Synergistics of Carboxymethyl Chitosan and Mangosteen Extract as Enhancing Moisturizing, Antioxidant, Antibacterial, and Deodorizing Properties in Emulsion Cream
Abstract
:1. Introduction
2. Materials and Methods
2.1. Materials
2.2. Synthesis of CMCH
2.3. ME Preparation
2.4. Deodorant Cream (O/W) Preparation
2.5. Degree of Skin Moisturizing (DM)
2.6. Accelerated Stability Study
2.7. Deodorizing Activity
2.8. Antioxidant Properties
2.8.1. DPPH Radical Scavenging Activity
2.8.2. ABTS Radical Scavenging Activity
2.8.3. Ferric Reducing Antioxidant Power (FRAP)
2.9. Antibacterial Properties
2.10. Statistical Analysis
3. Results and Discussion
3.1. Effect of H-CMCH Synthesis
3.2. Degree of Skin Moisturizing (% DM)
3.3. Effect of Accelerated Stability Study
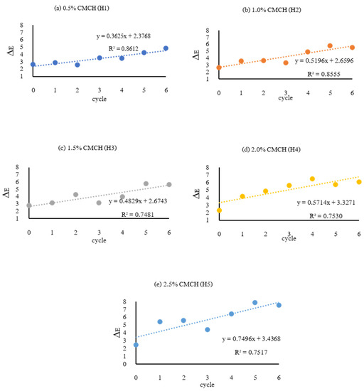
3.3.1. Visual Appearance
3.3.2. pH Value
3.3.3. Viscosity
3.4. Deodorizing Activity
3.5. Antioxidant Properties
3.6. Antibacterial Properties
4. Conclusions
Supplementary Materials
Author Contributions
Funding
Institutional Review Board Statement
Informed Consent Statement
Data Availability Statement
Acknowledgments
Conflicts of Interest
References
- Estanqueiro, M.; Conceição, J.; Amaral, M.H.; Santos, D.; Silva, J.B.; Lobo, J.M.S. Characterization and stability studies of emulsion systems containing pumice. Braz. J. Pharm. Sci. 2014, 50, 361–369. [Google Scholar] [CrossRef] [Green Version]
- Kim, K.-M.; Oh, H.M.; Lee, J.H. Controlling the emulsion stability of cosmetics through shear mixing process. Korea Aust. Rheol. J. 2020, 32, 243–249. [Google Scholar] [CrossRef]
- Gilbert, L.; Picard, C.; Savary, G.; Grisel, M. Rheological and textural characterization of cosmetic emulsions containing natural and synthetic polymers: Relationships between both data. Colloids Surf. Physicochem. Eng. Asp. 2013, 421, 150–163. [Google Scholar] [CrossRef]
- Colucci, G.; Santamaria-Echart, A.; Silva, S.C.; Fernandes, I.P.; Sipoli, C.C.; Barreiro, M.F. Development of water-in-oil emulsions as delivery vehicles and testing with a natural antimicrobial extract. Molecules 2020, 25, 2105. [Google Scholar] [CrossRef]
- Zelisko, P.M.; Flora, K.K.; Brennan, J.D.; Brook, M.A. Water-in-silicone oil emulsion stabilizing surfactants formed from native albumin and α, ω-triethoxysilylpropyl-polydimethylsiloxane. Biomacromolecules 2008, 9, 2153–2161. [Google Scholar] [CrossRef]
- Nazir, H.; Zhang, W.; Liu, Y.; Chen, X.; Wang, L.; Naseer, M.; Ma, G. Silicone oil emulsions: Strategies to improve their stability and applications in hair care products. Int. J. Cosmet. Sci. 2014, 36, 124–133. [Google Scholar] [CrossRef]
- Chaiyasut, C.; Kesika, P.; Sakdakampanat, P.; Peerajan, S.; Sivamaruthi, B.S. Formulation and evaluation of stability of Thai purple rice bran-based cosmetic products. Asian J. Pharm. Clin. Res. 2018, 11, 99–104. [Google Scholar] [CrossRef]
- Lestari, U.; Farid, F.; Fudholi, A. Formulation and effectivity test of deodorant from activated charcoal of palm shell as excessive sweat adsorbent on body. Asian J. Pharm. Clin. Res. 2019, 12, 193–196. [Google Scholar] [CrossRef]
- Kanlayavattanakul, M.; Lourith, N. Body malodours and their topical treatment agents. Int. J. Cosmet. Sci. 2011, 33, 298–311. [Google Scholar] [CrossRef]
