Macroporous Polymer Monoliths in Thin Layer Format
Abstract
1. Introduction
2. Preparation of Macroporous Polymer Monolithic Layers
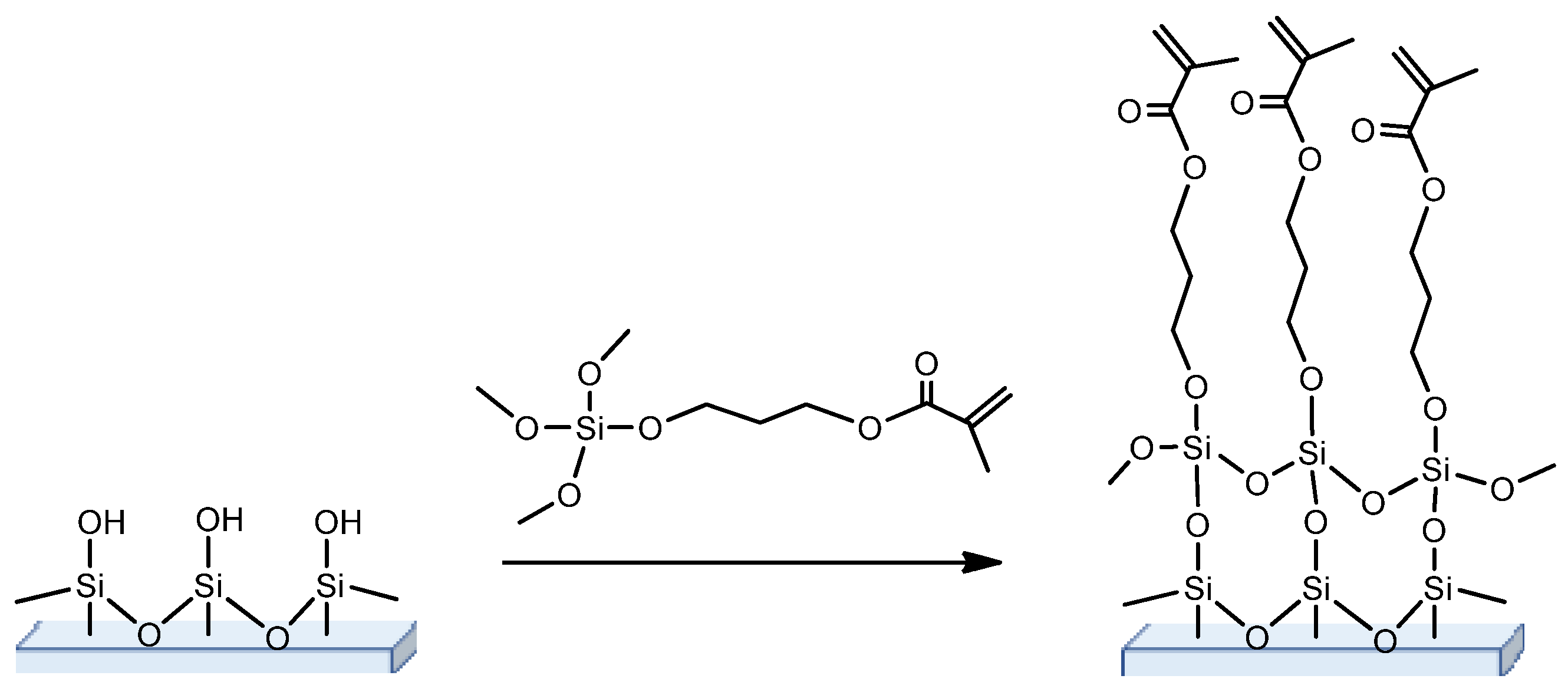
2.1. Modification of Supporting Surface
2.2. Fabrication of a Mold for Polymerization
2.3. Polymerization and Post-Modification of Rigid Macroporous Polymer Layers
2.3.1. Monomers
2.3.2. Initiators
2.3.3. Porogens
2.3.4. Polymer Post-Modifications
2.4. PolyHIPE Monolithic Layers
3. Application in Thin-Layer Chromatography
3.1. Separation of Low-Molecular Compounds
3.2. Separation of Peptides and Proteins
3.3. Separation of Synthetic Polymers
3.4. 2-D TLC
4. Application in Microarray
4.1. Protein Microarray
4.2. DNA Microarray
4.3. Detection of Virus-Mimicking Particles and Viruses
4.4. Determination of Enzyme Activity on a Chip
4.5. Molecularly Imprinted Microarray
5. Concluding Remarks
Author Contributions
Funding
Institutional Review Board Statement
Informed Consent Statement
Data Availability Statement
Conflicts of Interest
References
- Svec, F. Monolithic columns: A historical overview. Electrophoresis 2017, 38, 2810–2820. [Google Scholar] [CrossRef] [PubMed]
- Tennikova, T.B.; Svec, F.; Belenkii, B.G. High-Performance Membrane Chromatography. A Novel Method of Protein Separation. J. Liq. Chromatogr. 1990, 13, 63–70. [Google Scholar] [CrossRef]
- Hjertén, S.; Liao, J.L.; Zhang, R. High-performance liquid chromatography on continuous polymer beds. J. Chromatogr. A 1989, 473, 273–275. [Google Scholar] [CrossRef]
- Nischang, I.; Causon, T.J. Porous polymer monoliths: From their fundamental structure to analytical engineering applications. Trends Anal. Chem. 2016, 75, 108–117. [Google Scholar] [CrossRef]
- Currivan, S.; Macak, J.M.; Jandera, P. Polymethacrylate monolithic columns for hydrophilic interaction liquid chromatography prepared using a secondary surface polymerization. J. Chromatogr. A 2015, 1402, 82–93. [Google Scholar] [CrossRef]
- Hasegawa, J.; Kanamori, K.; Nakanishi, K.; Hanada, T.; Yamago, S. Rigid crosslinked polyacrylamide monoliths with well-defined macropores synthesized by living polymerization. Macromol. Rapid Commun. 2009, 30, 986–990. [Google Scholar] [CrossRef] [PubMed]
- Matsumoto, H.; Hoshino, Y.; Iwai, T.; Sawamura, M.; Miura, Y. Polystyrene-Supported PPh3 in Monolithic Porous Material: Effect of Cross-Linking Degree on Coordination Mode and Catalytic Activity in Pd-Catalyzed C−C Cross-Coupling of Aryl Chlorides. ChemCatChem 2020, 12, 4034–4037. [Google Scholar] [CrossRef]
- Elviro, M.; Vega, M.; Martín del Valle, E.M.; Ángel Galán, M. Preparation and characterization of a macroporous agarose monolith as a stationary phase in IMAC chromatography. Chem. Eng. Commun. 2019, 206, 268–277. [Google Scholar] [CrossRef]
- Lin, W.H.; Jana, S.C. Analysis of porous structures of cellulose aerogel monoliths and microparticles. Microporous Mesoporous Mater. 2021, 310, 110625. [Google Scholar] [CrossRef]
- Khoo, H.T.; Leow, C.H. Advancements in the preparation and application of monolithic silica columns for efficient separation in liquid chromatography. Talanta 2021, 224, 121777. [Google Scholar] [CrossRef]
- Ma, C.; Wang, J.; Cao, L. Preparation of macroporous hybrid monoliths via iron-based MOFs-stabilized CO2-in-water HIPEs and use for β-amylase immobilization. Polym. Adv. Technol. 2020, 31, 2967–2979. [Google Scholar] [CrossRef]
- Liu, Z.; Ou, J.; Wang, H.; Chen, L.; Xu, J.; Ye, M. One-Pot Preparation of Macroporous Organic-Silica Monolith for the Organics-/Oil-Water Separation. ChemistrySelect 2017, 2, 4538–4544. [Google Scholar] [CrossRef]
- Dembahri, Z.; Le Gac, S.; Tobal, K.; Chirani, N.; Rolando, C.; Benmouna, F.; Benmouna, M. Polymer phase transition in n-lauryl methacrylate monoliths. Polym. Int. 2016, 65, 706–712. [Google Scholar] [CrossRef]
- Qiu, D.; Li, F.; Zhang, M.; Kang, J. Preparation of phosphorylcholine-based hydrophilic monolithic column and application for analysis of drug-related impurities with capillary electrochromatography. Electrophoresis 2016, 37, 1725–1732. [Google Scholar] [CrossRef]
- Li, X.J.; Jia, M.; Zhao, Y.X.; Liu, Z.S.; Akber Aisa, H. Preparation of phenylboronate affinity rigid monolith with macromolecular porogen. J. Chromatogr. A 2016, 1438, 171–178. [Google Scholar] [CrossRef]
- Svec, F. Porous polymer monoliths: Amazingly wide variety of techniques enabling their preparation. J. Chromatogr. A 2010, 1217, 902–924. [Google Scholar] [CrossRef]
