Fabrication and Characterization of Chitosan—Tamarind Seed Polysaccharide Composite Film for Transdermal Delivery of Protein/Peptide
Abstract
1. Introduction
2. Materials and Methods
2.1. Factorial Design
2.2. Method of Preparation of Polysaccharide Composite Films
2.3. Characterization of Films
2.3.1. Physical Appearance
2.3.2. FTIR Spectral Analysis
2.3.3. Folding Endurance
2.3.4. Thickness of Films
2.3.5. Surface pH
2.3.6. Weight Variation
2.3.7. Drug Content
2.3.8. Moisture Intake
2.3.9. Moisture Uptake
2.3.10. Surface Morphology
2.3.11. Drug Release
Preparation of an Eggshell Membrane
In Vitro Drug Release
of dissolution medium)/1000 × 100
2.3.12. Kinetics of Drug Release
- W0 is the initial amount of drug in the dosage form
- Wt is the remaining amount of the drug in the dosage form at time t
- KHCt is a constant incorporating the surface volume relation.
2.3.13. In Vitro Skin Permeation Studies
3. Results and Discussion
3.1. Factorial Design
- Y = response of variables (dependent variables)
- b0 = arithmetic mean response of nine batches
- b1 = estimated coefficient of factor X1. The coefficients corresponding to the liner effect (b1 and b2), interaction (b1), and quadratic effect (b1 and b2) were determined from the result of the experiment.
- X1 and X2 are quantities of the polymers.
3.2. Physical Appearance
3.3. IR Spectral Analysis
3.4. Folding Endurance
3.5. Film Thickness
3.6. Surface pH
3.7. Weight Variance
3.8. Drug Content
3.9. Moisture Intake
3.10. Moisture Uptake
3.11. Surface Morphology
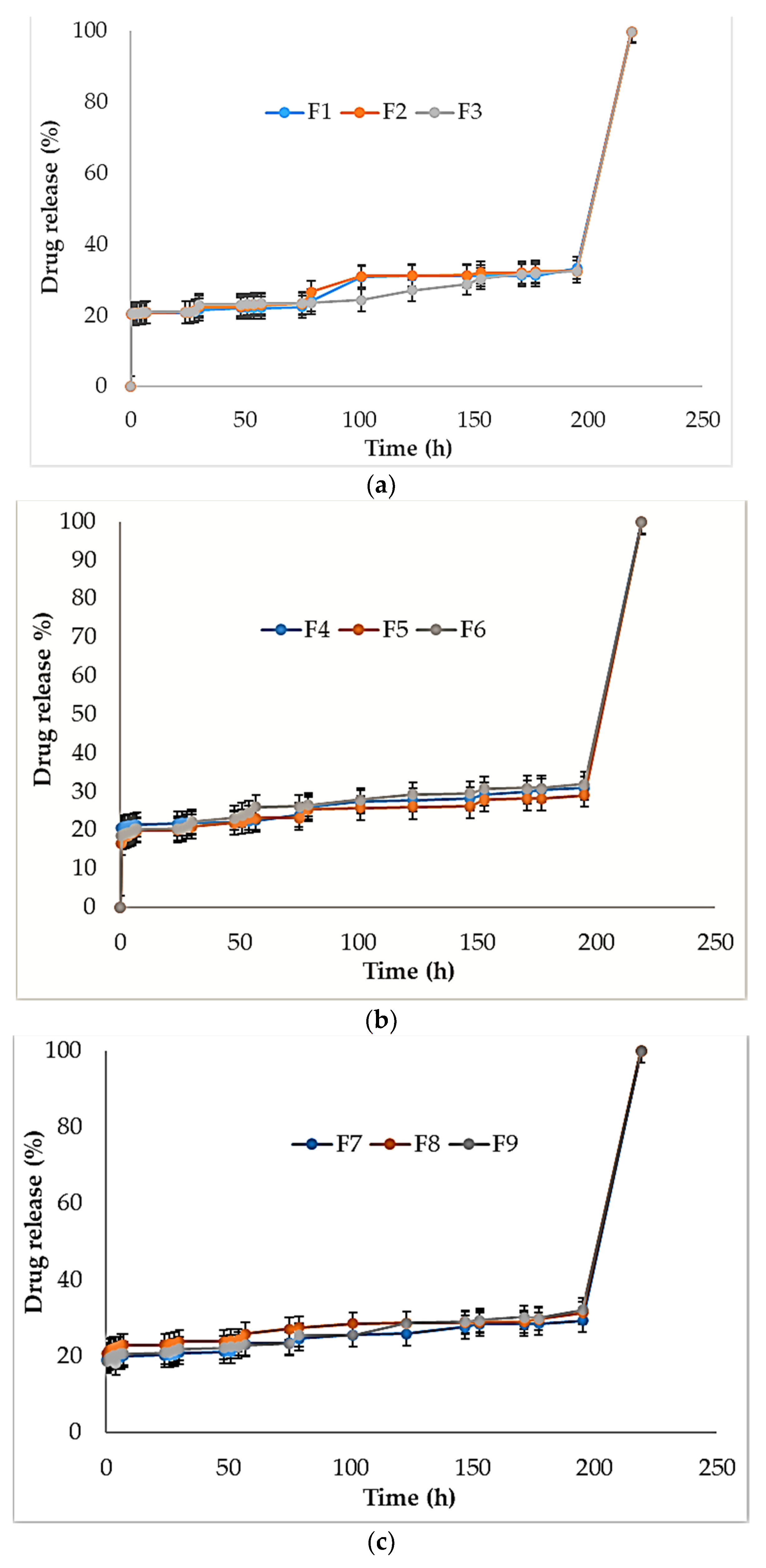
3.12. Drug Release
3.13. Kinetics of Drug Release
3.13.1. Drug Release Kinetics
- W0 is the initial amount of drug in the dosage form
- Wt is the remaining amount of drug in the dosage form at time t
- KHCt is a constant incorporating the surface–volume relation.
3.13.2. In Vitro Skin Permeation Studies
3.13.3. Kinetics of Drug Permeation
4. Conclusions
Author Contributions
Funding
Institutional Review Board Statement
Informed Consent Statement
Data Availability Statement
Acknowledgments
Conflicts of Interest
References
- Keservani, R.K.; Sharma, A.K.; Jarouliva, U. Protein in Drug Targeting and its Therapeutic Approach. Ars. Pharm. 2015, 56, 165–177. [Google Scholar] [CrossRef]
- Bruno, B.J.; Miller, G.D.; Lim, C.S. Basics and recent advances in peptide and protein drug delivery. Ther. Deliv. 2013, 4, 1443–1467. [Google Scholar] [CrossRef]
- Alkilani, A.Z.; McCrudden, M.T.C.; Donnelly, R.F. Transdermal Drug Delivery: Innovative Pharmaceutical Developments Based on Disruption of the Barrier Properties of the stratum corneum. Pharmaceutics 2015, 7, 438–470. [Google Scholar] [CrossRef]