- Ganceviciene, R.; Liakou, A.I.; Theodoridis, A.; Makrantonaki, E.; Zouboulis, C.C. Skin anti-aging strategies. Derm. Endocrinol. 2012, 4, 308–319. [Google Scholar] [CrossRef] [Green Version]
- Lintner, K. Benefits of anti-aging actives in sunscreens. Cosmetics 2017, 4, 7. [Google Scholar] [CrossRef] [Green Version]
- Debnath, S.; Babu, M.N.; Kusuma, G. Formulation and evaluation of herbal antimicrobial deodorant stick. Res. J. Top. Cosmet. Sci. 2011, 2, 21–24. [Google Scholar]
- Bose, A.; Wong, T.W. Oral colon cancer targeting by chitosan nanocomposites. In Applications of Nanocomposite Materials in Drug Delivery; Elsevier: Amsterdam, The Netherlands, 2018; pp. 409–429. [Google Scholar]
- Jimtaisong, A.; Saewan, N. Utilization of carboxymethyl chitosan in cosmetics. Int. J. Cosmet. Sci. 2014, 36, 12–21. [Google Scholar] [CrossRef] [PubMed] [Green Version]
- Rachtanapun, P.; Simasatitkul, P.; Chaiwan, W.; Watthanaworasakun, Y. Effect of sodium hydroxide concentration on properties of carboxymethyl rice starch. Int. Food Res. J. 2012, 19, 923. [Google Scholar]
- Ghasemzadeh, A.; Jaafar, H.Z.; Baghdadi, A.; Tayebi-Meigooni, A. Alpha-mangostin-rich extracts from mangosteen pericarp: Optimization of green extraction protocol and evaluation of biological activity. Molecules 2018, 23, 1852. [Google Scholar] [CrossRef] [Green Version]
- Moosophin, K.; Wetthaisong, T.; Seeratchakot, L.; Kokluecha, W. Tannin extraction from mangosteen peel for protein precipitation in wine. Asia Pac. J. Sci. Technol. 2010, 15, 377–385. [Google Scholar]
- Aizat, W.M.; Ahmad-Hashim, F.H.; Jaafar, S.N.S. Valorization of mangosteen, “The Queen of Fruits,” and new advances in postharvest and in food and engineering applications: A review. J. Adv. Res. 2019, 20, 61–70. [Google Scholar] [CrossRef] [PubMed]
- Seesuriyachan, P.; Kuntiya, A.; Kawee-ai, A.; Techapun, C.; Chaiyaso, T.; Leksawasdi, N. Improvement in efficiency of lignin degradation by Fenton reaction using synergistic catalytic action. Ecol. Eng. 2015, 85, 283–287. [Google Scholar] [CrossRef]
- Pothitirat, W.; Chomnawang, M.T.; Supabphol, R.; Gritsanapan, W. Free radical scavenging and anti-acne activities of mangosteen fruit rind extracts prepared by different extraction methods. Pharm. Biol. 2010, 48, 182–186. [Google Scholar] [CrossRef]
- Ham, J.-S.; Kim, H.-Y.; Lim, S.-T. Antioxidant and deodorizing activities of phenolic components in chestnut inner shell extracts. Ind. Crops Prod. 2015, 73, 99–105. [Google Scholar] [CrossRef]
- Pothitirat, W.; Chomnawang, M.T.; Gritsanapan, W. Anti-acne-inducing bacterial activity of mangosteen fruit rind extracts. Med. Princ. Pract. 2010, 19, 281–286. [Google Scholar] [CrossRef] [PubMed]
- Chaiwong, N.; Leelapornpisid, P.; Jantanasakulwong, K.; Rachtanapun, P.; Seesuriyachan, P.; Sakdatorn, V.; Leksawasdi, N.; Phimolsiripol, Y. Antioxidant and moisturizing properties of carboxymethyl chitosan with different molecular weights. Polymers 2020, 12, 1445. [Google Scholar] [CrossRef]
- Standard, T.A. Mangosteen; National Bureau of Agricultural Commodity and Food Standards Ministry of Agriculture and Cooperatives: Bangkok, Thailand, 2013.