- Arrua, R.D.; Strumia, M.C.; Inés, C.; Igarzabal, A. Macroporous Monolithic Polymers: Preparation and Applications. Materials (Basel) 2009, 2, 2429–2466. [Google Scholar] [CrossRef]
- Mohamed, M.H.; Wilson, L.D. Porous Copolymer Resins: Tuning Pore Structure and Surface Area with Non Reactive Porogens. Nanomaterials 2012, 2, 163–186. [Google Scholar] [CrossRef]
- Urban, J. Are we approaching a post-monolithic era? J. Sep. Sci. 2020, 43, 1628–1633. [Google Scholar] [CrossRef] [PubMed]
- Li, Z.; Rodriguez, E.; Azaria, S.; Pekarek, A.; Hage, D.S. Affinity monolith chromatography: A review of general principles and applications. Electrophoresis 2017, 38, 2837–2850. [Google Scholar] [CrossRef]
- Zhang, X.; Guo, R.; Xu, J.; Lan, Y.; Jiao, Y.; Zhou, C.; Zhao, Y. Poly(l-lactide)/halloysite nanotube electrospun mats as dual-drug delivery systems and their therapeutic efficacy in infected full-thickness burns. J. Biomater. Appl. 2015, 30, 512–525. [Google Scholar] [CrossRef] [PubMed]
- Gama, M.R.; Rocha, F.R.P.; Bottoli, C.B.G. Monoliths: Synthetic routes, functionalization and innovative analytical applications. Trends Anal. Chem. 2019, 115, 39–51. [Google Scholar] [CrossRef]
- Jungbauer, A.; Hahn, R. Polymethacrylate monoliths for preparative and industrial separation of biomolecular assemblies. J. Chromatogr. A 2008, 1184, 62–79. [Google Scholar] [CrossRef] [PubMed]
- Khalil, A.M. Porous polymeric monoliths: Design and preparation towards environmental applications. Biointerface Res. Appl. Chem. 2019, 9, 4027–4036. [Google Scholar]
- Patrushev, Y.; Yudina, Y.; Sidelnikov, V. Monolithic rod columns for HPLC based on divinylbenzene-styrene copolymer with 1-vinylimidazole and 4-vinylpyridine. J. Liq. Chromatogr. Relat. Technol. 2018, 41, 458–466. [Google Scholar] [CrossRef]
- Claire, A.; Lethier, L.; Guillaume, Y.C. An organic monolithic capillary column functionalized with human serum albumin and its application for the nano–chromatography study of its binding with universal cancer peptides and its impact on immunogenicity. J. Liq. Chromatogr. Relat. Technol. 2020, 43, 777–783. [Google Scholar] [CrossRef]
- Zhao, S.; Yu, T.; Du, Y.; Sun, X.; Feng, Z.; Ma, X.; Ding, W.; Chen, C. An organic polymer monolith modified with an amino acid ionic liquid and graphene oxide for use in capillary electrochromatography: Application to the separation of amino acids, β-blockers, and nucleotides. Microchim. Acta 2019, 186, 636. [Google Scholar] [CrossRef]
- Yang, J.; He, S.; Liu, A.; Chen, J.; Dong, Y. Preparation of a poly(1, 6-hexylene dimethacrylate) conventional size high performance liquid chromatographic monolithic column for separation of small molecules. Microchem. J. 2019, 146, 1004–1009. [Google Scholar] [CrossRef]
- Maksimova, E.; Vlakh, E.; Sinitsyna, E.; Tennikova, T. HPLC analysis of synthetic polymers on short monolithic columns. J. Sep. Sci. 2013, 36, 3741–3749. [Google Scholar] [CrossRef]
- Lynch, K.B.; Ren, J.; Beckner, M.A.; He, C.; Liu, S. Monolith columns for liquid chromatographic separations of intact proteins: A review of recent advances and applications. Anal. Chim. Acta 2019, 1046, 48–68. [Google Scholar] [CrossRef] [PubMed]
- Liu, C.; Bults, P.; Bischoff, R.; Crommen, J.; Wang, Q.; Jiang, Z. Separation of deamidated peptides with mixed-mode chromatography using phospholipid-functionalized monolithic stationary phases. J. Chromatogr. A 2019, 1603, 417–421. [Google Scholar] [CrossRef]
- Delattre, C.; Michaud, P.; Vijayalakshmi, M.A. New monolithic enzymatic micro-reactor for the fast production and purification of oligogalacturonides. J. Chromatogr. B 2008, 861, 203–208. [Google Scholar] [CrossRef]
- Cardoso, S.; Černigoj, U.; Lendero Krajnc, N.; Štrancar, A. Chromatographic purification of plasmid DNA on hydrophobic methacrylate monolithic supports. Sep. Purif. Technol. 2015, 147, 139–146. [Google Scholar] [CrossRef]
- Zaveckas, M.; Snipaitis, S.; Pesliakas, H.; Nainys, J.; Gedvilaite, A. Purification of recombinant virus-like particles of porcine circovirus type 2 capsid protein using ion-exchange monolith chromatography. J. Chromatogr. B 2015, 991, 21–28. [Google Scholar] [CrossRef]
- Vergara-Barberán, M.; Carrasco-Correa, E.J.; Lerma-García, M.J.; Simó-Alfonso, E.F.; Herrero-Martínez, J.M. Current trends in affinity-based monoliths in microextraction approaches: A review. Anal. Chim. Acta 2019, 1084, 1–20. [Google Scholar] [CrossRef] [PubMed]
- Masini, J.C.; Svec, F. Porous monoliths for on-line sample preparation: A review. Anal. Chim. Acta 2017, 964, 24–44. [Google Scholar] [CrossRef] [PubMed]
