Electrodeposited Copolymers Based on 9,9′-(5-Bromo-1,3-phenylene)biscarbazole and Dithiophene Derivatives for High-Performance Electrochromic Devices
Abstract
1. Introduction
2. Experimental
2.1. Materials
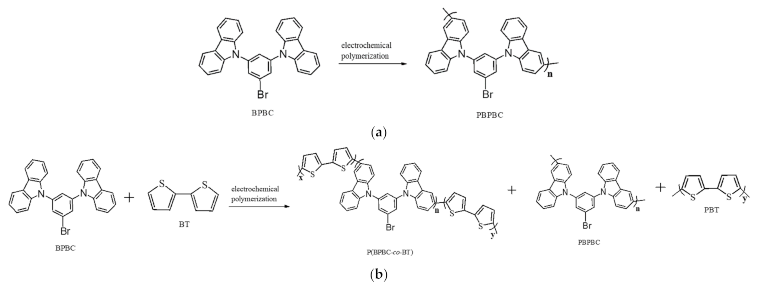
2.2. Synthesis of BPBC
2.3. Preparation of Electrolyte and Assembly of the ECDs
2.4. Electrochemical, Optical, and Electrochromic Properties
3. Results and Discussion
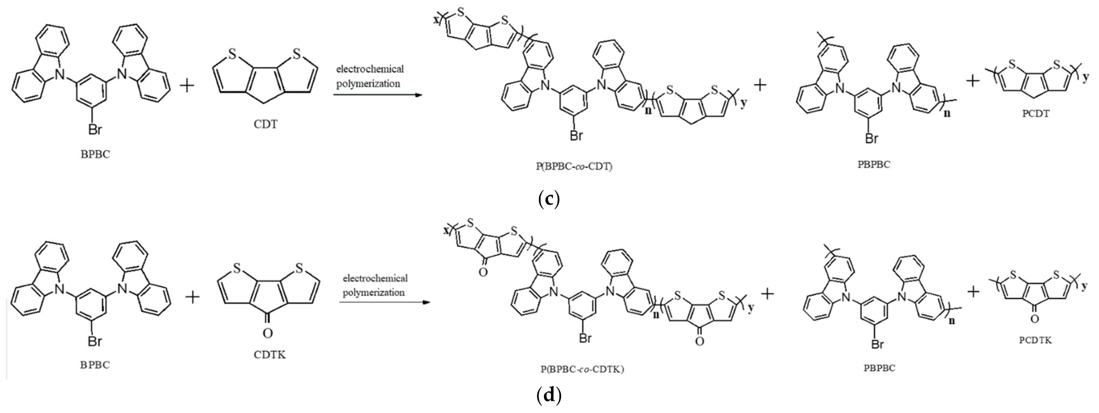
3.1. Electrochemical Characterization
3.2. Spectral Characterization of Electrodes
3.3. Kinetics Studies of Polymeric Coloring and Bleaching
3.4. Photoluminescence of Polymers
3.5. Spectral Characterization of ECDs
3.6. Kinetics Studies of ECDs’ Coloring and Bleaching
3.7. Optical Memory of ECDs
3.8. Redox Stability of ECDs
4. Conclusions
Supplementary Materials
Author Contributions
Funding
Institutional Review Board Statement
Informed Consent Statement
Data Availability Statement
Conflicts of Interest
References
- Fong, K.D.; Wang, T.; Smoukov, S.K. Multidimensional performance optimization of conducting polymer-based supercapacitor electrodes. Sustain. Energy Fuels 2017, 1, 1857–1874. [Google Scholar] [CrossRef]
- Fu, W.C.; Hsieh, Y.T.; Wu, T.Y.; Sun, I.W. Electrochemical preparation of porous poly(3,4-ethylenedioxythiophene) electrodes from room temperature ionic liquids for supercapacitors. J. Electrochem. Soc. 2016, 163, G61–G68. [Google Scholar] [CrossRef]
- Chua, M.H.; Zhu, Q.; Tang, T.; Shah, K.W.; Xu, J.W. Diversity of electron acceptor groups in donor–acceptor type electrochromic conjugated polymers. Sol. Energy Mater. Sol. Cells 2019, 197, 32–75. [Google Scholar] [CrossRef]
- Liu, G.; Liu, Y.; Zhang, M.; Pettersson, F.; Toivakka, M. Fabrication of all-solid organic electrochromic devices on absorptive paper substrates utilizing a simplified lateral architecture. Materials 2020, 13, 4839. [Google Scholar]
- Wu, T.-Y.; Tung, Y.-H. Phenylthiophene-containing poly(2,5-dithienylpyrrole)s as potential anodic layers for high-contrast electrochromic devices. J. Electrochem. Soc. 2018, 165, H183–H195. [Google Scholar] [CrossRef]
- Alesanco, Y.; Viñuales, A.; Rodriguez, J.; Tena-Zaera, R. All-in-one gel-based electrochromic devices: Strengths and recent developments. Materials 2018, 11, 414. [Google Scholar] [CrossRef]
- Su, Y.S.; Chang, J.C.; Wu, T.Y. Applications of three dithienylpyrroles-based electrochromic polymers in high-contrast electrochromic devices. Polymers 2017, 9, 114. [Google Scholar] [CrossRef]
- Hsu, C.-Y.; Chiang, C.-C.; Wen, H.-Y.; Weng, J.-J.; Chen, J.-L.; Chen, T.-H.; Chen, Y.-H. Long-period fiber grating sensor based on a conductive polymer functional layer. Polymers 2020, 12, 2023. [Google Scholar]