- Kassakul, W.; Praznik, W.; Viernstein, H.; Hongwiset, D.; Phrutivorapongkul, A.; Leelapornpisid, P. Characterization of the mucilages extracted from Hibiscus rosasinensis linn and Hibiscus mutabilis linn and their skin moisturizing effect. Int. J. Pharm. Sci. Res. 2014, 6, 453–457. [Google Scholar]
- Tkacz, K.; Modzelewska-Kapituła, M.; Wiek, A.; Nogalski, Z. The applicability of total color difference hE for determining the blooming time in Longissimus lumborum and Semimembranosus muscles from Holstein-Friesian bulls at different ageing times. Appl. Sci. 2020, 10, 8215. [Google Scholar] [CrossRef]
- Surin, S.; You, S.G.; Seesuriyachan, P.; Muangrat, R.; Wangtueai, S.; Jambrak, A.R.; Phongthai, S.; Jantanasakulwong, K.; Chaiyaso, T.; Phimolsiripol, Y. Optimization of ultrasonic-assisted extraction of polysaccharides from purple glutinous rice bran (Oryza sativa L.) and their antioxidant activities. Sci. Rep. 2020, 10, 10410. [Google Scholar] [CrossRef]
- Phimolsiripol, Y.; Buadoktoom, S.; Leelapornpisid, P.; Jantanasakulwong, K.; Seesuriyachan, P.; Chaiyaso, T.; Leksawasdi, N.; Rachtanapun, P.; Chaiwong, N.; Sommano, S.R.; et al. Shelf life extension of chilled pork by optimal ultrasonicated Ceylon Spinach (Basella alba) extracts: Physicochemical and microbial properties. Foods 2021, 10, 1241. [Google Scholar] [CrossRef]
- Surin, S.; Surayot, U.; Seesuriyachan, P.; You, S.G.; Phimolsiripol, Y. Antioxidant and immunomodulatory activities of sulphated polysaccharides from purple glutinous rice bran (Oryza sativa L.). Int. J. Food Sci. Tech. 2018, 53, 994–1004. [Google Scholar] [CrossRef] [Green Version]
- Ruksiriwanich, W.; Khantham, C.; Linsaenkart, P.; Chaitep, T.; Rachtanapun, P.; Jantanasakulwong, K.; Phimolsiripol, Y.; Jambrak, A.R.; Nazir, Y.; Yooin, W.; et al. Anti-inflammation of bioactive compounds from ethanolic extracts of edible mushroom (Dictyophora indusiata) as functional health promoting food ingredients. Int. J. Food Sci. Tech. 2021, 1–13. [Google Scholar] [CrossRef]
- Surin, S.; Seesuriyachan, P.; Thakeow, P.; You, S.G.; Phimolsiripol, Y. Antioxidant and antimicrobial properties of polysaccharides from rice brans. Chiang Mai J. Sci. 2018, 45, 1372–1382. [Google Scholar]
- Bai-Ngew, S.; Chuensun, T.; Wangtueai, S.; Phongthai, S.; Jantanasakulwong, K.; Rachtanapun, P.; Sakdatorn, V.; Klunklin, W.; Regenstein, J.M.; Phimolsiripol, Y. Antimicrobial activity of a crude peptide extract from lablab bean (Dolichos lablab) with semi-dried rice noodles shelf-life. Qual. Assur. Saf. Crop. 2021, 13, 25–33. [Google Scholar] [CrossRef]
- Siahaan, P.; Mentari, N.C.; Wiedyanto, U.O.; Hudiyanti, D.; Hildayani, S.Z.; Laksitorini, M.D. The optimum conditions of carboxymethyl chitosan synthesis on drug delivery application and its release of kinetics study. Indones. J. Chem. 2017, 17, 291–300. [Google Scholar] [CrossRef] [Green Version]