- Wei, Z.H.; Mu, L.N.; Huang, Y.P.; Liu, Z.S. Imprinted monoliths: Recent significant progress in analysis field. Trends Anal. Chem. 2017, 86, 84–92. [Google Scholar] [CrossRef]
- Han, X.; Xie, Y.; Wu, Q.; Wu, S. The Effect of Monolith Properties on the Digestion Performance of Monolith-Based Immobilized Enzyme Microreactor. J. Chromatogr. Sci. 2019, 57, 116–121. [Google Scholar] [CrossRef] [PubMed]
- Bertrand, E.; Pierre, G.; Delattre, C.; Gardarin, C.; Bridiau, N.; Maugard, T.; Štrancar, A.; Michaud, P. Dextranase immobilization on epoxy CIM® disk for the production of isomaltooligosaccharides from dextran. Carbohydr. Polym. 2014, 111, 707–713. [Google Scholar] [CrossRef] [PubMed]
- Stepanova, M.; Solomakha, O.; Ten, D.; Tennikova, T.; Korzhikova-Vlakh, E. Flow-through macroporous polymer monoliths containing artificial catalytic centers mimicking chymotrypsin active site. Catalysts 2020, 10, 1395. [Google Scholar] [CrossRef]
- Bakry, R.; Bonn, G.K.; Mair, D.; Svec, F. Monolithic Porous Polymer Layer for the Separation of Peptides and Proteins Using Thin-Layer Chromatography Coupled with MALDI-TOF-MS. Anal. Chem. 2007, 79, 486–493. [Google Scholar] [CrossRef] [PubMed]
- Kalashnikova, I.; Ivanova, N.; Tennikova, T. Macroporous Monolithic Layers as Efficient 3-D Microarrays for Quantitative Detection of Virus-like Particles. Anal. Chem. 2007, 79, 5173–5180. [Google Scholar] [CrossRef] [PubMed]
- Kurganov, A. Monolithic column in gas chromatography. Anal. Chim. Acta 2013, 775, 25–40. [Google Scholar] [CrossRef] [PubMed]
- Groarke, R.; Brabazon, D. Methacrylate Polymer Monoliths for Separation Applications. Materials 2016, 9, 446. [Google Scholar] [CrossRef] [PubMed]
- Qin, M.; Hou, S.; Wang, L.K.; Feng, X.Z.; Wang, R.; Yang, Y.L.; Wang, C.; Yu, L.; Shao, B.; Qiao, M.Q. Two methods for glass surface modification and their application in protein immobilization. Colloids Surf. B Biointerfaces 2007, 60, 243–249. [Google Scholar] [CrossRef]
- Funk, C.; Dietrich, P.M.; Gross, T.; Min, H.; Unger, W.E.S.; Weigel, W. Epoxy-functionalized surfaces for microarray applications: Surface chemical analysis and fluorescence labeling of surface species. Surf. Interface Anal. 2012, 44, 890–894. [Google Scholar] [CrossRef]
- Hermanson, G.T. Silane Coupling Agents. In Bioconjugate Techniques, 3rd ed.; Elsevier Science: Amsterdam, The Netherlands, 2013; pp. 535–548. [Google Scholar]
- Yin, D.; Guan, Y.; Gu, H.; Jia, Y.; Zhang, Q. Polymerized high internal phase emulsion monolithic material: A novel stationary phase of thin layer chromatography. RSC Adv. 2017, 7, 7303–7309. [Google Scholar] [CrossRef]
- Slabospitskaya, M.Y.; Vlakh, E.G.; Saprykina, N.N.; Tennikova, T.B. Synthesis and investigation of a new macroporous monolithic material based on an N-hydroxyphthalimide ester of acrylic acid-co-glycidyl methacrylate-co-ethylene dimethacrylate terpolymer. J. Appl. Polym. Sci. 2009, 111, 692–700. [Google Scholar] [CrossRef]
- Han, Y.; Levkin, P.; Abarientos, I.; Liu, H.; Svec, F.; Fréchet, J.M.J. Monolithic Superhydrophobic Polymer Layer with Photopatterned Virtual Channel for the Separation of Peptides Using Two-Dimensional Thin Layer Chromatography-Desorption Electrospray Ionization Mass Spectrometry. Anal. Chem. 2010, 82, 2520. [Google Scholar] [CrossRef]
- Zheng, B.; Liu, Y.; Li, D.; Chai, Y.; Lu, F.; Xu, J. Hydrophobic-hydrophilic monolithic dual-phase layer for two-dimensional thin-layer chromatography coupled with surface-enhanced Raman spectroscopy detection. J. Sep. Sci. 2015, 38, 2737–2745. [Google Scholar] [CrossRef]
- Maksimova, E.F.; Vlakh, E.G.; Tennikova, T.B. Methacrylate-based monolithic layers for planar chromatography of polymers. J. Chromatogr. A 2011, 1218, 2425–2431. [Google Scholar] [CrossRef] [PubMed]
- Volokitina, M.; Krutyakova, M.; Sirotov, V.; Larionov, M.; Tennikova, T.; Korzhikova-Vlakh, E. Protein biochips based on macroporous polymer supports: Material properties and analytical potential. J. Pharm. Biomed. Anal. 2019, 165, 242–250. [Google Scholar] [CrossRef] [PubMed]
- Izzo, V.; Costa, M.A.; Di Fiore, R.; Duro, G.; Bellavia, D.; Cascone, E.; Colombo, P.; Gioviale, M.C.; Barbieri, R. Electrophoresis of proteins and DNA on horizontal sodium dodecyl sulfate polyacrylamide gels. Immun. Ageing 2006, 3, 7. [Google Scholar] [CrossRef][Green Version]
- Levkin, P.A.; Svec, F.; Fréchet, J.M.J. Porous polymer coatings: A versatile approach to superhydrophobic surfaces. Adv. Funct. Mater. 2009, 19, 1993–1998. [Google Scholar] [CrossRef] [PubMed]