- Pawłowska, S.; Rinoldi, C.; Nakielski, P.; Ziai, Y.; Urbanek, O.; Li, X.; Kowalewski, T.A.; Ding, B.; Pierini, F. Ultraviolet Light-Assisted Electrospinning of Core–Shell Fully Cross-Linked P(NIPAAm-co-NIPMAAm) Hydrogel-Based Nanofibers for Thermally Induced Drug Delivery Self-Regulation. Adv. Mater. Interfaces 2020, 7, 2000247. [Google Scholar] [CrossRef]
- Nakielski, P.; Pawłowska, S.; Rinoldi, C. Multifunctional Platform Based on Electrospun Nanofibers and Plasmonic Hydrogel: A Smart Nanostructured Pillow for Near-Infrared Light-Driven Biomedical Applications. ACS Appl. Mater. Interfaces 2020, 49, 54328–54342. [Google Scholar] [CrossRef]
- El-Boubbou, K.; Huang, X. Glyco-nanomaterials: Translating insights from the “sugar-code” to biomedical applications. Curr. Med. Chem. 2011, 18, 2060–2078. [Google Scholar] [CrossRef] [PubMed]
- Zheng, Y.; Monty, J.; Linhardt, R.J. Polysaccharide-based nanocomposites and their applications. Carbohydr. Res. 2015, 405, 23–32. [Google Scholar] [CrossRef]
- Suh, J.-K.F.; Matthew, H.W. Application of chitosan-based polysaccharide biomaterials in cartilage tissue engineering: A review. Biomaterials 2000, 21, 2589–2598. [Google Scholar] [PubMed]
- Liu, L.; Liu, L.; Liu, C.-K.; Fishman, M.L.; Hicks, K.B. Composite films from pectin and fish skin gelatin or soybean flour protein. J. Agric. Food Chem. 2007, 55, 2349–2355. [Google Scholar] [CrossRef]
- Dumitriu, S. Polysaccharides: Structural Diversity and Functional Versatility; CRC Press: Boca Raton, FL, USA, 2004. [Google Scholar]
- Crini, G. Recent developments in polysaccharide-based materials used as adsorbents in wastewater treatment. Prog. Polym. Sci. 2005, 30, 38–70. [Google Scholar] [CrossRef]
- Stanton, J.; Xue, Y.; Pandher, P.; Malek, L.; Brown, T.; Hu, X.; Salas-de la Cruz, D. Impact of ionic liquid type on the structure, morphology and properties of silk-cellulose biocomposite materials. Int. J. Biol. Macromol. 2018, 108, 333–341. [Google Scholar] [CrossRef]
- Malviya, R.; Sharma, P.K.; Dubey, S.K. Efficiency of self-assembled etoricoxib containing polyelectrolyte complex stabilized cubic nanoparticles against human cancer cells. Precis. Med. Sci. 2020, 9, 9–20. [Google Scholar] [CrossRef]
- Bansal, V.; Sharma, P.K.; Sharma, N.; Pal, O.P.; Malviya, R. Application of chitosan and chitosan derivatives in drug delivery. Adv. Biol. Res. 2011, 5, 28–37. [Google Scholar]
- Paluszkiewicz, C.; Stodolak, E.; Hasik, M.; Blazewicz, M. FT-IR study of montmorillonite-chitosan nanocomposite materials. Spectrochim Acta A Mol. Biomol. Spectrosc. 2011, 79, 784–788. [Google Scholar] [CrossRef]