- Rachtanapun, P.; Jantrawut, P.; Klunklin, W.; Jantanasakulwong, K.; Phimolsiripol, Y.; Leksawasdi, N.; Seesuriyachan, P.; Chaiyaso, T.; Insomphun, C.; Phongthai, S.; et al. Carboxymethyl bacterial cellulose from Nata de coco: Effects of NaOH. Polymers 2021, 13, 348. [Google Scholar] [CrossRef]
- Samar, M.M.; El-Kalyoubi, M.; Khalaf, M.; Abd El-Razik, M. Physicochemical, functional, antioxidant and antibacterial properties of chitosan extracted from shrimp wastes by microwave technique. Ann. Agric. Sci. 2013, 58, 33–41. [Google Scholar] [CrossRef] [Green Version]
- Thanakkasaranee, S.; Jantanasakulwong, K.; Phimolsiripol, Y.; Leksawasdi, N.; Seesuriyachan, P.; Chaiyaso, T.; Jantrawut, P.; Ruksiriwanich, W.; Rose Sommano, S.; Punyodom, W.; et al. High substitution synthesis of carboxymethyl chitosan for properties improvement of carboxymethyl chitosan films depending on particle sizes. Molecules 2021, 26, 6013. [Google Scholar] [CrossRef] [PubMed]
- Martí-Quijal, F.J.; Ramon-Mascarell, F.; Pallarés, N.; Ferrer, E.; Berrada, H.; Phimolsiripol, Y.; Barba, F.J. Extraction of antioxidant compounds and pigments from spirulina (Arthrospira platensis) assisted by pulsed electric fields and the binary mixture of organic solvents and water. Appl. Sci. 2021, 11, 7629. [Google Scholar] [CrossRef]
- Tamer, T.M.; Hassan, M.A.; Omer, A.M.; Baset, W.M.; Hassan, M.E.; El-Shafeey, M.; Eldin, M.M. Synthesis, characterization and antibacterial evaluation of two aromatic chitosan Schiff base derivatives. Process Biochem. 2016, 51, 1721–1730. [Google Scholar] [CrossRef]
- Aranaz, I.; Acosta, N.; Civera, C.; Elorza, B.; Mingo, J.; Castro, C.; Gandía, M.D.L.L.; Caballero, A.H. Cosmetics and cosmeceutical applications of chitin, chitosan and their derivatives. Polymers 2018, 10, 213. [Google Scholar] [CrossRef] [Green Version]
- Szymańska, E.; Winnicka, K. Stability of chitosan—A challenge for pharmaceutical and biomedical applications. Mar. Drugs 2015, 13, 1819–1846. [Google Scholar] [CrossRef]
- Kartini, K.; Winarjo, B.M.; Fitriani, E.W.; Islamie, R. Formulation and pH-physical stability evaluation of gel and cream of Plantago major leaves extract. MPI (Media Pharm. Indones.) 2017, 1, 174–180. [Google Scholar] [CrossRef] [Green Version]
- Navarro-Pérez, Y.M.; Cedeño-Linares, E.; Norman-Montenegro, O.; Ruz-Sanjuan, V.; Mondeja-Rivera, Y.; Hernández-Monzón, A.M.; González-Bedia, M.M. Prediction of the physical stability and quality of O/W cosmetic emulsions using full factorial design. J. Pharm. Pharmacogn. Res. 2021, 9, 98–112. [Google Scholar]
- Sankar, M.; Nowicka, E.; Carter, E.; Murphy, D.M.; Knight, D.W.; Bethell, D.; Hutchings, G.J. The benzaldehyde oxidation paradox explained by the interception of peroxy radical by benzyl alcohol. Nat. Commun. 2014, 5, 3332. [Google Scholar] [CrossRef] [PubMed]
