Mass Transfer and Optical Properties of Active PET/PP Food-Grade Films Impregnated with Olive Leaf Extract
Abstract
:1. Introduction
2. Materials and Methods
2.1. Chemical Reagents and Raw Materials
2.2. Supercritical Impregnation Procedures
- In BM, the impregnation was carried out with the vessel outlet closed to maintain a fixed amount of scCO2 inside the vessel. Once the pressure conditions were achieved, the impregnation commenced and the atmosphere inside the vessel was homogenized with an upper agitation system stirring at 40 rpm.
- In SM, the scCO2 was renewed in the system at a flow of 2 g min−1 to maintain the pressure inside the vessel. In this case, the scCO2 stream efficiently agitates the agents inside the vessel, and thus an agitation system was not required.
2.3. Optical Properties
2.4. Water Vapour Permeability
2.5. Mass Transfer of OLE into Food Simulant
2.6. Statistical Analysis
3. Results and Discussion
3.1. Optical Properties of Films
3.1.1. Colour Properties
3.1.2. UV Barrier Properties
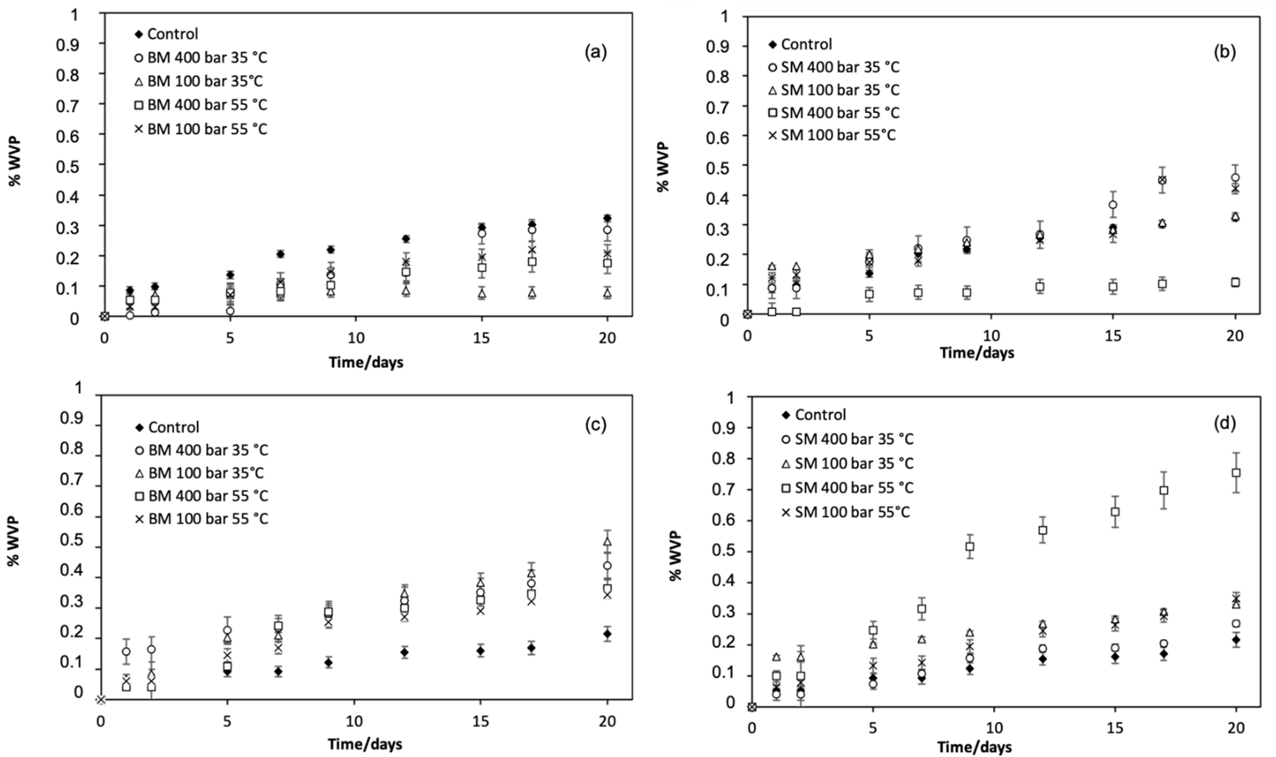
3.2. Film Water Vapour Permeability
3.3. Evaluation of OLE Migration
- The OLE compounds were homogeneously dispersed within the matrix.