- Spychalska, K.; Zajac, D.; Baluta, S.; Halicka, K.; Cabaj, J. Functional polymers structures for (bio)sensing application—A review. Polymers 2020, 12, 1154. [Google Scholar] [CrossRef]
- Jian, K.-S.; Chang, C.-J.; Wu, J.-J.; Chang, Y.-C.; Tsay, C.-Y.; Chen, J.-H.; Horng, T.-L.; Lee, G.-J.; Karuppasamy, L.; Anandan, S.; et al. High response CO sensor based on a polyaniline/SnO2 nanocomposite. Polymers 2019, 11, 184. [Google Scholar]
- Ghosh, S.; Das, S.; Mosquera, M.E.G. Conducting polymer-based nanohybrids for fuel cell application. Polymers 2020, 12, 2993. [Google Scholar] [CrossRef]
- He, F.-G.; Du, B.; Sharma, G.; Stadler, F.J. Highly efficient polydopamine-coated poly(methyl methacrylate) nanofiber supported platinum–nickel bimetallic catalyst for formaldehyde oxidation at room temperature. Polymers 2019, 11, 674. [Google Scholar]
- Wu, T.Y.; Chen, P.R.; Chen, H.R.; Kuo, C.W. Preparation of Pt/poly(aniline-co-orthanilic acid)s nanocomposites and their applications for electrocatalytic oxidation of methanol. J. Taiwan Inst. Chem. Eng. 2016, 58, 458–466. [Google Scholar] [CrossRef]
- Hamui, L.; Sánchez-Vergara, M.E.; Corona-Sánchez, R.; Jiménez-Sandoval, O.; Álvarez-Toledano, C. Innovative incorporation of poly(3,4-ethylenedioxythiophene)-poly(styrenesulfonate) as hole carrier transport layer and as anode for organic solar cells performance improvement. Polymers 2020, 12, 2808. [Google Scholar] [CrossRef]
- Deng, C.; Wan, L.; Li, S.; Tao, L.; Wang, S.N.; Zhang, W.; Fang, J.; Fu, Z.; Song, W. Naphthalene diimide based polymer as electron transport layer in inverted perovskite solar cells. Org. Electron. 2020, 87, 105959. [Google Scholar] [CrossRef]
- Fidyk, J.; Waliszewski, W.; Sleczkowski, P.; Kiersnowski, A.; Pisula, W.; Marszalek, T. Switching from electron to hole transport in solution-processed organic blend field-effect transistors. Polymers 2020, 12, 2662. [Google Scholar] [CrossRef]
- Jo, G.; Jung, J.; Chang, M. Controlled self-assembly of conjugated polymers via a solvent vapor pre-treatment for use in organic field-effect transistors. Polymers 2019, 11, 332. [Google Scholar] [CrossRef]
- Popovici, D.; Diaconu, A.; Rotaru, A.; Marin, L. Microwave-assisted synthesis of an alternant poly(fluorene–oxadiazole). synthesis, properties, and white light-emitting devices. Polymers 2019, 11, 1562. [Google Scholar] [CrossRef]
- Lin, C.-C.; Yeh, S.-Y.; Huang, W.-L.; Xu, Y.-X.; Huang, Y.-S.; Yeh, T.-H.; Tien, C.-H.; Chen, L.-C.; Tseng, Z.-L. Using thermally crosslinkable hole transporting layer to improve interface characteristics for perovskite CsPbBr3 quantum-dot light-emitting diodes. Polymers 2020, 12, 2243. [Google Scholar] [CrossRef]
- Zhang, Q.; Wang, P.-I.; Ong, G.L.; Tan, S.H.; Tan, Z.W.; Hii, Y.H.; Wong, Y.L.; Cheah, K.S.; Yap, S.L.; Ong, T.S.; et al. Photophysical and electroluminescence characteristics of polyfluorene derivatives with triphenylamine. Polymers 2019, 11, 840. [Google Scholar] [CrossRef]