- Sharma, C.; Dinda, A.K.; Potdar, P.D.; Mishra, N.C. Fabrication of quaternary composite scaffold from silk fibroin, chitosan, gelatin, and alginate for skin regeneration. J. Appl. Polym. Sci. 2015, 132, 1–12. [Google Scholar] [CrossRef]
- Malviya, R.; Raj, S.; Fuloria, S.; Subramaniyan, V.; Sathasivam, K.; Kumar, U.; Unnikrishnan, D.; Porwal, O.; Kumar, D.H.; Singh, A.; et al. Evaluation of antitumor efficacy of chitosan-tamarind gum polysaccharide polyelectrolyte complex stabilized nanoparticles of simvastatin. Int. J. Nanomedicine 2021, 16, 2533–2553. [Google Scholar] [CrossRef]
- Bangale, G.S.; Stephen, R.B.; Rajesh, K.S.; Shinde, G.V.; Deepak, U.G.; Rajveer, C.; Kumaraswamy, D.; Panicker, P.S. Design and evaluation of transdermal films of Atenolol. J. Chem. Pharm. Res. 2010, 2, 595–596. [Google Scholar]
- Verma, P.R.P.; Iyer, S.S. Transdermal delivery of propranolol using mixed grades of eudragit, Design and in vitro and in vivo evaluation. Drug Deliv. Indian Pharm. 2000, 26, 471–476. [Google Scholar] [CrossRef] [PubMed]
- Lewis, S.; Pandey, S.; Udupa, N. Design and evaluation of matrix type and membrane controlled transdermal delivery systems of nicotine suitable for use in smoking cessation. Indian J. Pharm. Sci. 2006, 68, 179–184. [Google Scholar] [CrossRef]
- Bharkatiya, M.; Nema, R.K.; Bhatnagar, M. Designing and characterization of drug free patches for transdermal application. Int. J. Pharm. Sci. Drug Res. 2010, 2, 35–39. [Google Scholar]
- Costa, P.; Ferreria, D.C.; Morgado, R.; Sousa, L.J.M. Design and evaluation of a lorazepam transdermal delivery system. Drug Deliv. Indian Pharm. 1997, 23, 939–944. [Google Scholar] [CrossRef]
- Bagyalakshmi, J.; Vamsikrishna, R.P.; Manavalan, R.; Ravi, T.K.; Manna, P.K. Formulation development and in vitro and in vivo evaluation of membrane-moderated transdermal systems of ampicillin sodium in ethanol: PH 4.7 buffer solvent system. AAPS Pharm. Sci. Tech. 2007, 8, E1–E6. [Google Scholar] [CrossRef] [PubMed][Green Version]
- Aggrawal, G.; Dhawan, S. Development, fabrication and evaluation of transdermal drug delivery systema review. Pharmainfo 2009, 7, 1–28. [Google Scholar]
- Keleb, E.; Sharma, R.K.; Mosa, E.B. Transdermal drug delivery system-design and evaluation. Int. J. Adv. Pharm. Sci. 2010, 1, 201–211. [Google Scholar]
- Raghuram, R.K.; Muttalik, S.; Reddy, S. Once-daily sustained release matrix tablets of nicorandil: Formulation and in-vitro evaluation. AAPS Pharm. Sci. Tech. 2003, 4, 480–488. [Google Scholar]