- The D coefficient is constant, considering that the impregnation loading is low.
- The migration occurs in one direction, since only one surface is in contact with the simulant.
4. Conclusions
Author Contributions
Funding
Informed Consent Statement
Conflicts of Interest
References
- Amaro-Blanco, G.; Delgado-Adámez, J.; Martín, M.J.; Ramírez, R. Active packaging using an olive leaf extract and high pressure processing for the preservation of sliced dry-cured shoulders from Iberian pigs. Innov. Food Sci. Emerg. Technol. 2018, 45, 1–9. [Google Scholar] [CrossRef]
- Mir, S.A.; Shah, M.A.; Dar, B.N.; Wani, A.A.; Ganai, S.A.; Nishad, J. Supercritical Impregnation of Active Components into Polymers for Food Packaging Applications. Food Bioprocess Technol. 2017, 10, 1749–1754. [Google Scholar] [CrossRef]
- Bentayeb, K.; Rubio, C.; Batlle, R.; Nerín, C. Direct determination of carnosic acid in a new active packaging based on natural extract of rosemary. Anal. Bioanal. Chem. 2007, 389, 1989–1996. [Google Scholar] [CrossRef]
- Mousavi Khaneghah, A.; Hashemi, S.M.B.; Limbo, S. Antimicrobial agents and packaging systems in antimicrobial active food packaging: An overview of approaches and interactions. Food Bioprod. Processing 2018, 111, 1–19. [Google Scholar] [CrossRef]
- Goñi, M.L.; Gañán, N.A.; Strumia, M.C.; Martini, R.E. Eugenol-loaded LLDPE films with antioxidant activity by supercritical carbon dioxide impregnation. J. Supercrit. Fluids 2016, 111, 28–35. [Google Scholar] [CrossRef]
- Mulla, M.; Ahmed, J.; Al-Attar, H.; Castro-Aguirre, E.; Arfat, Y.A.; Auras, R. Antimicrobial efficacy of clove essential oil infused into chemically modified LLDPE film for chicken meat packaging. Food Control. 2017, 73, 663–671. [Google Scholar] [CrossRef]
- Riveros, C.G.; Nepote, V.; Grosso, N.R. Thyme and basil essential oils included in edible coatings as a natural preserving method of oilseed kernels. J. Sci. Food Agric. 2016, 96, 183–191. [Google Scholar] [CrossRef]
- Goñi, M.L.; Gañán, N.A.; Martini, R.E.; Andreatta, A.E. Carvone-loaded LDPE films for active packaging: Effect of supercritical CO2-assisted impregnation on loading, mechanical and transport properties of the films. J. Supercrit. Fluids 2018, 133, 278–290. [Google Scholar] [CrossRef]
- Alirezalu, K.; Hesari, J.; Eskandari, M.H.; Valizadeh, H.; Sirousazar, M. Effect of Green Tea, Stinging Nettle and Olive Leaves Extracts on the Quality and Shelf Life Stability of Frankfurter Type Sausage. J. Food Processing Preserv. 2017, 41, e13100. [Google Scholar] [CrossRef]
- Belizón, M.; Fernández-Ponce, M.T.; Casas, L.; Mantell, C.; Martínez de la Ossa-Fernández, E.J. Supercritical impregnation of antioxidant mango polyphenols into a multilayer PET/PP food-grade film. J. CO2 Util. 2018, 25, 56–67. [Google Scholar] [CrossRef]
- Cerro, D.; Bustos, G.; Villegas, C.; Buendia, N.; Truffa, G.; Godoy, M.P.; Rodriguez, F.; Rojas, A.; Galotto, M.J.; Constandil, L.; et al. Effect of supercritical incorporation of cinnamaldehyde on physical-chemical properties, disintegration and toxicity studies of PLA/lignin nanocomposites. Int. J. Biol. Macromol. 2021, 167, 255–266. [Google Scholar] [CrossRef] [PubMed]