- Urbanova, I.; Svec, F. Monolithic polymer layer with gradient of hydrophobicity for separation of peptides using two-dimensional thin layer chromatography and MALDI-TOF-MS detection. J. Sep. Sci. 2011, 34, 2345–2351. [Google Scholar] [CrossRef] [PubMed]
- Lv, Y.; Lin, Z.; Tan, T.; Svec, F. Preparation of porous styrenics-based monolithic layers for thin layer chromatography coupled with matrix-assisted laser-desorption/ionization time-of-flight mass spectrometric detection. J. Chromatogr. A 2013, 1316, 154–159. [Google Scholar] [CrossRef]
- Iliescu, C.; Chen, B.; Tay, F.E.H.; Xu, G.; Miao, J. Characterization of deep wet etching of glass. In Proceedings of the Device and Process Technologies for Microelectronics, MEMS, and Photonics IV, Brisbane, Australia, 12–14 December 2005; Volume 6037, p. 60370A. [Google Scholar]
- Li, X.; Lu, J.; Feng, Z. Effect of hydrofluoric acid etching of glass on the performance of organic-inorganic glass laminates. Compos. Part B Eng. 2013, 52, 207–210. [Google Scholar] [CrossRef]
- Rober, M.; Walter, J.; Vlakh, E.; Stahl, F.; Kasper, C.; Tennikova, T. New 3-D microarray platform based on macroporous polymer monoliths. Anal. Chim. Acta 2009, 644, 95–103. [Google Scholar] [CrossRef]
- Sinitsyna, E.S.; Sergeeva, Y.N.; Vlakh, E.G.; Saprikina, N.N.; Tennikova, T.B. New platforms for 3-D microarrays: Synthesis of hydrophilic polymethacrylate monoliths using macromolecular porogens. React. Funct. Polym. 2009, 69, 385–392. [Google Scholar] [CrossRef]
- Woodward, S.D.; Urbanova, I.; Nurok, D.; Svec, F. Separation of peptides and oligonucleotides using a monolithic polymer layer and pressurized planar electrophoresis and electrochromatography. Anal. Chem. 2010, 82, 3445–3448. [Google Scholar] [CrossRef]
- Lv, Y.; Cao, Y.; Svec, F.; Tan, T. Porous polymer-based monolithic layers enabling pH triggered switching between superhydrophobic and superhydrophilic properties. Chem. Commun. 2014, 50, 13809–13812. [Google Scholar] [CrossRef]
- Cao, Y.; Lv, M.; Xu, H.; Svec, F.; Tan, T.; Lv, Y. Planar monolithic porous polymer layers functionalized with gold nanoparticles as large-area substrates for sensitive surface-enhanced Raman scattering sensing of bacteria. Anal. Chim. Acta 2015, 896, 111–119. [Google Scholar] [CrossRef]
- Glotov, A.S.; Sinitsyna, E.S.; Danilova, M.M.; Vashukova, E.S.; Walter, J.G.; Stahl, F.; Baranov, V.S.; Vlakh, E.G.; Tennikova, T.B. Detection of human genome mutations associated with pregnancy complications using 3-D microarray based on macroporous polymer monoliths. Talanta 2016, 147, 537–546. [Google Scholar] [CrossRef]
- Sinitsyna, E.S.; Vlakh, E.G.; Rober, M.Y.; Tennikova, T.B. Hydrophilic methacrylate monoliths as platforms for protein microarray. Polymer 2011, 52, 2132–2140. [Google Scholar] [CrossRef]
- Peterson, D.S.; Luo, Q.; Hilder, E.F.; Svec, F.; Fréchet, J.M.J. Porous polymer monolith for surface-enhanced laser desorption/ionization time-of-flight mass spectrometry of small molecules. Rapid Commun. Mass Spectrom. 2004, 18, 1504–1512. [Google Scholar] [CrossRef] [PubMed]
- Geiser, L.; Eeltink, S.; Svec, F.; Fréchet, J.M.J. Stability and repeatability of capillary columns based on porous monoliths of poly(butyl methacrylate-co-ethylene dimethacrylate). J. Chromatogr. A 2007, 1140, 140–146. [Google Scholar] [CrossRef] [PubMed]
- Zacharis, C.K.; Kalaitzantonakis, E.A.; Podgornik, A.; Theodoridis, G. Sequential injection affinity chromatography utilizing an albumin immobilized monolithic column to study drug-protein interactions. J. Chromatogr. A 2007, 1144, 126–134. [Google Scholar] [CrossRef] [PubMed]
- Lim, Y.P.; Josic, D.; Callanan, H.; Brown, J.; Hixson, D.C. Affinity purification and enzymatic cleavage of inter-alpha inhibitor proteins using antibody and elastase immobilized on CIM monolithic disks. J. Chromatogr. A 2005, 1065, 39–43. [Google Scholar] [CrossRef]
- Sinitsyna, E.S.; Rober, M.Y.; Vlakh, E.G.; Tennikova, T.B. Macroporous polymeric materials for bioanalytical microchips. Russ. J. Appl. Chem. 2011, 84, 1012. [Google Scholar] [CrossRef]
- Vlakh, E.G.; Maksimova, E.F.; Krasikov, V.D.; Tennikova, T.B. Macroporous Polymer Materials: Synthesis of a New Functional Copolymer and Its Use for Biological Microanalysis. Polym. Sci. Ser. B 2009, 51, 327–334. [Google Scholar] [CrossRef]
- Antipchik, M.; Dzhuzha, A.; Sirotov, V.; Tennikova, T.; Korzhikova-Vlakh, E. Molecularly imprinted macroporous polymer monolithic layers for L-phenylalanine recognition in complex biological fluids. J. Appl. Polym. Sci. 2021, 138, 50070. [Google Scholar] [CrossRef]