- Kline, W.M.; Lorenzini, R.G.; Sotzing, G.A. A review of organic electrochromic fabric devices. Color Technol. 2014, 130, 73–80. [Google Scholar] [CrossRef]
- Park, B.R.; Hong, J.; Choi, E.J.; Choi, Y.J.; Lee, C.; Moon, J.W. Improvement in energy performance of building envelope incorporating electrochromic windows (ECWs). Energies 2019, 12, 1181. [Google Scholar] [CrossRef]
- Mortimer, R.G. Electrochromic materials. Chem. Soc. Rev. 1997, 26, 147–156. [Google Scholar] [CrossRef]
- Shah, K.W.; Wang, S.-X.; Soo, D.X.Y.; Xu, J. Viologen-based electrochromic materials: From small molecules, polymers and composites to their applications. Polymers 2019, 11, 1839. [Google Scholar] [CrossRef]
- Chua, M.H.; Zhu, Q.; Shah, K.W.; Xu, J. Electroluminochromic materials: From molecules to polymers. Polymers 2019, 11, 98. [Google Scholar] [CrossRef]
- Hsiao, S.-H.; Lu, H.Y. Electrosynthesis and photoelectrochemistry of bis(triarylamine)-based polymer electrochromes. J. Electrochem. Soc. 2018, 165, H638–H645. [Google Scholar] [CrossRef]
- Kuo, C.-W.; Chang, J.-C.; Huang, Y.-T.; Chang, J.-K.; Lee, L.-T.; Wu, T.-Y. Applications of copolymers consisting of 2,6-di(9H-carbazol-9-yl)pyridine and 3,6-di(2-thienyl)carbazole units as electrodes in electrochromic devices. Materials 2019, 12, 1251. [Google Scholar] [CrossRef]
- Guzel, M.; Karataş, E.; Ak, M. A new way to obtain black electrochromism: Appropriately covering whole visible regions by absorption spectra of copolymers composed of EDOT and carbazole derivatives. Smart Mater. Struct. 2019, 28, 025013. [Google Scholar] [CrossRef]
- Jiang, M.; Sun, Y.; Ning, J.; Chen, Y.; Wu, Y.; Hu, Z.; Shuja, A.; Meng, H. Diphenyl sulfone based multicolored cathodically coloring electrochromic materials with high contrast. Org. Electron. 2020, 83, 105741. [Google Scholar] [CrossRef]
- Hu, B.; Li, C.-Y.; Chu, J.-W.; Liu, Z.-C.; Zhang, X.-L.; Jin, L. Electrochemical and electrochromic properties of polymers based on 2,5-di(2-thienyl)-1H-pyrrole and different phenothiazine units. J. Electrochem. Soc. 2019, 166, H1–H11. [Google Scholar] [CrossRef]
- Apetrei, R.-M.; Camurlu, P. Review—functional platforms for (bio)sensing: Thiophene-pyrrole hybrid polymers. J. Electrochem. Soc. 2020, 167, 037557. [Google Scholar] [CrossRef]
- Kuo, C.-W.; Wu, T.-Y.; Fan, S.-C. Applications of poly(indole-6-carboxylic acid-co-2,2′-bithiophene) films in high-contrast electrochromic devices. Coatings 2018, 8, 102. [Google Scholar] [CrossRef]
- Kuo, C.W.; Wu, T.Y.; Huang, M.W. Electrochromic characterizations of copolymers based on 4,4′-bis(N-carbazolyl)-1,1′-biphenyl and indole-6-carboxylic acid and their applications in electrochromic devices. J. Taiwan Inst. Chem. Eng. 2016, 68, 481–488. [Google Scholar] [CrossRef]