- Franco, P.; Incarnato, L.; De Marco, I. Supercritical CO2 impregnation of α-tocopherol into PET/PP films for active packaging applications. J. CO2 Util. 2019, 34, 266–273. [Google Scholar] [CrossRef]
- Łopusiewicz, Ł.; Zdanowicz, M.; Macieja, S.; Kowalczyk, K.; Bartkowiak, A. Development and Characterization of Bioactive Poly(butylene-succinate) Films Modified with Quercetin for Food Packaging Applications. Polymers 2021, 13, 1798. [Google Scholar] [CrossRef]
- Ribeiro, A.M.; Estevinho, B.N.; Rocha, F. Edible Films Prepared with Different Biopolymers, Containing Polyphenols Extracted from Elderberry (Sambucus nigra L.), to Protect Food Products and to Improve Food Functionality. Food Bioprocess Technol. 2020, 13, 1742–1754. [Google Scholar] [CrossRef]
- Bouledjouidja, A.; Masmoudi, Y.; Sergent, M.; Trivedi, V.; Meniai, A.; Badens, E. Drug loading of foldable commercial intraocular lenses using supercritical impregnation. Int. J. Pharm. 2016, 500, 85–99. [Google Scholar] [CrossRef]
- Sanchez-Sanchez, J.; Fernández-Ponce, M.T.; Casas, L.; Mantell, C.; de la Ossa, E.J.M. Impregnation of mango leaf extract into a polyester textile using supercritical carbon dioxide. J. Supercrit. Fluids 2017, 128, 208–217. [Google Scholar] [CrossRef]
- Dias, A.M.A.; Rey-Rico, A.; Oliveira, R.A.; Marceneiro, S.; Alvarez-Lorenzo, C.; Concheiro, A.; Júnior, R.N.C.; Braga, M.E.M.; de Sousa, H.C. Wound dressings loaded with an anti-inflammatory jucá (Libidibia ferrea) extract using supercritical carbon dioxide technology. J. Supercrit. Fluids 2013, 74, 34–45. [Google Scholar] [CrossRef] [Green Version]
- Kazarian, S.G. Polymer processing with supercritical fluids. Polym. Sci.-Ser. C 2000, 42, 78–101. [Google Scholar]
- Champeau, M.; Thomassin, J.M.; Jérôme, C.; Tassaing, T. In situ FTIR micro-spectroscopy to investigate polymeric fibers under supercritical carbon dioxide: CO2 sorption and swelling measurements. J. Supercrit. Fluids 2014, 90, 44–52. [Google Scholar] [CrossRef]
- Milovanovic, S.; Hollermann, G.; Errenst, C.; Pajnik, J.; Frerich, S.; Kroll, S.; Rezwan, K.; Ivanovic, J. Supercritical CO2 impregnation of PLA/PCL films with natural substances for bacterial growth control in food packaging. Food Res. Int. 2018, 107, 486–495. [Google Scholar] [CrossRef]
- Fanovich, M.A.; Ivanovic, J.; Misic, D.; Alvarez, M.V.; Jaeger, P.; Zizovic, I.; Eggers, R. Development of polycaprolactone scaffold with antibacterial activity by an integrated supercritical extraction and impregnation process. J. Supercrit. Fluids 2013, 78, 42–53. [Google Scholar] [CrossRef]
- Rojas, A.; Torres, A.; Jose Galotto, M.; Guarda, A.; Julio, R. Supercritical impregnation for food applications: A review of the effect of the operational variables on the active compound loading. Crit. Rev. Food Sci. Nutr. 2020, 60, 1290–1301. [Google Scholar] [CrossRef] [PubMed]
- García-Casas, I.; Crampon, C.; Montes, A.; Pereyra, C.; Martínez de la Ossa, E.J.; Badens, E. Supercritical CO2 impregnation of silica microparticles with quercetin. J. Supercrit. Fluids 2019, 143, 157–161. [Google Scholar] [CrossRef]
- Kiran, E. Supercritical fluids and polymers—The year in review—2014. J. Supercrit. Fluids 2016, 110, 126–153. [Google Scholar] [CrossRef]