- Kasper, C.; Meringova, L.; Freitag, R.; Tennikova, T. Fast isolation of protein receptors from streptococci G by means of macroporous affinity disks. J. Chromatogr. A 1998, 798, 65–72. [Google Scholar] [CrossRef]
- Veličić, Z.; Rusmirović, J.; Prlainović, N.; Tomić, N.; Veličković, Z.; Taleb, K.; Marinković, A.D. The optimization of glycidyl methacrylate based terpolymer monolith synthesis: An effective Candida rugosa lipase immobilization support. J. Polym. Res. 2020, 27, 127. [Google Scholar] [CrossRef]
- Zhang, R.; Li, Q.; Ji, D.; Pan, Y.; Xu, B.; Huang, Y.; Zhao, L. Preparation of a novel polymer monolith with high loading capacity by grafting block poly(PEGA-mPEGA) for high-efficiency solid phase synthesis. React. Funct. Polym. 2015, 94, 63–69. [Google Scholar] [CrossRef]
- Arrua, R.D.; Basbus, J.F.; Strumia, M.C.; Alvarez Igarzabal, C.I.; Nazareno, M.A. Synthesis of macroporous polymers with radical scavenging properties by immobilization of polyphenolic compounds. React. Funct. Polym. 2012, 72, 807–813. [Google Scholar] [CrossRef]
- Zhang, H.; Ou, J.; Wei, Y.; Wang, H.; Liu, Z.; Zou, H. A hybrid fluorous monolithic capillary column with integrated nanoelectrospray ionization emitter for determination of perfluoroalkyl acids by nano-liquid chromatography-nanoelectrospray ionization-mass spectrometry/mass spectrometry. J. Chromatogr. A 2016, 1440, 66–73. [Google Scholar] [CrossRef]
- Murauer, A.; Bakry, R.; Partl, G.; Huck, C.W.; Ganzera, M. Optimization of an innovative vinylimidazole-based monolithic stationary phase and its use for pressured capillary electrochromatography. J. Pharm. Biomed. Anal. 2019, 162, 117–123. [Google Scholar] [CrossRef]
- Okay, O. Macroporous copolymer networks. Prog. Polym. Sci. 2000, 25, 711–779. [Google Scholar] [CrossRef]
- Mansour, F.R.; Waheed, S.; Paull, B.; Maya, F. Porogens and porogen selection in the preparation of porous polymer monoliths. J. Sep. Sci. 2020, 43, 56–69. [Google Scholar] [CrossRef]
- Sinitsyna, E.S.; Vlasova, E.N.; Vlakh, E.G.; Tennikova, T.B. Monolithic methacrylate polymeric sorbents: Development of methods for chemical modification of the surface for the subsequent bioaffine functionalization. Russ. J. Appl. Chem. 2008, 81, 1403–1409. [Google Scholar] [CrossRef]
- Alharthi, S.; El Rassi, Z. Various strategies in post-polymerization functionalization of organic polymer-basedmonoliths used in liquid phase separation techniques. Molecules 2020, 25, 1323. [Google Scholar] [CrossRef]
- Majer, J.; Žagar, E.; Krajnc, P.; Kovačič, S. In situ hyper-cross-linking of glycidyl methacrylate–based polyHIPEs through the amine-enriched high internal phase emulsions. Colloid Polym. Sci. 2019, 297, 239–247. [Google Scholar] [CrossRef]
- Choudhury, S.; Fitzhenry, L.; White, B.; Connolly, D. Polystyrene-co-divinylbenzene polyHIPE monoliths in 1.0 mm column formats for liquid chromatography. Materials (Basel) 2016, 9, 212. [Google Scholar] [CrossRef]
- Mravljak, R.; Bizjak, O.; Podlogar, M.; Podgornik, A. Effect of polyHIPE porosity on its hydrodynamic properties. Polym. Test. 2021, 93, 106590. [Google Scholar] [CrossRef]
- Jiang, L.P.; Li, N.; Liu, L.Q.; Zheng, X.; Du, F.Y.; Ruan, G.H. Preparation and Application of Polymerized High Internal Phase Emulsion Monoliths for the Preconcentration and Determination of Malachite Green and Leucomalachite Green in Water Samples. J. Anal. Test. 2020, 4, 264–272. [Google Scholar] [CrossRef]
- Kucherenko, E.; Kanateva, A.; Pirogov, A.; Kurganov, A. Recent advances in the preparation of adsorbent layers for thin-layer chromatography combined with matrix-assisted laser desorption/ionization mass-spectrometric detection. J. Sep. Sci. 2019, 42, 415–430. [Google Scholar] [CrossRef] [PubMed]
- Gackowski, M.; Koba, M.; Mądra-Gackowska, K.; Kośliński, P.; Kruszewski, S. Recent Applications of High Performance Thin Layer Chromatography and Derivative Spectrophotometry in Pharmaceutical Analysis. Curr. Pharm. Anal. 2019, 16, 671–689. [Google Scholar] [CrossRef]
- Hauck, H.E.; Schulz, M. Ultra thin-layer chromatography. Chromatographia 2003, 57, S313–S315. [Google Scholar] [CrossRef]
- Tura, C.; Coombs, N.; Dag, Ö. One-pot synthesis of CdS nanoparticles in the channels of mesosructured silica films and monoliths. Chem. Mater. 2005, 17, 573–579. [Google Scholar] [CrossRef]
- Bezuidenhout, L.W.; Brett, M.J. Ultrathin layer chromatography on nanostructured thin films. J. Chromatogr. A 2008, 1183, 179–185. [Google Scholar] [CrossRef] [PubMed]