- Shah, V.P.; Lesko, L.J.; Fan, J.; Fleischer, N.; Handerson, J.; Malinowski, H.; Makary, M.; Ouderkirk, L.; Roy, S.; Sathe, P.; et al. FDA guidance for industry: Dissolution testing of immediate release solid oral dosage forms. Dissolution Technol. 1997, 4, 15–22. [Google Scholar] [CrossRef]
- Crank, J. The Mathematics of Diffusion, 2nd ed.; Clarendon Press: Oxford, UK, 1975; pp. 69–88. [Google Scholar]
- Arhewoh, M.I.; Okhamafe, O.A. An overview of site-specific delivery of orally administered proteins/peptides and modelling considerations. J. Med. Biomed. Res. 2004, 3, 7–20. [Google Scholar] [CrossRef]
- Hixson, A.W.; Crowell, J.H. Dependence of Reaction Velocity upon surface and Agitation. Ind. Eng. Chem. 1931, 23, 923–931. [Google Scholar] [CrossRef]
- Rao, P.R.; Diwan, P.V. Formulation and in vitro evaluation of polymeric films of diltiazem hydrochloride and indomethacin for transdermal administration. Drug Dev. Ind. Pharm. 1998, 4, 327–336. [Google Scholar]
- Kumar De, P.; Mallick, S.; Mukherjee, B.; Sengupta, S.; Pattnaik, S.; Chakraborty, S. Optimization of In-Vitro Permeation Pattern of Ketorolac Tromethamine Transdermal Patches. Iran J. Pharm. Res. 2011, 10, 193–201. [Google Scholar] [PubMed]
- Sadeq, Z.A.; Rajab, N.A.; Abd Alhammid, S.N.; Zaki, H. Preparation, in-vitro Evaluation, Mechanical Characterization, and Release Of Nebivelol Hydrochloride as A Transdermal Film using combined Eudragite-Polyvinyl Alcohol as Adhesive Film Forming Polymer. J. Pharm. Sci. Res. 2019, 11, 1052–1055. [Google Scholar]
- Kaur, R.; Sharma, A.; Puri, V.; Singh, I. Preparation and characterization of biocomposite films of carrageenan/locust bean gum/montmorrillonite for transdermal delivery of curcumin. BioImpacts 2019, 9, 37–43. [Google Scholar] [CrossRef] [PubMed]
- Martins, J.T.; Souza, W.S.; Vicente, A.A. Biocomposite films based on κ-carrageenan/locust bean gum blends and clays: Physical and antimicrobial properties. Food Bioprocess Tech. 2013, 6, 2081–2092. [Google Scholar] [CrossRef]
- Salcedo, I.; Aguzzi, C.; Sandri, G.; Bonferoni, M.C.; Mori, M.; Cerezo, P.; Sánchez, R.; Viseras, C.; Caramella, C. In vitro biocompatibility and mucoadhesion of montmorillonite chitosan nanocomposite: A new drug delivery. Appl. Clay Sci. 2012, 55, 131–137. [Google Scholar] [CrossRef]
- Depan, D.; Kumar, A.P.; Singh, R.P. Cell proliferation and controlled drug release studies of nanohybrids based on chitosan-g-lactic acid and montmorillonite. Acta Biomater. 2009, 5, 93–100. [Google Scholar] [CrossRef]