- Villegas, C.; Torres, A.; Bruna, J.; Bustos, M.I.; Díaz-Barrera, A.; Romero, J.; Rojas, A.; Guarda, A. Obtaining Active Polylactide (PLA) and Polyhydroxybutyrate (PHB) Blends Based Bionanocomposites Modified with Graphene Oxide and Supercritical Carbon Dioxide (scCO2)-Assisted Cinnamaldehyde: Effect on Thermal-Mechanical, Disintegration and Mass Transport Properties. Polymers 2021, 13, 3968. [Google Scholar] [CrossRef] [PubMed]
- Kuorwel, K.K.; Cran, M.J.; Sonneveld, K.; Miltz, J.; Bigger, S.W. Migration of antimicrobial agents from starch-based films into a food simulant. LWT—Food Sci. Technol. 2013, 50, 432–438. [Google Scholar] [CrossRef] [Green Version]
- Muppalla, S.R.; Kanatt, S.R.; Chawla, S.P.; Sharma, A. Carboxymethyl cellulose–polyvinyl alcohol films with clove oil for active packaging of ground chicken meat. Food Packag. Shelf Life 2014, 2, 51–58. [Google Scholar] [CrossRef]
- Liu, X.; Jia, J.; Duan, S.; Zhou, X.; Xiang, A.; Lian, Z.; Ge, F. Zein/MCM-41 nanocomposite film incorporated with cinnamon essential oil loaded by modified supercritical CO2 impregnation for long-term antibacterial packaging. Pharmaceutics 2020, 12, 169. [Google Scholar] [CrossRef] [Green Version]
- Cejudo Bastante, C.; Cran, M.J.; Casas Cardoso, L.; Mantell Serrano, C.; Martínez de la Ossa, E.J.; Bigger, S.W. Effect of supercritical CO2 and olive leaf extract on the structural, thermal and mechanical properties of an impregnated food packaging film. J. Supercrit. Fluids 2019, 145, 181–191. [Google Scholar] [CrossRef]
- Cejudo Bastante, C.; Casas Cardoso, L.; Mantell Serrano, C.; Martínez de la Ossa, E.J. Supercritical impregnation of food packaging films to provide antioxidant properties. J. Supercrit. Fluids 2017, 128, 200–207. [Google Scholar] [CrossRef]
- Kuorwel, K.K.; Cran, M.J.; Sonneveld, K.; Miltz, J.; Bigger, S.W. Physico-mechanical properties of starch-based films containing naturally derived antimicrobial agents. Packag. Technol. Sci. 2014, 27, 149–159. [Google Scholar] [CrossRef]
- Sedayu, B.B.; Cran, M.J.; Bigger, S.W. Characterization of Semi-refined Carrageenan-Based Film for Primary Food Packaging Purposes. J. Polym. Environ. 2018, 26, 3754–3761. [Google Scholar] [CrossRef] [Green Version]
- Colin-Chavez, C.; Soto-Valdez, H.; Peralta, E.; Lizardi-Mendoza, J.; Balandran-Quintana, R. Diffusion of natural astaxanthin from polyethylene active packaging films into a fatty food simulant. Food Res. Int. 2013, 54, 873–880. [Google Scholar] [CrossRef]
- Alin, J.; Hakkarainen, M. Type of polypropylene material significantly influences the migration of antioxidants from polymer packaging to food simulants during microwave heating. J. Appl. Polym. Sci. 2010, 118, 1084–1093. [Google Scholar] [CrossRef]
- Cejudo Bastante, C.; Casas Cardoso, L.; Fernández Ponce, M.T.; Mantell Serrano, C.; Martínez de la Ossa-Fernández, E.J. Characterization of olive leaf extract polyphenols loaded by supercritical solvent impregnation into PET/PP food packaging films. J. Supercrit. Fluids 2018, 140, 196–206. [Google Scholar] [CrossRef]
- Tawakkal, I.S.M.A.; Cran, M.J.; Bigger, S.W. Release of thymol from poly(lactic acid)-based antimicrobial films containing kenaf fibres as natural filler. LWT—Food Sci. Technol. 2016, 66, 629–637. [Google Scholar] [CrossRef] [Green Version]