- Frolova, A.M.; Konovalova, O.Y.; Loginova, L.P.; Bulgakova, A.V.; Boichenko, A.P. Thin-layer chromatographic plates with monolithic layer of silica: Production, physical-chemical characteristics, separation capabilities. J. Sep. Sci. 2011, 34, 2352–2361. [Google Scholar] [CrossRef]
- Kraai, J.A.; Rorrer, G.L.; Wang, A.X. Highly-porous diatom biosilica stationary phase for thin-layer chromatography. J. Chromatogr. A 2019, 1591, 162–170. [Google Scholar] [CrossRef]
- Merck-Millipore. TLC Catalog. pp. 1–30. Available online: https://www.emdmillipore.com/Web-US-Site/en_CA/-/USD/ShowDocument-File?ProductSKU=MDA_CHEM-105533&DocumentId=201005.014.ProNet&DocumentType=BRO&Language=EN&Country=NF& (accessed on 23 March 2021).
- Rabel, F.; Sherma, J. A review of advances in two-dimensional thin-layer chromatography. J. Liq. Chromatogr. Relat. Technol. 2016, 39, 627–639. [Google Scholar] [CrossRef]
- Syu, G.-D.; Dunn, J.; Zhu, H. Developments and Applications of Functional Protein Microarrays. Mol. Cell. Proteom. 2020, 19, 916–927. [Google Scholar] [CrossRef] [PubMed]
- Geppert, J.; Stinton, C.; Johnson, S.; Clarke, A.; Grammatopoulos, D.; Taylor-Phillips, S. Antenatal screening for fetal trisomies using microarray-based cell-free DNA testing: A systematic review and meta-analysis. Prenat. Diagn. 2020, 40, 454–462. [Google Scholar] [CrossRef] [PubMed]
- Ma, M.; Wang, H.; Yu, Y.; Zhang, D.; Liu, S. Detection of Antimicrobial Resistance Genes of Pathogenic Salmonella from Swine with DNA Microarray. J. Vet. Diagn. Investig. 2007, 19, 161–167. [Google Scholar] [CrossRef]
- Qi, Y.; Wang, Y.; Chen, C.; Zhao, C.; Ma, Y.; Yang, W. Facile Surface Functionalization of Cyclic Olefin Copolymer Film with Anhydride Groups for Protein Microarray Fabrication. ACS Appl. Bio Mater. 2020, 3, 3203–3209. [Google Scholar] [CrossRef]
- Song, J.; Sun, M.; Li, J.; Zhou, D.; Wu, X. Three-dimensional polyacrylamide gel-based DNA microarray method effectively identifies UDP-glucuronosyltransferase 1A1 gene polymorphisms for the correct diagnosis of Gilbert’s syndrome. Int. J. Mol. Med. 2016, 37, 575–580. [Google Scholar] [CrossRef]
- Gryadunov, D.A.; Shaskolskiy, B.L.; Nasedkina, T.V.; Rubina, A.Y.; Zasedatelev, A.S. The EIMB Hydrogel Microarray Technology: Thirty Years Later. Acta Nat. 2018, 10, 4–18. [Google Scholar] [CrossRef]
- Walter, J.G.; Stahl, F.; Reck, M.; Praulich, I.; Nataf, Y.; Hollas, M.; Pflanz, K.; Melzner, D.; Shoham, Y.; Scheper, T. Protein microarrays: Reduced autofluorescence and improved LOD. Eng. Life Sci. 2010, 10, 103–108. [Google Scholar] [CrossRef]
- Sutandy, F.X.R.; Qian, J.; Chen, C.-S.; Zhu, H. Overview of Protein Microarrays. In Current Protocols in Protein Science; John Wiley & Sons, Inc.: Hoboken, NJ, USA, 2013; pp. 27.1.1–27.1.16. [Google Scholar]
- Feyzkhanova, G.U.; Filippova, M.A.; Talibov, V.O.; Dementieva, E.I.; Maslennikov, V.V.; Reznikov, Y.P.; Offermann, N.; Zasedatelev, A.S.; Rubina, A.Y.; Fooke-Achterrath, M. Development of hydrogel biochip for in vitro allergy diagnostics. J. Immunol. Methods 2014, 406, 51–57. [Google Scholar] [CrossRef]
- Chang, Y.-T.; Yeh, Y.-S.; Ma, C.-J.; Huang, C.-W.; Tsai, H.-L.; Huang, M.-Y.; Cheng, T.-L.; Wang, J.-Y. Optimization of a multigene biochip for detection of relapsed and early relapsed colorectal cancer. J. Surg. Res. 2017, 220, 427–437. [Google Scholar] [CrossRef] [PubMed]
- Chiang, Y.-C.; Wang, H.-H.; Ramireddy, L.; Chen, H.-Y.; Shih, C.-M.; Lin, C.-K.; Tsen, H.-Y. Designing a biochip following multiplex polymerase chain reaction for the detection of Salmonella serovars Typhimurium, Enteritidis, Infantis, Hadar, and Virchow in poultry products. J. Food Drug Anal. 2018, 26, 58–66. [Google Scholar] [CrossRef] [PubMed]
- Butvilovskaya, V.I.; Tikhonov, A.A.; Savvateeva, E.N.; Ragimov, A.A.; Salimov, E.L.; Voloshin, S.A.; Sidorov, D.V.; Chernichenko, M.A.; Polyakov, A.P.; Filushin, M.M.; et al. Hydrogel microchip as a tool for studying exosomes in human serum. Mol. Biol. 2017, 51, 712–717. [Google Scholar] [CrossRef]
- Stumpf, A.; Brandstetter, T.; Hübner, J.; Rühe, J. Hydrogel based protein biochip for parallel detection of biomarkers for diagnosis of a Systemic Inflammatory Response Syndrome (SIRS) in human serum. PLoS ONE 2019, 14, e0225525. [Google Scholar] [CrossRef] [PubMed]
- Reck, M.; Stahl, F.; Walter, J.G.; Hollas, M.; Melzner, D.; Scheper, T. Optimization of a microarray sandwich-ELISA against hINF-γ on a modified nitrocellulose membrane. Biotechnol. Prog. 2007, 23, 1498–1505. [Google Scholar] [CrossRef]