- Popov, A.; Brasiunas, B.; Damaskaite, A.; Plikusiene, I.; Ramanavicius, A.; Ramanaviciene, A. Electrodeposited gold nanostructures for the enhancement of electrochromic properties of PANI–PEDOT film deposited on transparent electrode. Polymers 2020, 12, 2778. [Google Scholar] [CrossRef]
- Xu, D.; Wang, W.; Shen, H.; Huang, A.; Yuan, H.; Xie, J.; Bao, S.; He, Y.; Zhang, T.; Chen, X. Effect of counter anion on the uniformity, morphology and electrochromic properties of electrodeposited poly(3,4-ethylenedioxythiophene) film. J. Electroanal. Chem. 2020, 861, 113833. [Google Scholar] [CrossRef]
- Qian, L.; Lv, X.; Ouyang, M.; Tameev, A.; Bi, Q.; Zha, L.; Xu, X.; Zhang, C. The influence of pendent anions on electrochemical and electrochromic properties of thiophene-triphenylamine-based polymeric ionic liquids. J. Electrochem. Soc. 2020, 167, 066506. [Google Scholar] [CrossRef]
- Hsiao, S.-H.; Liao, W.-K.; Liou, G.-S. Synthesis and electrochromism of highly organosoluble polyamides and polyimides with bulky trityl-substituted triphenylamine units. Polymers 2017, 9, 511. [Google Scholar] [CrossRef]
- Wu, T.Y.; Li, J.L. Electrochemical synthesis, optical, electrochemical and electrochromic characterizations of indene and 1,2,5-thiadiazole-based poly(2,5-dithienylpyrrole) derivatives. RSC Adv. 2016, 6, 15988–15998. [Google Scholar] [CrossRef]
- Zhang, Y.; Liu, F.; Hou, Y.; Niu, H. Soluble high coloration efficiency electrochromic polymers based on (N-phenyl)carbazole, triphenylamine and 9,9-dioctyl-9H-fluorene. Synth. Met. 2019, 247, 81–89. [Google Scholar] [CrossRef]
- Guzel, M.; Ak, M. A solution-processable electrochromic polymer designed with Reactive Yellow 160 and 2-hydroxy carbazole. Org. Electron. 2019, 75, 105436. [Google Scholar] [CrossRef]
- Kuo, C.W.; Chang, J.K.; Lin, Y.C.; Wu, T.Y.; Lee, P.Y.; Ho, T.H. Poly(tris(4-carbazoyl-9-ylphenyl)amine)/three poly(3,4-ethylenedioxythiophene) derivatives in complementary high-contrast electrochromic devices. Polymers 2017, 9, 543. [Google Scholar] [CrossRef]
- Wang, W.-H.; Chang, J.-C.; Lee, P.-Y.; Lin, Y.-C.; Wu, T.-Y. 4-(Trifluoromethoxy)phenyl-containing polymers as promising anodic materials for electrochromic devices. Coatings 2020, 10, 1251. [Google Scholar] [CrossRef]
- Kuo, C.W.; Chen, B.K.; Li, W.B.; Tseng, L.Y.; Wu, T.Y.; Tseng, C.G.; Chen, H.R.; Huang, Y.C. Effects of supporting electrolytes on spectroelectrochemical and electrochromic properties of polyaniline-poly(styrene sulfonic acid) and poly(ethylenedioxythiophene)-poly(styrene sulfonic acid)-based electrochromic device. J. Chin. Chem. Soc. 2014, 61, 563–570. [Google Scholar] [CrossRef]
- Karon, K.; Lapkowski, M. Carbazole electrochemistry: A short review. J. Solid State Electrochem. 2015, 19, 2601–2610. [Google Scholar] [CrossRef]