- Crank, J. The Mathematics of Diffusion; Clarendon Press: Oxford, UK, 1975; p. 414. [Google Scholar]
- Chalco-Sandoval, W.; Fabra, M.J.; López-Rubio, A.; Lagaron, J.M. Development of polystyrene-based films with temperature buffering capacity for smart food packaging. J. Food Eng. 2015, 164, 55–62. [Google Scholar] [CrossRef]
- Robertson, G.L. Food Packaging and Shelf Life: A Practical Guide; CRC Press: Boca Raton, FL, USA, 2009; p. 404. [Google Scholar]
- Wrona, M.; Cran, M.J.; Nerín, C.; Bigger, S.W. Development and characterisation of HPMC films containing PLA nanoparticles loaded with green tea extract for food packaging applications. Carbohydr. Polym. 2017, 156, 108–117. [Google Scholar] [CrossRef] [PubMed]
- Wang, L.-F.; Rhim, J.-W. Grapefruit seed extract incorporated antimicrobial LDPE and PLA films: Effect of type of polymer matrix. LWT 2016, 74, 338–345. [Google Scholar] [CrossRef]
- Kanmani, P.; Rhim, J.-W. Antimicrobial and physical-mechanical properties of agar-based films incorporated with grapefruit seed extract. Carbohydr. Polym. 2014, 102, 708–716. [Google Scholar] [CrossRef]
- Burkinshaw, S.M. Physico-Chemical Aspects of Textile Coloration; John Wiley & Sons: New York, NY, USA, 2015; pp. 1–622. [Google Scholar]
- Varga, D.; Alkin, S.; Gluschitz, P.; Péter-Szabó, B.; Székely, E.; Gamse, T. Supercritical fluid dyeing of polycarbonate in carbon dioxide. J. Supercrit. Fluids 2016, 116, 111–116. [Google Scholar] [CrossRef]
- Abate, M.T.; Ferri, A.; Guan, J.; Chen, G.; Ferreira, J.A.; Nierstrasz, V. Single-step disperse dyeing and antimicrobial functionalization of polyester fabric with chitosan and derivative in supercritical carbon dioxide. J. Supercrit. Fluids 2019, 147, 231–240. [Google Scholar] [CrossRef]
- Solovieva, A.B.; Cherkasova, A.V.; Glagolev, N.N.; Kopylov, A.S.; Timashev, P.S.; Tsypina, S.I.; Bagratashvili, V.N. Stable “coloured” states of spirooxazine photochrom molecules immobilized in polymer matrixes by supercritical carbon dioxide. J. Mol. Liq. 2017, 239, 74–82. [Google Scholar] [CrossRef]
- Champeau, M.; Thomassin, J.M.; Tassaing, T.; Jerome, C. Drug Loading of Sutures by Supercritical CO2 Impregnation: Effect of Polymer/Drug Interactions and Thermal Transitions. Macromol. Mater. Eng. 2015, 300, 596–610. [Google Scholar] [CrossRef]
- Goñi, M.L.; Gañán, N.A.; Herrera, J.M.; Strumia, M.C.; Andreatta, A.E.; Martini, R.E. Supercritical CO2 iof LDPE films with terpene ketones as biopesticides against corn weevil (Sitophilus zeamais). J. Supercrit. Fluids 2017, 122, 18–26. [Google Scholar] [CrossRef]
- Dias, A.M.A.; Braga, M.E.M.; Seabra, I.J.; Ferreira, P.; Gil, M.H.; de Sousa, H.C. Development of natural-based wound dressings impregnated with bioactive compounds and using supercritical carbon dioxide. Int. J. Pharm. 2011, 408, 9–19. [Google Scholar] [CrossRef]
- Rojas, A.; Cerro, D.; Torres, A.; Galotto, M.J.; Guarda, A.; Romero, J. Supercritical impregnation and kinetic release of 2-nonanone in LLDPE films used for active food packaging. J. Supercrit. Fluids 2015, 104, 76–84. [Google Scholar] [CrossRef]