- Vlakh, E.G.; Korzhikov, V.A.; Tennikova, T.B. Solid-state systems of biological recognition based on macroporous polymer monoliths. Russ. Chem. Bull. 2012, 61, 937–961. [Google Scholar] [CrossRef]
- Sinitsyna, E.S.; Walter, J.G.; Vlakh, E.G.; Stahl, F.; Kasper, C.; Tennikova, T.B. Macroporous methacrylate-based monoliths as platforms for DNA microarrays. Talanta 2012, 93, 139–146. [Google Scholar] [CrossRef]
- Barut, M.; Podgornik, A.; Brne, P.; Štrancar, A. Convective Interaction Media short monolithic columns: Enabling chromatographic supports for the separation and purification of large biomolecules. J. Sep. Sci. 2005, 28, 1876–1892. [Google Scholar] [CrossRef]
- Antipchik, M.; Polyakov, D.; Sinitsyna, E.; Dzhuzha, A.; Shavlovsky, M.; Korzhikova-Vlakh, E.; Tennikova, T. Towards the development of a 3-d biochip for the detection of hepatitis c virus. Sensors (Switzerland) 2020, 20, 2719. [Google Scholar] [CrossRef]
- Zhang, N.; Zhang, N.; Xu, Y.; Li, Z.; Yan, C.; Mei, K.; Ding, M. Molecularly Imprinted Materials for Selective Biological Recognition. Macromol. Rapid Commun. 2019, 40, e1900096. [Google Scholar] [CrossRef] [PubMed]
- Zheng, C.; Huang, Y.P.; Liu, Z.S. Recent developments and applications of molecularly imprinted monolithic column for HPLC and CEC. J. Sep. Sci. 2011, 34, 1988–2002. [Google Scholar] [CrossRef] [PubMed]
- Zhu, J.; Chen, D.; Ai, Y.; Dang, X.; Huang, J.; Chen, H. A dummy molecularly imprinted monolith for selective solid-phase microextraction of vanillin and methyl vanillin prior to their determination by HPLC. Microchim. Acta 2017, 184, 1161–1167. [Google Scholar] [CrossRef]
- Mehta, R.; van Beek, T.A.; Tetala, K.K.R. A micro-solid phase extraction device to prepare a molecularly imprinted porous monolith in a facile mode for fast protein separation. J. Chromatogr. A 2020, 1627, 461415. [Google Scholar] [CrossRef]
- Vlakh, E.G.; Korzhikov, V.A.; Hubina, A.V.; Tennikova, T.B. Molecular imprinting: A tool of modern chemistry for the preparation of highly selective monolithic sorbents. Russ. Chem. Rev. 2015, 84, 952–980. [Google Scholar] [CrossRef]
- Zhong, D.D.; Huang, Y.P.; Xin, X.L.; Liu, Z.S.; Aisa, H.A. Preparation of metallic pivot-based imprinted monolith for polar template. J. Chromatogr. B Anal. Technol. Biomed. Life Sci. 2013, 934, 109–116. [Google Scholar] [CrossRef] [PubMed]









| Supporting Surface and Its Treatment | Monomers | Porogens | Initiator and Conditions of Polymerization | Polymerization Approach and Technical Implementation | Modification/ Application | Ref. |
|---|---|---|---|---|---|---|
| 7.6 × 2.6 cm glass slide; silanization with TMSPMA | BMA and EDMA | 1-decanol,cyclohexanol | 2,2-dimethoxy-2-phenylacetophenone; UV-polymerization (254 nm), 15 min | Free radical polymerization in a mold consisting of two glass plates clamped together and separated with Teflon strips. Polymer thickness was varied from 50–200 µm | TLC separation of peptides and proteins with MALDI-TOF-MS detection | [41] |
| 12.0 × 3.3 cm glass plate; silanization with TMSPMA | GMA and EDMA | 1-decanol,cyclohexanol | 2,2-dimethoxy-2-phenylacetophenone; UV-polymerization (254 nm), 15 min | Free radical polymerization in a mold consisting of two glass plates clamped together and separated with Teflon strips. Polymer thickness was 50 µm | Photografted with LMA and PEGMA; 2-D TLC separation of peptides with MALDI-TOF-MS detection | [56] |
| 12.0 × 3.3 cm glass plate; silanization with TMSPMA | BMA and EDMA | 1-decanol, cyclohexanol | 2,2-dimethoxy-2-phenylacetophenone; UV-polymerization (254 nm), 15 min | Free radical polymerization in a mold consisting of two glass plates clamped together and separated with Teflon strips. Polymer thickness was 50 µm. | Photografted with AMMPSA and EDMA; 2-D TLC separation of peptides with DESI-MS detection; ElectroTLC separation of peptides. | [50,62] |
| 12.0 × 3.3 cm glass plate; silanization with TMSPMA | BMA and EDMA; HEMA and EDMA; ST and DVB | 1-decanol/ 1-dodecanol cyclohexanol | (a) 2,2-dimethoxy-2-phenylacetophenone; UV-polymerization (254 nm), 15 min; (b) AIBN; 70 °C, 24 h | Free radical polymerization in a mold consisting of two glass plates clamped together and separated with Teflon strips. Polymer thickness was 50 µm | Photografted with PFPMA | [55] |
| 6.0 × 3.3 cm glass plate; silanization with TMSPMA | MST, CHMST and DVB | toluene, 1-dodecanol | AIBN; 70 °C, 20 h | Free radical polymerization in a mold consisting of two glass plates clamped together and separated with Teflon strips. Polymer thickness was 50 µm | After polymerization the hyper-crosslinking reaction was carried out in 1,2-dichloroethane in a beaker for 2 h; TLC separation of peptides with MALDI-TOF-MS. | [57] |
