunich, M.; Wolff, D. Effects of heterogeneous aging in compressed HNBR and EPDM O-ring seals. Polym. Degrad. Stab. 2016, 126, 39–46. [Google Scholar] [CrossRef]
- Mitra, S.; Ghanbari-Siahkali, A.; Almdal, K. A novel method for monitoring chemical degradation of crosslinked rubber by stress relaxation under tension. Polym. Degrad. Stab. 2006, 91, 2520–2526. [Google Scholar] [CrossRef]
- Buckley, G.S.; Roland, C.M. Influence of liquid media on lifetime predictions of nitrile rubber. J. Appl. Polym. Sci. 2014, 131, 2928–2935. [Google Scholar] [CrossRef] [Green Version]
- Salehi, S.; Ezeakacha, C.P.; Kwatia, G.; Ahmed, R.; Teodoriu, C. Performance verification of elastomer materials in corrosive gas and liquid conditions. Polym. Test. 2019, 75, 48–63. [Google Scholar] [CrossRef]
- Zeng, D.; He, Q.; Li, T.; Hu, J.; Shi, T.; Zhang, Z.; Yu, Z.; Liu, R. Corrosion mechanism of hydrogenated nitrile butadiene rubber O-ring under simulated wellbore conditions. Corros. Sci. 2016, 107, 145–154. [Google Scholar] [CrossRef]
- Fazal, M.A.; Haseeb, A.S.M.A.; Masjuki, H.H. Degradation of automotive materials in palm biodiesel. Energy 2012, 40, 76–83. [Google Scholar] [CrossRef]
- Tan, J.; Chao, Y.J.; Li, X.; Van Zee, J. Degradation of silicone rubber under compression in a simulated PEM fuel cell environment. J. Power Sources 2007, 172, 782–789. [Google Scholar] [CrossRef]
- Akhlaghi, S.; Hedenqvist, M.S.; Braña, M.T.C.; Bellander, M.; Gedde, U. Deterioration of acrylonitrile butadiene rubber in rapeseed biodiesel. Polym. Degrad. Stab. 2015, 111, 211–222. [Google Scholar] [CrossRef]
- Akhlaghi, S.; Pourrahimi, A.M.; Sjöstedt, C.; Bellander, M.; Hedenqvist, M.; Gedde, U. Degradation of fluoroelastomers in rapeseed biodiesel at different oxygen concentrations. Polym. Degrad. Stab. 2017, 136, 10–19. [Google Scholar] [CrossRef]
- Pan, L.; Tan, J.; Han, X.; Li, P.; Zhang, W. Effects of elevated temperature and crude oil on the properties of a hydrogenated nitrile butadiene rubber elastomer. J. Appl. Polym. Sci. 2016, 133, 44012. [Google Scholar] [CrossRef]
- Coronado, M.; Montero, G.; Valdez, B.; Stoytcheva, M.; Eliezer, A.; García, C.; Campbell, H.; Pérez, A. Degradation of nitrile rubber fuel hose by biodiesel use. Energy 2014, 68, 364–369. [Google Scholar] [CrossRef]
- Wang, Z.; Tan, J.; Wang, Y.; Liu, Z.; Feng, Q. Chemical and mechanical degradation of silicone rubber under two compression loads in simulated proton—Exchange membrane fuel—Cell environments. J. Appl. Polym. Sci. 2019, 136, 47855. [Google Scholar] [CrossRef]
- Lainé, E.; Grandidier, J.C.; Benoit, G.; Omnès, B.; Destaing, F. Effects of sorption and desorption of CO2 on the thermomechanical experimental behavior of HNBR and FKM O-rings—Influence of nanofiller-reinforced rubber. Polym. Test. 2019, 75, 298–311. [Google Scholar] [CrossRef]
- Zhao, C.; Li, J.; Jiang, Z.; Chen, C. Measurement of the infinite dilution diffusion coefficients of small molecule solvents in silicone rubber by inverse gas chromatography. Eur. Polym. J. 2006, 42, 615–624. [Google Scholar] [CrossRef]
- Ling, C.; Liang, X.; Fan, F.; Yang, Z. Diffusion behavior of the model diesel components in different polymer membranes by molecular dynamic simulation. Chem. Eng. Sci. 2012, 84, 292–302. [Google Scholar] [CrossRef]
- Kucukpinar, E.; Doruker, P. Molecular simulations of gas transport in nitrile rubber and styrene butadiene rubber. Polymer 2006, 47, 7835–7845. [Google Scholar] [CrossRef]
- Wang, X.; Zhao, X.; Li, Q.; Chan, T.W.; Wu, S.-Z. Artificial neural network modeling and mechanism study for relaxation of deformed rubber. Ind. Eng. Chem. Res. 2016, 55, 4059–4070. [Google Scholar] [CrossRef]