- Alvarado, N.; Romero, J.; Torres, A.; López de Dicastillo, C.; Rojas, A.; Galotto, M.J.; Guarda, A. Supercritical impregnation of thymol in poly(lactic acid) filled with electrospun poly(vinyl alcohol)-cellulose nanocrystals nanofibers: Development an active food packaging material. J. Food Eng. 2018, 217, 1–10. [Google Scholar] [CrossRef]
- Shankar, S.; Wang, L.-F.; Rhim, J.-W. Incorporation of zinc oxide nanoparticles improved the mechanical, water vapor barrier, UV-light barrier, and antibacterial properties of PLA-based nanocomposite films. Mater. Sci. Eng. C 2018, 93, 289–298. [Google Scholar] [CrossRef]
- Wu, C.; Sun, J.; Zheng, P.; Kang, X.; Chen, M.; Li, Y.; Ge, Y.; Hu, Y.; Pang, J. Preparation of an intelligent film based on chitosan/oxidized chitin nanocrystals incorporating black rice bran anthocyanins for seafood spoilage monitoring. Carbohydr. Polym. 2019, 222, 115006. [Google Scholar] [CrossRef]
- Hashmi, S. Comprehensive Materials Processing; Elsevier Science: Amsterdam, The Netherlands, 2014. [Google Scholar]
- Sangaj, N.S.; Malshe, V.C. Permeability of polymers in protective organic coatings. Prog. Org. Coat. 2004, 50, 28–39. [Google Scholar] [CrossRef]
- Siripatrawan, U.; Vitchayakitti, W. Improving functional properties of chitosan films as active food packaging by incorporating with propolis. Food Hydrocoll. 2016, 61, 695–702. [Google Scholar] [CrossRef]
- Sanchez-Garcia, M.D.; Lagaron, J.M. Novel clay-based nanobiocomposites of biopolyesters with synergistic barrier to UV light, gas, and vapour. J. Appl. Polym. Sci. 2010, 118, 188–199. [Google Scholar] [CrossRef]
- Benbettaïeb, N.; Tanner, C.; Cayot, P.; Karbowiak, T.; Debeaufort, F. Impact of functional properties and release kinetics on antioxidant activity of biopolymer active films and coatings. Food Chem. 2018, 242, 369–377. [Google Scholar] [CrossRef] [PubMed]
- Champeau, M.; Thomassin, J.M.; Tassaing, T.; Jérôme, C. Drug loading of polymer implants by supercritical CO2 assisted impregnation: A review. J. Control. Release 2015, 209, 248–259. [Google Scholar] [CrossRef] [PubMed]
- Marcos, B.; Sárraga, C.; Castellari, M.; Kappen, F.; Schennink, G.; Arnau, J. Development of biodegradable films with antioxidant properties based on polyesters containing α-tocopherol and olive leaf extract for food packaging applications. Food Packag. Shelf Life 2014, 1, 140–150. [Google Scholar] [CrossRef] [Green Version]
- Torres, A.; Romero, J.; Macan, A.; Guarda, A.; Galotto, M.J. Near critical and supercritical impregnation and kinetic release of thymol in LLDPE films used for food packaging. J. Supercrit. Fluids 2014, 85, 41–48. [Google Scholar] [CrossRef]
- Rojas, A.; Torres, A.; Añazco, A.; Villegas, C.; Galotto, M.J.; Guarda, A.; Romero, J. Effect of pressure and time on scCO2-assisted incorporation of thymol into LDPE-based nanocomposites for active food packaging. J. CO2 Util. 2018, 26, 434–444. [Google Scholar] [CrossRef]






| Film Sample | L* | a* | b* | ΔE 1 | OLE Impregnation Loading/mg g−1 Film 2 | |
|---|---|---|---|---|---|---|
| Control | 94.66 ± 0.17 ab | −0.47 ± 0.02 a | 3.43 ± 0.03 a | 1.02 ± 0.01 a | - | |
| BM 3 | 400 bar/35 °C | 94.25 ± 0.14 cd | −2.23 ± 0.01 f | 6.04 ± 0.04 ef | 3.79 ± 0.11 e | 2.50 ± 0.40 |
| 100 bar/35 °C | 94.63 ± 0.13 abc | −1.19 ± 0.13 cd | 4.76 ± 0.16 bcd | 2.15 ± 0.14 d | 0.60 ± 0.25 | |