| N/A | GMA and EDMA; BMA and EDMA | 1,4-butandiol,cyclohexanol | 2-methoxy-2phenylacetophenine; 2-methyl-propiophenone; UV- polymerization (254 nm), 30–50 min | Free radical polymerization in a mold consisting of two glass plates clamped together and separated with Teflon strips. Polymerization of two monomer mixtures through the mask separately; Polymer thickness was 200 µm | Hydrolysis of poly(GMA-co-EDMA) area; 2-D TLC separation of dyes with SERS-detection | [51] |
| N/A | GMA and EDMA | 1-decanol, cyclohexanol | 2,2-dimethoxy-2-phenylacetophenone; UV-polymerization | N/A | Functionalized via a “thiol-ene” click reaction with mixture of 10-undecylenic acid and LMA. | [63] |
| 7.5 × 2.5 cm glass slide; silanization with TMSPMA | GMA and EDMA; BMA and EDMA; AEMA, HEMA and EDMA; CEMA, HEMA and EDMA | 1-decanol, cyclohexanol,1,4-butandiol,NMP, DMF, PEG-200 | 2-hydroxy-2-methylpropiophenone; UV-polymerization (wide spectrum), 20–30 min | Free radical polymerization in a well 6 × 2 cm covered with quartz cap. Operating wells were prepared by glass etching with 11 M HF for 30 min. Polymer thickness was 200 µm | TLC separation of dyes, DNP-amino acids and synthetic polymers. | [52] |
| Glass slide | ST, BA and DVB | 1 wt% CaCl2 aqueous solution | benzoyl peroxide; 70 °C, 8 h | High internal phase emulsion polymerization in mold formed on the surface of glass slide. | TLC separation of components of Chinese herbs | [48] |
| 6.6 × 3.3 cm glass plate; silanization with TMSPMA | GMA and EDMA | 1-decanol, cyclohexanol | 2,2-dimethoxy-2-phenylacetophenone; UV-polymerization (365 nm), 15 min | Free radical polymerization in mold consisting of two glass plates clamped together and separated with Teflon strips. | Surface modification with gold nanoparticles; SERS-detection of bacteria. | [64] |
| 7.5 × 2.5 cm glass slide; silanization with TMSPMA | GMA and EDMA | cyclohexanol | 2-hydroxy-2-methylpropiophenone; UV-polymerization (wide spectrum), 20 min | Free radical polymerization in a well 6.0 × 1.8 cm covered with quartz cap. Operating wells were prepared by glass etching with 11 M HF for 30 min. Polymer thickness was 200 µm. | Analysis of virus-mimicking particles and DNA in microarray format. | [42,65] |
| 7.5 × 2.5 cm glass slide; silanization with TMSPMA | HEMA and GDMA | polystyrene in toluene, 1-decanol, cyclohexanol | benzophenone, benzoin methyl ether, 2-hydroxy-2-methylpropiophenone; UV-polymerization (wide spectrum) | Free radical polymerization in a well 6.0 × 2.0 cm covered with quartz cap. Operating wells were prepared by glass etching with 11 M HF for 30 min. Polymer thickness was 200 µm | Different protein immobilization techniques; analysis of proteins in microarray format. | [66] |
| 7.5 × 2.5 cm glass slide; silanization with TMSPMA | GMA and GDMA; CEMA and GDMA; CEMA, HEMA and EDMA; HPIEAA, GMA and EDMA; GMA and DEGDMA | 1-decanol, toluene, heptane, cyclohexanol,PEG-200-600 | 2-hydroxy-2-methylpropiophenone; UV-polymerization (wide spectrum), 20–30 min | Free radical polymerization in a well 6.0 × 2.0 cm covered with quartz cap. Operating wells were prepared by glass etching with 11 M HF for 30 min. Polymer thickness was 200 µm | Analysis of DNA, proteins, virus-mimicking particles in microarray format. | [54,55,61, 65, 66, 67] |
Publisher’s Note: MDPI stays neutral with regard to jurisdictional claims in published maps and institutional affiliations. |
© 2021 by the authors. Licensee MDPI, Basel, Switzerland. This article is an open access article distributed under the terms and conditions of the Creative Commons Attribution (CC BY) license (http://creativecommons.org/licenses/by/4.0/).
Share and Cite
Korzhikova-Vlakh, E.; Antipchik, M.; Tennikova, T. Macroporous Polymer Monoliths in Thin Layer Format. Polymers 2021, 13, 1059. https://doi.org/10.3390/polym13071059
Korzhikova-Vlakh E, Antipchik M, Tennikova T. Macroporous Polymer Monoliths in Thin Layer Format. Polymers. 2021; 13(7):1059. https://doi.org/10.3390/polym13071059
Chicago/Turabian StyleKorzhikova-Vlakh, Evgenia, Mariia Antipchik, and Tatiana Tennikova. 2021. "Macroporous Polymer Monoliths in Thin Layer Format" Polymers 13, no. 7: 1059. https://doi.org/10.3390/polym13071059
APA StyleKorzhikova-Vlakh, E., Antipchik, M., & Tennikova, T. (2021). Macroporous Polymer Monoliths in Thin Layer Format. Polymers, 13(7), 1059. https://doi.org/10.3390/polym13071059