- Leksawasdi, N.; Breuer, M.; Hauer, B.; Rosche, B.; Rogers, P.L. Kinetics of pyruvate decarboxylase deactivation by benzaldehyde. Biocatal. Biotrans. 2003, 21, 315–320. [Google Scholar] [CrossRef]
- Anderson, A. Final report on the safety assessment of benzaldehyde. Int. J. Toxicol. 2006, 25 (Suppl. S1), 11–27. [Google Scholar]
- Tzaneva, D.; Simitchiev, A.; Petkova, N.; Nenov, V.; Stoyanova, A.; Denev, P. Synthesis of carboxymethyl chitosan and its rheological behaviour in pharmaceutical and cosmetic emulsions. J. Appl. Pharm. Sci. 2017, 7, 70–80. [Google Scholar]
- Wang, B.; Tian, H.; Xiang, D. Stabilizing the oil-in-water emulsions using the mixtures of Dendrobium officinale polysaccharides and gum arabic or propylene glycol alginate. Molecules 2020, 25, 759. [Google Scholar] [CrossRef] [Green Version]
- Yan, Y.; Lee, J.; Hong, J.; Suk, H.J. Measuring and describing the discoloration of liquid foundation. Color Res. Appl. 2021, 46, 362–375. [Google Scholar] [CrossRef]
- Mokrzycki, W.; Tatol, M. Colour difference ∆E-A survey. Mach. Graph. Vis. 2011, 20, 383–411. [Google Scholar]
- Ilievska, J.; Cicimov, V.; Antova, E.; Gjorgoski, I.; Hadzy-Petrushev, N.; Mladenov, M. Heat-induced oxidative stress and inflammation in rats in relation to age. Res. Phys. Educ. Sport Health 2016, 5, 123–130. [Google Scholar]
- Janardhanan, S.; Mahendra, J.; Girija, A.S.; Mahendra, L.; Priyadharsini, V. Antimicrobial effects of Garcinia mangostana on cariogenic microorganisms. J. Clin. Diagn. Res. 2017, 11, 19–22. [Google Scholar] [CrossRef]
- He, G.; Chen, X.; Yin, Y.; Cai, W.; Ke, W.; Kong, Y.; Zheng, H. Preparation and antibacterial properties of O-carboxymethyl chitosan/lincomycin hydrogels. J. Biomater. Sci. Polym. Ed. 2016, 27, 370–384. [Google Scholar] [CrossRef] [PubMed]
- Mohamed, R.R.; Sabaa, M.W. Synthesis and characterization of antimicrobial crosslinked carboxymethyl chitosan nanoparticles loaded with silver. Int. J. Biol. Macromol. 2014, 69, 95–99. [Google Scholar] [CrossRef] [PubMed]
- Liu, J.-L.; Xia, R. A unified analysis of a micro-beam, droplet and CNT ring adhered on a substrate: Calculation of variation with movable boundaries. Acta Mech. Sin. 2013, 29, 62–72. [Google Scholar] [CrossRef]








| Ingredients | (% w/v) | ||||
|---|---|---|---|---|---|
| H1 (0.5) | H2 (1.0) | H3 (1.5) | H4 (2.0) | H5 (2.5) | |
| Phase A (oil phase) | |||||
| Aluminium chlorohydrate | 40.0 | 40.0 | 40.0 | 40.0 | 40.0 |
| Stearyl alcohol | 2.0 | 2.0 | 2.0 | 2.0 | 2.0 |
| Ceteareth-25 | 2.0 | 2.0 | 2.0 | 2.0 | 2.0 |
| Glyceryl monostearate | 2.0 | 2.0 | 2.0 | 2.0 | 2.0 |
| Mineral oil | 5.0 | 5.0 | 5.0 | 5.0 | 5.0 |
| Phase B (aqueous phase) | |||||
| Glycerin | 2.0 | 2.0 | 2.0 | 2.0 | 2.0 |
| Propylene glycol | 5.0 | 5.0 | 5.0 | 5.0 | 5.0 |
| Distilled water | 41.4 | 40.9 | 40.4 | 39.9 | 39.4 |
| Phase C | |||||
| ME | 0.1 | 0.1 | 0.1 | 0.1 | 0.1 |
| Phase D | |||||
| H-CMCH | 0.5 | 1.0 | 1.5 | 2.0 | 2.5 |
| Phase E | |||||
| Perfume | 0.01 | 0.01 | 0.01 | 0.01 | 0.01 |