- Guzela, M.; Karatasbz, E.; Ak, M. Synthesis and fluorescence properties of carbazole based asymmetric functionalized star shaped polymer. J. Electrochem. Soc. 2017, 164, H49–H55. [Google Scholar] [CrossRef]
- Hacioglu, S.O.; Yiğit, D.; Ermis, E.; Soylemez, S.; Güllü, M.; Toppare, L. Syntheses and electrochemical characterization of low oxidation potential nitrogen analogs of pedot as electrochromic materials. J. Electrochem. Soc. 2016, 163, E293–E299. [Google Scholar] [CrossRef]
- Wu, T.-Y.; Chung, H.-H. Applications of tris(4-(thiophen-2-yl)phenyl)amine- and dithienylpyrrole-based conjugated copolymers in high-contrast electrochromic devices. Polymers 2016, 8, 206. [Google Scholar] [CrossRef]
- Koyuncu, S.; Gultekin, B.; Zafer, C.; Bilgili, H.; Can, M.; Demic, S. Electrochemical and optical properties of biphenyl bridged-dicarbazole oligomer films: Electropolymerization and electrochromism. Electrochim. Acta 2009, 54, 5694–5702. [Google Scholar] [CrossRef]
- Chu, T.; Ju, X.; Han, X.; Du, H.; Yan, Z.; Zhao, J.; Zhang, J. Synthesis and electrochromic properties of cross-linked and soluble conjugated polymers based on 5, 8, 14, 7-tetrabromoquinoxaline[2′, 3′:9, 10]phenanthro[4,5-abc]phenazine as the multifunctionalized acceptor unit. Org. Electron. 2019, 73, 43–54. [Google Scholar] [CrossRef]
- Yang, M.H.; Jin, H.C.; Kim, J.H.; Chang, D.W. Synthesis of cyano-substituted conjugated polymers for photovoltaic applications. Polymers 2019, 11, 746. [Google Scholar]
- Tsao, M.H.; Wu, T.Y.; Wang, H.P.; Sun, I.W.; Su, S.G.; Lin, Y.C.; Chang, C.W. An efficient metal free sensitizer for dye-sensitized solar cells. Mater. Lett. 2011, 65, 583–586. [Google Scholar] [CrossRef]
- Zhu, Y.; Otley, M.T.; Alamer, F.A.; Kumar, A.; Zhang, X.; Mamangun, D.M.D.; Li, M.; Arden, B.G.; Sotzing, G.A. Electrochromic properties as a function of electrolyte on the performance of electrochromic devices consisting of a single-layer polymer. Org. Electron. 2014, 15, 1378–1386. [Google Scholar] [CrossRef]
- Kuo, C.W.; Wu, B.W.; Chang, J.K.; Chang, J.C.; Lee, L.T.; Wu, T.Y.; Ho, T.H. Electrochromic devices based on poly(2,6-di(9H-carbazol-9-yl)pyridine)-type polymer films and PEDOT-PSS. Polymers 2018, 10, 604. [Google Scholar] [CrossRef] [PubMed]
- Zhang, Y.; Chen, S.; Zhang, Y.; Du, H.; Zhao, J. Design and characterization of new D–A type electrochromic conjugated copolymers based on indolo[3,2-b]carbazole, isoindigo and thiophene units. Polymers 2019, 110, 1626. [Google Scholar] [CrossRef]
- Hsiao, S.-H.; Lu, H.-Y. Electrosynthesis of aromatic poly(amide-amine) films from triphenylamine-based electroactive compounds for electrochromic applications. Polymers 2017, 9, 708. [Google Scholar] [CrossRef]