- Li, Y.; Wu, Y.; Zhang, L.; Wang, X.; Ren, D.; Wu, S. Molecular dynamics simulation of diffusion behavior of cyclohexane in natural rubber during reclamation. J. Appl. Polym. Sci. 2014, 131, 40347. [Google Scholar] [CrossRef]
- Kucukpinar, E.; Doruker, P. Molecular simulations of small gas diffusion and solubility in copolymers of styrene. Polymer 2003, 44, 3607–3620. [Google Scholar] [CrossRef]
- Zhi, J.; Wang, Q.; Zhang, M.; Li, M.; Jia, Y. Coupled analysis on heterogeneous oxidative aging and viscoelastic performance of rubber based on multi-scale simulation. J. Appl. Polym. Sci. 2019, 136, 47452. [Google Scholar] [CrossRef]
- Lou, W.T.; Zhang, W.F.; Wang, H.X.; Jin, T.Z.; Liu, X.R. Influence of hydraulic oil on degradation behavior of nitrile rubber O-rings at elevated temperature. Eng. Fail. Anal. 2018, 92, 1–11. [Google Scholar] [CrossRef]
- Lou, W.; Zhang, W.; Liu, X.; Lou, T.; Xu, D. Effects of medium phases on the thermal degradation of hydrogenated nitrile rubber O-rings under compression. J. Appl. Polym. Sci. 2017, 135, 45864. [Google Scholar] [CrossRef]
- Wang, W.; Tanaka, Y.; Takada, T.; Iwata, S.; Uehara, H.; Li, S. Influence of oxidation on the dynamics in amorphous ethylene-propylene-diene-monomer copolymer: A molecular dynamics simulation. Polym. Degrad. Stab. 2018, 147, 187–196. [Google Scholar] [CrossRef]
- Hou, F.; Song, Y.; Zheng, Q. Payne effect of thermo-oxidatively aged isoprene rubber vulcanizates. Polymer 2020, 195, 122432. [Google Scholar] [CrossRef]
- Lou, W.; Zhang, W.; Jin, T.; Liu, X.; Wang, H. Stress–thermal oxidative aging behavior of hydrogenated nitrile rubber seals. J. Appl. Polym. Sci. 2018, 136, 47014. [Google Scholar] [CrossRef]
- Koopman, E.A.; Lowe, C.P. Advantages of a lower-Andersen thermostat in molecule dynamics simulations. J. Chem. Phys. 2006, 124, 204103. [Google Scholar] [CrossRef]
- Davoodi, J.; Ahmadi, M. Molecule dynamics simulation of elastic properties of CuPd nanowire. Compos. Part B Eng. 2012, 43, 10–14. [Google Scholar] [CrossRef]
- Van Amerongen, G.J. Influence of structure of elastomers on their permeability to gases. J. Polym. Sci. 1950, 5, 307–332. [Google Scholar] [CrossRef]
- Zhang, R.; Duan, X.; Ding, M.; Shi, T. Molecular dynamics simulation of salt diffusion in polyelectrolyte. J. Phys. Chem. B 2018, 122, 6656. [Google Scholar] [CrossRef]
- Pan, F.; Peng, F.; Jiang, Z. Diffusion behavior of benzene_cyclohexane molecules in poly(vinyl alcohol)-graphite hybrid membranes by molecular dynamics simulation. Chem. Eng. Sci. 2007, 62, 703–710. [Google Scholar] [CrossRef]















Publisher’s Note: MDPI stays neutral with regard to jurisdictional claims in published maps and institutional affiliations. |
© 2022 by the author. Licensee MDPI, Basel, Switzerland. This article is an open access article distributed under the terms and conditions of the Creative Commons Attribution (CC BY) license (https://creativecommons.org/licenses/by/4.0/).
Share and Cite
Yang, J. Molecular Dynamics Simulation of Oxidative Aging Effect on Diffusion Behaviors of Oxygen and Cyclohexane in NBR. Polymers 2022, 14, 2060. https://doi.org/10.3390/polym14102060
Yang J. Molecular Dynamics Simulation of Oxidative Aging Effect on Diffusion Behaviors of Oxygen and Cyclohexane in NBR. Polymers. 2022; 14(10):2060. https://doi.org/10.3390/polym14102060
Chicago/Turabian StyleYang, Jinsong. 2022. "Molecular Dynamics Simulation of Oxidative Aging Effect on Diffusion Behaviors of Oxygen and Cyclohexane in NBR" Polymers 14, no. 10: 2060. https://doi.org/10.3390/polym14102060
APA StyleYang, J. (2022). Molecular Dynamics Simulation of Oxidative Aging Effect on Diffusion Behaviors of Oxygen and Cyclohexane in NBR. Polymers, 14(10), 2060. https://doi.org/10.3390/polym14102060