| Samples | IC50 DPPHns (µg/mL) | IC50 ABTS (µg/mL) | FRAP (µmoL Fe2+/g Sample) |
|---|---|---|---|
| 11.4 ± 2.8 | 12.7 a ± 1.0 | 47.5 b ± 0.4 |
| 13.7 ± 3.0 | 7.7 b ± 2.8 | 51.8 a ± 0.6 |
| Inhibition Zone (mm) | ||||||
|---|---|---|---|---|---|---|
| Samples (10 mg/mL) | S. aureus | S. epidermidis | Corynebacterium spp. | B. subtilis | P. aeruginosa | E. coli |
| (1) Deodorant cream prototype (no ME and H-CMCH) | 6.6 c ± 0.3 | 6.6 c ± 0.8 | 7.2 c ± 0.9 | 6.9 c ± 1.1 | 6.5 c ± 0.5 | 6.0 c ± 0.7 |
| (2) Developed deodorant cream (ME + 1% H-CMCH) | 13.3 b ± 0.6 | 19.2 b ± 1.2 | 25.3 b ± 0.5 | 21.7 b ± 2.1 | 7.9 b ± 0.8 | 12.4 b ± 1.2 |
| (3) Streptomycin | 19.3 a ± 0.5 | 27.2 a ± 0.4 | 36.8 a ± 1.1 | 30.0 a ± 1.9 | 10.6 a ± 0.5 | 19.5 a ± 0.5 |
Publisher’s Note: MDPI stays neutral with regard to jurisdictional claims in published maps and institutional affiliations. |
© 2022 by the authors. Licensee MDPI, Basel, Switzerland. This article is an open access article distributed under the terms and conditions of the Creative Commons Attribution (CC BY) license (https://creativecommons.org/licenses/by/4.0/).
Share and Cite
Chaiwong, N.; Phimolsiripol, Y.; Leelapornpisid, P.; Ruksiriwanich, W.; Jantanasakulwong, K.; Rachtanapun, P.; Seesuriyachan, P.; Sommano, S.R.; Leksawasdi, N.; Simirgiotis, M.J.; et al. Synergistics of Carboxymethyl Chitosan and Mangosteen Extract as Enhancing Moisturizing, Antioxidant, Antibacterial, and Deodorizing Properties in Emulsion Cream. Polymers 2022, 14, 178. https://doi.org/10.3390/polym14010178
Chaiwong N, Phimolsiripol Y, Leelapornpisid P, Ruksiriwanich W, Jantanasakulwong K, Rachtanapun P, Seesuriyachan P, Sommano SR, Leksawasdi N, Simirgiotis MJ, et al. Synergistics of Carboxymethyl Chitosan and Mangosteen Extract as Enhancing Moisturizing, Antioxidant, Antibacterial, and Deodorizing Properties in Emulsion Cream. Polymers. 2022; 14(1):178. https://doi.org/10.3390/polym14010178
Chicago/Turabian StyleChaiwong, Nareekan, Yuthana Phimolsiripol, Pimporn Leelapornpisid, Warintorn Ruksiriwanich, Kittisak Jantanasakulwong, Pornchai Rachtanapun, Phisit Seesuriyachan, Sarana Rose Sommano, Noppol Leksawasdi, Mario J. Simirgiotis, and et al. 2022. "Synergistics of Carboxymethyl Chitosan and Mangosteen Extract as Enhancing Moisturizing, Antioxidant, Antibacterial, and Deodorizing Properties in Emulsion Cream" Polymers 14, no. 1: 178. https://doi.org/10.3390/polym14010178
APA StyleChaiwong, N., Phimolsiripol, Y., Leelapornpisid, P., Ruksiriwanich, W., Jantanasakulwong, K., Rachtanapun, P., Seesuriyachan, P., Sommano, S. R., Leksawasdi, N., Simirgiotis, M. J., Barba, F. J., & Punyodom, W. (2022). Synergistics of Carboxymethyl Chitosan and Mangosteen Extract as Enhancing Moisturizing, Antioxidant, Antibacterial, and Deodorizing Properties in Emulsion Cream. Polymers, 14(1), 178. https://doi.org/10.3390/polym14010178