- Kung, Y.R.; Cao, S.Y.; Hsiao, S.H. Electrosynthesis and electrochromism of a new crosslinked polydithienylpyrrole with diphenylpyrenylamine subunits. Polymers 2020, 12, 2777. [Google Scholar] [CrossRef]
- Zheng, R.; Huang, T.; Zhang, Z.; Sun, Z.; Niu, H.; Wang, C.; Wang, W. Novel polyimides containing flexible carbazole blocks with electrochromic and electrofluorescencechromic properties. RSC Adv. 2020, 10, 6992. [Google Scholar] [CrossRef]
- Wang, W.H.; Chang, J.C.; Wu, T.Y. 4-(Furan-2-yl)phenyl-containing polydithienylpyrroles as promising electrodes for high contrast and coloration efficiency electrochromic devices. Org. Electron. 2019, 74, 23–32. [Google Scholar] [CrossRef]
- Oral, A.; Koyuncu, S.; Kaya, İ. Polystyrene functionalized carbazole and electrochromic device application. Synth. Met. 2009, 159, 1620–1627. [Google Scholar] [CrossRef]
- Wang, B.; Zhao, J.; Liu, R.; Liu, J.; He, Q. Electrosyntheses, characterizations and electrochromic properties of a copolymer based on 4,4′-di(N-carbazoyl)biphenyl and 2,2′-bithiophene. Sol. Energy Mater. Sol. Cells 2011, 95, 1867–1874. [Google Scholar] [CrossRef]
- Xie, X.; Gao, C.; Du, X.; Zhu, G.; Xie, W.; Liu, P.; Tang, Z. Improved optical and electrochromic properties of NiOx films by low-temperature spin-coating method based on NiOx nanoparticles. Materials 2018, 11, 760. [Google Scholar]
- Kuo, C.-W.; Wu, T.-L.; Lin, Y.-C.; Chang, J.-K.; Chen, H.-R.; Wu, T.-Y. Copolymers based on 1,3-bis(carbazol-9-yl)benzene and three 3,4-ethylenedioxythiophene derivatives as potential anodically coloring copolymers in high-contrast electrochromic devices. Polymers 2016, 8, 368. [Google Scholar] [CrossRef]
- Su, Y.S.; Wu, T.Y. Three carbazole-based polymers as potential anodically coloring materials for high-contrast electrochromic devices. Polymers 2017, 9, 114. [Google Scholar] [CrossRef]
- Wu, T.-Y.; Su, Y.-S.; Chang, J.-C. Dithienylpyrrole- and tris[4-(2-thienyl)phenyl]amine-containing copolymers as promising anodic layers in high-contrast electrochromic devices. Coatings 2018, 8, 164. [Google Scholar] [CrossRef]
- Kuo, C.-W.; Lee, P.-Y. Electrosynthesis of copolymers based on 1,3,5-tris(N-carbazolyl)benzene and 2,2′-bithiophene and their applications in electrochromic devices. Polymers 2017, 9, 518. [Google Scholar] [CrossRef]














| Electrodes | Anodic Polymers | Feed Species | Feed Molar Ratio |
|---|---|---|---|
| (a) | PBPBC | 2 mM BPBC | Neat BPBC |
| (b) | P(BPBC-co-BT) | 2 mM BPBC + 2 mM BT | BPBC:BT = 1:1 |
| (c) | P(BPBC-co-CDT) | 2 mM BPBC + 2 mM CDT | BPBC:CDT = 1:1 |
| (d) | P(BPBC-co-CDTK) | 2 mM BPBC + 2 mM CDTK | BPBC:CDTK = 1:1 |
| Films | E (V) | Graphs | L* | a* | b* | x | y | Diagrams |
|---|---|---|---|---|---|---|---|---|
| (a) | 0.0 | ![]() | 89.69 | 0.54 | 7.65 | 0.3276 | 0.3435 | ![]() |
| 0.4 | ![]() | 89.95 | 0.65 | 7.67 | 0.3278 | 0.3434 | ||