- Rao, M.R.; Sonavane, V.; Kulkarni, S.; Magar, M.; Zope, A.; Karanjkar, P. Design of transdermal patch of ketoprofen by full factorial design for treatment of rheumatoid arthritis. J. Drug Deliv. 2019, 9, 197–205. [Google Scholar] [CrossRef]
- Zhang, B.X.; Azuma, J.I.; Uyama, H. Preparation and characterization of a transparent amorphous cellulose film. RSC Adv. 2015, 5, 2900–2907. [Google Scholar] [CrossRef]
- Thakur, G.; Singh, A.; Singh, I. Formulation and evaluation of transdermal composite films of chitosan-montmorillonite for the delivery of curcumin. Int. J. Pharm. Investig. 2016, 6, 23–31. [Google Scholar]
- Subramanian, K.; Indumathi, S.; Vijayakumar, V. Fabrication and Evaluation of Chitosan-Gelatin Composite Film As a Drug Carrier for in Vitro Transdermal Delivery. Int. J. Pharm. Sci. Res. 2014, 5, 438. [Google Scholar]
















| S. No. | TGP (mg) | Ct (mg) |
|---|---|---|
| 1. | 100 | 150 |
| 2. | 100 | 100 |
| 3. | 100 | 50 |
| 4. | 200 | 150 |
| 5. | 200 | 100 |
| 6. | 200 | 50 |
| 7. | 150 | 150 |
| 8. | 150 | 100 |
| 9. | 150 | 50 |
| Formulation | Folding Endurance | Thickness (mm) | pH | Weight Variation (gm) | Drug Content (%) | Moisture Intake (%) | Moisture Uptake (%) |
|---|---|---|---|---|---|---|---|
| F1 | >300 | 1.03 ± 0.001 | 6.7 ± 0.001 | 0.35 ± 0.003 | 96.0 ± 1.43 | 2.83 ± 0.002 | 5.33 ± 0.24 |
| F2 | >300 | 1.02 ± 0.001 | 6.2 ± 0.001 | 0.36 ± 0.001 | 96.8 ± 1.64 | 3.12 ± 0.001 | 8.12 ± 0.31 |
| F3 | >300 | 1.00 ± 0.011 | 6.1 ± 0.001 | 0.39 ± 0.002 | 97.4 ± 0.89 | 3.21 ± 0.002 | 7.21 ± 0.60 |
| F4 | >300 | 1.02 ± 0.001 | 5.8 ± 0.001 | 0.41 ± 0.002 | 97.7 ± 1.02 | 3.45 ± 0.003 | 5.45 ± 0.46 |
| F5 | >300 | 1.04 ± 0.001 | 6.0 ± 0.001 | 0.38 ± 0.003 | 96.5 ± 1.86 | 3.38 ± 0.002 | 6.38 ± 0.22 |
| F6 | >300 | 1.03 ± 0.001 | 6.2 ± 0.001 | 0.34 ± 0.002 | 98.0 ± 1.33 | 2.94 ± 0.001 | 7.94 ± 0.63 |
| F7 | >300 | 1.02 ± 0.067 | 6.5 ± 0.001 | 0.40 ± 0.003 | 97.3 ± 0.98 | 3.30 ± 0.001 | 7.30 ± 0.37 |
| F8 | >300 | 1.01 ± 0.031 | 5.7 ± 0.001 | 0.47 ± 0.001 | 96.3 ± 2.03 | 3.76 ± 0.001 | 10.02 ± 0.58 |
| F9 | >300 | 1.08 ± 0.033 | 6.3 ± 0.001 | 0.42 ± 0.002 | 97.4 ± 0.87 | 3.42 ± 0.002 | 7.44 ± 0.32 |
| Formulation | % Drug Release (before 5 Days) | % Drug Release (between 5 to 6 Days) | % Drug Permeation (before 5 Days) | % Drug Permeation (between 5 to 6 Days) |
|---|---|---|---|---|
| F1 | 15.87 ± 1.34 | 78.33 ± 3.13 | 15.78 ± 1.23 | 77.93 ± 3.20 |
| F2 | 13.75 ± 1.64 | 73.78 ± 4.23 | 12.73 ± 1.54 | 72.69 ± 4.21 |
| F3 | 21.65 ± 2.54 | 72.67 ± 2.13 | 20.55 ± 2.49 | 71.93 ± 2.08 |
| F4 | 17.89 ± 2.42 | 73.52 ± 3.53 | 16.92 ± 2.38 | 71.49 ± 3.21 |
| F5 | 22.54 ± 1.34 | 74.45 ±3.63 | 22.49 ± 1.29 | 74.39 ± 2.11 |