| 400 bar/55 °C | 94.45 ± 0.02 bcd | −1.46 ± 0.06 e | 4.98 ± 0.12 cd | 2.47 ± 0.04 d | 1.88 ± 0.50 | |
| 100 bar/55 °C | 94.45 ± 0.18 d | −1.20 ± 0.02 de | 4.68 ± 0.29 de | 2.19 ± 0.68 d | 0.97 ± 0.52 | |
| SM 4 | 400 bar/35 °C | 94.65 ± 0.15 abc | −0.85 ± 0.02 b | 4.12 ± 0.05 ab | 1.47 ± 0.04 ab | 1.08 ± 0.11 |
| 100 bar/35 °C | 94.05 ± 0.22 d | −1.33 ± 0.19 e | 6.41 ± 0.21 f | 3.57 ± 0.08 e | 1.80 ± 0.03 | |
| 400 bar/55 °C | 94.45 ± 0.12 bcd | −1.57 ± 0.07 e | 4.85 ± 0.12 bcd | 2.04 ± 0.41 cd | 1.75 ± 0.01 | |
| 100 bar/55 °C | 94.96 ± 0.18 a | −1.05 ± 0.09 bc | 4.26 ± 0.29 bc | 1.58 ± 0.38 bc | 0.63 ± 0.11 | |
| Film Sample | Transparency/% mm−1 | Opacity/mm−1 | |
|---|---|---|---|
| Control | 29.36 ± 0.16 a | 1.04 ± 0.18 a | |
| BM 1 | 400 bar/35 °C | 26.21 ± 0.44 b | 4.60 ± 0.69 b |
| 100 bar/35 °C | 28.77 ± 0.16 a | 1.70 ± 0.26 a | |
| 400 bar/55 °C | 29.12 ± 0.04 a | 1.34 ± 0.03 a | |
| 100 bar/55 °C | 28.58 ± 0.48 a | 1.93 ± 0.57 a | |
| SM 2 | 400 bar/35 °C | 29.11 ± 0.18 a | 1.34 ± 0.25 a |
| 100 bar/35 °C | 29.10 ± 0.20 a | 1.37 ± 0.27 a | |
| 400 bar/55 °C | 29.17 ± 0.05 a | 1.27 ± 0.06 a | |
| 100 bar/55 °C | 29.01 ± 0.20 a | 1.44 ± 0.21 a | |
| Conditions | Surface | Linear Equation | R2 |
|---|---|---|---|
| BM 1 400 bar 35 °C | PP | y = −0.027x − 0.387 | 0.970 |
| PET | y = −0.015x − 0.076 | 0.997 | |
| SM 2 100 bar 35 °C | PP | y = −0.019x − 0.080 | 0.980 |
| PET | y = −0.025x + 0.004 | 0.983 |
| Conditions | Surface | m∞/mg OLE | % Release at 105 min | D/1012 m2 min−1 from Equation (10) | % Correlation between Data and Model | |
|---|---|---|---|---|---|---|
| BM 1 400 bar 35 °C | PP | 0.0051 | 0.189 | 96% | 8.29 | 99.6% |
| PET | 0.0031 | 0.204 | 81% | 0.18 | 99.6% | |
| SM 2 100 bar 35 °C | PP | 0.0024 | 0.130 | 87% | 4.06 | 99.3% |
| PET | 0.0015 | 0.063 | 92% | 0.27 | 99.1% |
Publisher’s Note: MDPI stays neutral with regard to jurisdictional claims in published maps and institutional affiliations. |
© 2021 by the authors. Licensee MDPI, Basel, Switzerland. This article is an open access article distributed under the terms and conditions of the Creative Commons Attribution (CC BY) license (https://creativecommons.org/licenses/by/4.0/).
Share and Cite
Cejudo Bastante, C.; Cran, M.J.; Casas Cardoso, L.; Serrano, C.M.; Bigger, S.W. Mass Transfer and Optical Properties of Active PET/PP Food-Grade Films Impregnated with Olive Leaf Extract. Polymers 2022, 14, 84. https://doi.org/10.3390/polym14010084
Cejudo Bastante C, Cran MJ, Casas Cardoso L, Serrano CM, Bigger SW. Mass Transfer and Optical Properties of Active PET/PP Food-Grade Films Impregnated with Olive Leaf Extract. Polymers. 2022; 14(1):84. https://doi.org/10.3390/polym14010084
Chicago/Turabian StyleCejudo Bastante, Cristina, Marlene J. Cran, Lourdes Casas Cardoso, Casimiro Mantell Serrano, and Stephen W. Bigger. 2022. "Mass Transfer and Optical Properties of Active PET/PP Food-Grade Films Impregnated with Olive Leaf Extract" Polymers 14, no. 1: 84. https://doi.org/10.3390/polym14010084
APA StyleCejudo Bastante, C., Cran, M. J., Casas Cardoso, L., Serrano, C. M., & Bigger, S. W. (2022). Mass Transfer and Optical Properties of Active PET/PP Food-Grade Films Impregnated with Olive Leaf Extract. Polymers, 14(1), 84. https://doi.org/10.3390/polym14010084