| 0.8 | ![]() | 89.99 | 0.53 | 7.77 | 0.3278 | 0.3437 | ||
| 1.2 | ![]() | 85.23 | −5.22 | 24.64 | 0.3517 | 0.3837 | ||
| (b) | 0.0 | ![]() | 80.69 | 2.86 | 52.78 | 0.4186 | 0.4315 | ![]() |
| 0.4 | ![]() | 80.57 | 3.10 | 52.46 | 0.4186 | 0.4307 | ||
| 0.8 | ![]() | 75.87 | −6.82 | 34.12 | 0.3716 | 0.4118 | ||
| 1.2 | ![]() | 65.37 | −7.54 | 1.76 | 0.303 | 0.3403 | ||
| (c) | 0.0 | ![]() | 55.12 | −11.16 | 0.4 | 0.2904 | 0.3415 | ![]() |
| 0.4 | ![]() | 51.72 | −4.78 | −4.28 | 0.2901 | 0.3208 | ||
| 0.8 | ![]() | 51.92 | 5.07 | 6.13 | 0.3418 | 0.3416 | ||
| 1.1 | ![]() | 40.76 | 16.2 | −0.97 | 0.3519 | 0.3055 | ||
| (d) | 0.0 | ![]() | 70.51 | −6.24 | 18.29 | 0.3424 | 0.379 | ![]() |
| 0.4 | ![]() | 70.68 | −5.98 | 18.03 | 0.3423 | 0.378 | ||
| 0.8 | ![]() | 70.13 | −2.74 | 21.85 | 0.3568 | 0.3839 | ||
| 1.1 | ![]() | 72.39 | −3.64 | 27.8 | 0.3667 | 0.3971 |
| Electrodes | λ (nm) | Tox | Tred | ΔT | ΔOD | Qd (mC cm−2) | η (cm2 C−1) | τc (s) | τb (s) |
|---|---|---|---|---|---|---|---|---|---|
| PBPBC | 1040 | 47.9 | 77.5 | 29.6 | 0.209 | 1.49 | 140.3 | 1.3 | 2.2 |
| 430 | 50.6 | 58.9 | 8.3 | 0.066 | 0.23 | 286.9 | 0.4 | 1.5 | |
| P(BPBC-co-BT) | 1030 | 15.5 | 59.9 | 44.4 | 0.586 | 4.54 | 130.0 | 1.2 | 2.5 |
| 680 | 15.3 | 53.2 | 37.9 | 0.541 | 2.48 | 218.1 | 1.0 | 2.5 | |
| P(BPBC-co-CDT) | 1050 | 4.8 | 27.1 | 22.3 | 0.752 | 6.18 | 121.7 | 2.1 | 2.4 |
| 780 | 9.3 | 22.1 | 12.8 | 0.376 | 4.92 | 76.4 | 2.5 | 1.5 | |
| P(BPBC-co-CDTK) | 1070 | 12.8 | 54.2 | 41.4 | 0.627 | 2.21 | 283.7 | 2.4 | 2.5 |
| 460 | 19.2 | 22.9 | 3.7 | 0.077 | 0.27 | 285.2 | 0.7 | 2.3 |
| Polymer Films or ECD Configurations | λ (nm) | ΔT (%) | η (cm2 C−1) | References |
|---|---|---|---|---|
| P(DiCP-co-CPTK2) | 890 | 35.9 | 111.5 | [53] |
| PITD-2 | 675 | 18 | 171.5 | [54] |
| DPPA-2SNS | 900 | 58 | 224 | [56] |
| P2 | 779 | 36 | 123 | [55] |
| PI-6A | 573 | 55 | 191 | [57] |
| P(BPBC-co-BT) | 680 | 37.9 | 218 | This work |
| Poly(PS-Car)/PEDOT | 640 | 38 | - | [59] |
| P(dNCz-b)/PEDOT | 700 | 29 | 234 | [60] |
| P(DCP-co-CPDK)/PEDOT-PSS | 635 | 38.2 | 634 | [53] |
| P(BPBC-co-BT)/PEDOT | 625 | 36.2 | 418.3 | This work |
| Devices | E (V) | Graphs | L* | a* | b* | x | y | Diagrams |
|---|---|---|---|---|---|---|---|---|
| PBPBC/PEDOT | 0.0 | ![]() | 79.33 | −6.79 | 1.94 | 0.3060 | 0.3384 | ![]() |
| 0.8 | ![]() | 77.84 | −7.08 | 3.31 | 0.3082 | 0.3419 | ||
| 1.2 | ![]() | 72.84 | −5.96 | 4.36 | 0.3121 | 0.3442 | ||
| 1.6 | ![]() | 63.78 | −8.8 | 3.07 | 0.3035 | 0.3452 | ||
| 2.0 | ![]() | 55.48 | −9.38 | −6.66 | 0.2758 | 0.3183 | ||
| P(BPBC-co-BT)/PEDOT | 0.0 | ![]() | 72.77 | −8.24 | 28.15 | 0.3587 | 0.4029 | ![]() |
| 0.8 | ![]() | 70.50 | −10.32 | 21.94 | 0.3427 | 0.3923 | ||
| 1.2 | ![]() | 63.34 | −9.55 | 6.42 | 0.3101 | 0.3552 | ||
| 1.6 | ![]() | 53.95 | −6.52 | −9.9 | 0.2722 | 0.3058 | ||