| F6 | 19.28 ± 1.44 | 74.56 ± 2.84 | 19.21 ± 1.12 | 74.47 ± 1.96 |
| F7 | 18.33 ± 1.75 | 78.32 ± 4.75 | 17.15 ± 1.44 | 77.331 ± 4.62 |
| F8 | 20.5 ± 1.38 | 76.29 ± 3.12 | 18.22 ± 1.16 | 73.46 ± 3.53 |
| F9 | 16.4 ± 1.67 | 77.53 ± 2.11 | 21.42 ± 1.55 | 75.18 ± 2.16 |
| Formulation | Time (Drug Release) | Time (Permeation) | ||
|---|---|---|---|---|
| T50% (h) | T80%(h) | T50%(h) | T80% (h) | |
| F1 | 200 | 210 | 200 | 210 |
| F2 | 200 | 210 | 200 | 210 |
| F3 | 200 | 210 | 200 | 210 |
| F4 | 181 | 190 | 201 | 211 |
| F5 | 200 | 210 | 201 | 211 |
| F6 | 200 | 210 | 200 | 210 |
| F7 | 201 | 211 | 201 | 211 |
| F8 | 201 | 211 | 201 | 211 |
| F9 | 180 | 190 | 200 | 210 |
| Formulation | Kinetics | ||||||||||||
|---|---|---|---|---|---|---|---|---|---|---|---|---|---|
| Zero Order Kinetics | First Order Kinetics | Higuchi Kinetics | Baker Lonsdale Kinetics | Hixson–Crowell Kinetics | Kosermeyer–Peppas Kinetics | ||||||||
| R2 | K0 | R2 | K0 | R2 | K0 | R2 | K0 | R2 | K0 | R2 | K0 | n | |
| F1 | 0.478 | 0.161 | 0.304 | 0.006 | 0.393 | 1.300 | 0.907 | 0.255 | 0.899 | 0.001 | 0.612 | 5.670 | 0.090 |
| F2 | 0.485 | 0.161 | 0.304 | 0.006 | 0.405 | 1.306 | 0.907 | 0.255 | 0.930 | 0.001 | 0.669 | 5.656 | 0.095 |
| F3 | 0.443 | 0.153 | 0.279 | 0.006 | 0.360 | 1.317 | 0.903 | 0.256 | 0.958 | 0.001 | 0.656 | 5.487 | 0.079 |
| F4 | 0.419 | 0.150 | 0.264 | 0.006 | 0.342 | 1.328 | 0.924 | 0.213 | 0.964 | 0.001 | 0.668 | 5.365 | 0.073 |
| F5 | 0.419 | 0.150 | 0.698 | 0.022 | 0.352 | 1.277 | 0.924 | 0.213 | 0.948 | 0.001 | 0.855 | 6.008 | 0.089 |
| F6 | 0.547 | 0.176 | 0.698 | 0.022 | 0.467 | 1.265 | 0.907 | 0.232 | 0.880 | 0.001 | 0.747 | 6.214 | 0.123 |
| F7 | 0.414 | 0.148 | 0.698 | 0.022 | 0.340 | 1.297 | 0.909 | 0.239 | 0.968 | 0.001 | 0.739 | 5.735 | 0.079 |
| F8 | 0.395 | 0.142 | 0.698 | 0.022 | 0.333 | 1.375 | 0.914 | 0.261 | 0.935 | 0.000 | 0.799 | 4.984 | 0.067 |
| F9 | 0.452 | 0.155 | 0.698 | 0.022 | 0.934 | 1.392 | 0.912 | 0.235 | 0.975 | 0.001 | 0.777 | 5.793 | 0.090 |
| Formulation | Kinetics | ||||||||||||
|---|---|---|---|---|---|---|---|---|---|---|---|---|---|
| Zero Order Kinetics | First Order Kinetics | Higuchi Kinetics | Baker Lonsdale Kinetics | Hixson–Crowell Kinetics | Kosermeyer–Peppas Kinetics | ||||||||
| R2 | K0 | R2 | K0 | R2 | K0 | R2 | K0 | R2 | K0 | R2 | K0 | n | |
| F1 | 0.393 | 0.144 | 0.258 | 0.004 | 0.308 | 1.309 | 0.904 | 0.251 | 0.872 | 0.000 | 0.511 | 5.938 | 0.061 |
| F2 | 0.456 | 0.157 | 0.297 | 0.004 | 0.369 | 1.291 | 0.909 | 0.240 | 0.939 | 0.001 | 0.634 | 5.717 | 0.084 |
| F3 | 0.437 | 0.153 | 0.281 | 0.004 | 0.352 | 1.300 | 0.911 | 0.240 | 0.859 | 0.001 | 0.604 | 5.584 | 0.077 |