| 1.8 | ![]() | 49.28 | −4.87 | −16.34 | 0.255 | 0.2827 | ||
| P(BPBC-co-CDT)/PEDOT | −0.6 | ![]() | 52.80 | 2.58 | 2.58 | 0.3257 | 0.3339 | ![]() |
| 0.6 | ![]() | 52.20 | −5.74 | −3.51 | 0.2904 | 0.3241 | ||
| 1.0 | ![]() | 48.44 | −5.15 | −12.69 | 0.2639 | 0.2937 | ||
| 1.4 | ![]() | 42.77 | −2.24 | −21.43 | 0.2396 | 0.259 | ||
| 1.6 | ![]() | 40.27 | −1.12 | −24.76 | 0.2291 | 0.2444 | ||
| P(BPBC-co-CDTK)/PEDOT | 0.0 | ![]() | 73.76 | −7.83 | 9.04 | 0.3189 | 0.3568 | ![]() |
| 0.8 | ![]() | 71.1 | −5.13 | 14.31 | 0.3355 | 0.3679 | ||
| 1.2 | ![]() | 66.53 | −3.9 | 14.07 | 0.3385 | 0.3681 | ||
| 1.6 | ![]() | 59.79 | −4.51 | 5.17 | 0.3169 | 0.3477 | ||
| 1.8 | ![]() | 54.81 | −4.87 | −1.3 | 0.2989 | 0.3301 |
| ECDs | λ (nm) | Tox | Tred | ΔT | ΔOD | Qd (mC cm−2) | η (cm2∙C−1) | τc/s | τb/s |
|---|---|---|---|---|---|---|---|---|---|
| PBPBC/PEDOT | 625 | 31.9 | 48.9 | 17.0 | 0.186 | 0.37 | 502.7 | 0.7 | 0.6 |
| P(BPBC-co-BT)/PEDOT | 625 | 14.3 | 50.5 | 36.2 | 0.548 | 1.31 | 418.3 | 0.5 | 0.4 |
| P(BPBC-co-CDT)/PEDOT | 630 | 5.9 | 23.2 | 17.3 | 0.595 | 1.21 | 491.7 | 0.4 | 0.6 |
| P(BPBC-co-CDTK)/PEDOT | 610 | 21.4 | 45.3 | 23.9 | 0.326 | 0.61 | 534.4 | 0.2 | 0.4 |
Publisher’s Note: MDPI stays neutral with regard to jurisdictional claims in published maps and institutional affiliations. |
© 2021 by the authors. Licensee MDPI, Basel, Switzerland. This article is an open access article distributed under the terms and conditions of the Creative Commons Attribution (CC BY) license (https://creativecommons.org/licenses/by/4.0/).
Share and Cite
Kuo, C.-W.; Chang, J.-C.; Chang, J.-K.; Huang, S.-W.; Lee, P.-Y.; Wu, T.-Y. Electrodeposited Copolymers Based on 9,9′-(5-Bromo-1,3-phenylene)biscarbazole and Dithiophene Derivatives for High-Performance Electrochromic Devices. Polymers 2021, 13, 1136. https://doi.org/10.3390/polym13071136
Kuo C-W, Chang J-C, Chang J-K, Huang S-W, Lee P-Y, Wu T-Y. Electrodeposited Copolymers Based on 9,9′-(5-Bromo-1,3-phenylene)biscarbazole and Dithiophene Derivatives for High-Performance Electrochromic Devices. Polymers. 2021; 13(7):1136. https://doi.org/10.3390/polym13071136
Chicago/Turabian StyleKuo, Chung-Wen, Jui-Cheng Chang, Jeng-Kuei Chang, Sheng-Wei Huang, Pei-Ying Lee, and Tzi-Yi Wu. 2021. "Electrodeposited Copolymers Based on 9,9′-(5-Bromo-1,3-phenylene)biscarbazole and Dithiophene Derivatives for High-Performance Electrochromic Devices" Polymers 13, no. 7: 1136. https://doi.org/10.3390/polym13071136
APA StyleKuo, C.-W., Chang, J.-C., Chang, J.-K., Huang, S.-W., Lee, P.-Y., & Wu, T.-Y. (2021). Electrodeposited Copolymers Based on 9,9′-(5-Bromo-1,3-phenylene)biscarbazole and Dithiophene Derivatives for High-Performance Electrochromic Devices. Polymers, 13(7), 1136. https://doi.org/10.3390/polym13071136













