| F4 | 0.391 | 0.143 | 0.256 | 0.004 | 0.323 | 1.312 | 0.908 | 0.239 | 0.978 | 0.000 | 0.844 | 5.579 | 0.073 |
| F5 | 0.390 | 0.143 | 0.257 | 0.004 | 0.321 | 1.309 | 0.909 | 0.237 | 0.979 | 0.000 | 0.825 | 5.584 | 0.073 |
| F6 | 0.471 | 0.159 | 0.308 | 0.004 | 0.403 | 1.285 | 0.908 | 0.232 | 0.970 | 0.001 | 0.844 | 5.997 | 0.104 |
| F7 | 0.414 | 0.148 | 0.277 | 0.004 | 0.340 | 1.294 | 0.907 | 0.238 | 0.974 | 0.001 | 0.755 | 5.767 | 0.080 |
| F8 | 0.392 | 0.141 | 0.234 | 0.004 | 0.331 | 1.367 | 0.913 | 0.255 | 0.938 | 0.000 | 0.84 | 5.046 | 0.068 |
| F9 | 0.451 | 0.155 | 0.292 | 0.004 | 0.373 | 1.297 | 0.907 | 0.240 | 0.980 | 0.001 | 0.750 | 5.727 | 0.088 |
Publisher’s Note: MDPI stays neutral with regard to jurisdictional claims in published maps and institutional affiliations. |
© 2021 by the authors. Licensee MDPI, Basel, Switzerland. This article is an open access article distributed under the terms and conditions of the Creative Commons Attribution (CC BY) license (https://creativecommons.org/licenses/by/4.0/).
Share and Cite
Malviya, R.; Tyagi, A.; Fuloria, S.; Subramaniyan, V.; Sathasivam, K.; Sundram, S.; Karupiah, S.; Chakravarthi, S.; Meenakshi, D.U.; Gupta, N.; et al. Fabrication and Characterization of Chitosan—Tamarind Seed Polysaccharide Composite Film for Transdermal Delivery of Protein/Peptide. Polymers 2021, 13, 1531. https://doi.org/10.3390/polym13091531
Malviya R, Tyagi A, Fuloria S, Subramaniyan V, Sathasivam K, Sundram S, Karupiah S, Chakravarthi S, Meenakshi DU, Gupta N, et al. Fabrication and Characterization of Chitosan—Tamarind Seed Polysaccharide Composite Film for Transdermal Delivery of Protein/Peptide. Polymers. 2021; 13(9):1531. https://doi.org/10.3390/polym13091531
Chicago/Turabian StyleMalviya, Rishabha, Anchal Tyagi, Shivkanya Fuloria, Vetriselvan Subramaniyan, Kathiresan Sathasivam, Sonali Sundram, Sundram Karupiah, Srikumar Chakravarthi, Dhanalekshmi Unnikrishnan Meenakshi, Nandan Gupta, and et al. 2021. "Fabrication and Characterization of Chitosan—Tamarind Seed Polysaccharide Composite Film for Transdermal Delivery of Protein/Peptide" Polymers 13, no. 9: 1531. https://doi.org/10.3390/polym13091531
APA StyleMalviya, R., Tyagi, A., Fuloria, S., Subramaniyan, V., Sathasivam, K., Sundram, S., Karupiah, S., Chakravarthi, S., Meenakshi, D. U., Gupta, N., Sekar, M., Sudhakar, K., & Fuloria, N. K. (2021). Fabrication and Characterization of Chitosan—Tamarind Seed Polysaccharide Composite Film for Transdermal Delivery of Protein/Peptide. Polymers, 13(9), 1531. https://doi.org/10.3390/polym13091531

